抽丝剥茧是为真 一片匠心落子辰 | Ising专栏

2017 年 10 月 22 日 知社学术圈 张帅、刘俊明

海归学者发起的公益学术平台

分享信息,整合资源

交流学术,偶尔风月


We do not do the possible

While we do do some impossible

When an impossible goes to the possible

We are then asked what the possible deserves for


此乃一篇冗长的物理科普文章。看君当凝神聚气,方能一气呵成。


I

引子

凝聚态物理人谈拓扑,数学家一般会捂嘴抿笑,因为很长一段时间拓扑只是数学和理论物理人的专属。即便是Thouless和Kosterlitz在量子自旋系统中讨论局域拓扑结构时,也没有改变这一专属的模样。到了今天,拓扑量子物理已经成为凝聚态物理的前沿与主流,很多凝聚态人也可以堂而皇之地开口拓扑、闭口拓扑了。拓扑特性已经深入量子凝聚态物理之骨髓,一系列与拓扑量子态相关的新效应和潜在应用正在被不断预言、发现和证实,虽然预言的远远比证实的要多得多。


所谓拓扑学,数学上原本是指研究几何图形或空间在连续改变形状后还能保持不变性质的一门学科。这里“连续改变”是指进行拉伸、挤压和弯曲,但不能进行撕裂或胶合。凝聚态物理中,这种几何图形在实空间中可以是某种微结构形态、在动量波矢空间可以是某种能带结构或者色散结构,变种很多,纷繁复杂。引入拓扑概念到凝聚态中,实属顺理成章。2016年获得诺奖的Thouless和Kosterlitz也以关注实空间拓扑结构闻名,而Haldane则以研究动量空间的拓扑量子态著称。这里,为了理解本文所推介的成果,看君首先需要关注动量空间中能带所具有的一些拓扑性质。


按照凝聚态物理的说辞,一般固体根据导电性可分为导体、半导体和绝缘体。导体的费米面上存在载流子,对电场有电流响应,从而导电。对半导体和绝缘体,费米面处于禁带(导带底与价带顶之间的区域)中,没有载流子存在和导电,是故称为能带绝缘体,其体能隙即禁带宽度。如果您从动量空间去审视能带,则布里渊区内的能带形态有一定形状,可以归于一类拓扑形态。对普通原子晶体绝缘体,绝对零度下其价带被电子完全占据、导带则保持全空。假定施加静水压改变原子间距,能带形状自然会有所畸变,禁带宽度也会发生变化,但是能带形态的拓扑性质则并未发生本质变化。所以,加压前后,能带结构是拓扑等价的,我们说这是一种受拓扑保护的性质。这种等价性使得我们可以用拓扑概念作为判据来区分绝缘体的种类,从而为拓扑绝缘体等新概念提供几何上的图像。


II

量子霍尔效应与拓扑绝缘体

一般原子晶体绝缘体,其能带拓扑结构是平庸的,或者说其某种拓扑不变量是0。真空据说也是一类拓扑平庸的绝缘体。空间有限的一般绝缘体自然存在表面,与真空相接,穿越表面的拓扑性质并无变化,因此一般绝缘体的表面依然被体内性质所主导,并无太大的奇异性质。不同于拓扑平庸的普通绝缘体,所谓拓扑绝缘体是一类具有非平庸拓扑性质的绝缘体,其拓扑性质与作为普通绝缘体的真空有本质不同。从数学上看,从这种绝缘体体内穿越表面进入真空,等价于表面处出现不同拓扑类的跨越。如前所述,这种跨越不可能是连续的,因为两类不同拓扑结构不可能通过连续形变而跨越。也就是说,当两个不同拓扑类的绝缘体之间形成界面(表面)时,界面处必然会出现非绝缘态的能带跨越。严格意义上,非绝缘体即是金属,所以拓扑绝缘体边界上会出现低维金属态,它受拓扑保护并处在绝缘体块体的禁带中,连接其导带与价带(图1),此乃拓扑绝缘体表面为金属态而内部为绝缘态的拓扑学内涵。

 

图1. 几种绝缘体的能带示意图。一般绝缘体(上):价带与导带间存在能隙;量子霍尔绝缘体(中):由于边缘态在能隙中出现一条导带,对应于边缘金属态;时间反演对称的拓扑绝缘体(下):自旋向上和自旋向下的两条能带穿越能隙。摘自文献[1]。


诚然,物理上将这种表面金属态与量子霍尔效应联系起来,并非是一简单问题,其历史进程也较为漫长,直到最近才始露芳容。


1980年,von Klitzing在金属氧化物半导体场效应管中精确测量到量子霍尔效应。为了解释这一效应,1982年,Thouless等四人提出了著名的TKNN拓扑不变量(实际上就是拓扑陈数),来阐释这一效应内在的拓扑性。金属氧化物半导体场效应管中的量子霍尔效应源于沟道层二维电子气2D gas,而这一所谓的拓扑不变量就是2D gas在布里渊区内布洛赫波函数的Berry相位除以2π,刚好与实验测量得到的量子霍尔电导系数n相等,这里霍尔电导是 σxy = n·e2/h。物理学中能够有如此漂亮结果,一定是深邃物理和崇高美感的体现。值得注意的是在2D gas中首次将拓扑(TKNN不变量)与量子霍尔效应联系起来了。


重要的概念重复一遍:对真空或一般绝缘体,TKNN拓扑不变量为零。量子霍尔体系TKNN拓扑不变量不为零,其与真空之间存在一个导电表面态,即边缘态,表现出量子霍尔电导,如图1中间图所示。这一边缘态将量子霍尔效应与拓扑完整联系起来,解惑了外行感到很奇怪的问题:量子霍尔效应为何会与千里之外的拓扑有联系?


如果您去看量子霍尔体系的哈密顿量,会看到这是一类时间反演对称性破缺的体系。与此不同,如果TKNN拓扑不变量不为零的绝缘体系具有满足时间反演对称性的哈密顿量,则很可能出现拓扑绝缘体,或者说量子霍尔绝缘态也是一种特殊的、时间反演对称性破缺的拓扑绝缘体(在此不论)。拓扑绝缘体的概念源于2005年Kane和Mele针对加入自旋-轨道耦合SOC的“石墨烯”而提出的量子自旋霍尔效应模型,如图1(下)所示。


传统上,石墨烯可由质量为零的狄拉克方程描述,不考虑SOC时布里渊区边界由两条线性色散曲线形成一个无带隙的锥,即狄拉克锥,交点叫狄拉克点。当考虑SOC时,狄拉克点会分开,形成一个带隙,此时的“石墨烯”就成为半导体或者绝缘体,虽然很遗憾石墨烯的SOC实际上很弱,此石墨烯不是Kane和Mele梦里的“石墨烯”。这种“石墨烯”中,SOC打开带隙,却并没有消除布里渊区边界处的两条线性色散曲线,因此绝缘体边界在特定参数范围内一定会出现一对(是的,是一对而不是一个)导电通道,其中的载流子自旋相反且沿相反方向传输。此时自旋向上(spin up)和向下(spin down)的载流子分别贡献一个单位但符号相反的霍尔电导,无磁场下体系总的霍尔电导为零,如图1(下)所示。这里令人诧异的是其霍尔电导 σxy = 0但自旋霍尔电导 σxyspin = 2 (量纲为e/4π)。这就是量子自旋霍尔效应的来源,它具有时间反演对称性,对磁杂质散射有天然免疫力,此即2D拓扑绝缘体。与2D拓扑绝缘体边界态类似,三维(3D)拓扑绝缘体具有受时间反演对称性保护的无带隙表面态,也就是说3D拓扑绝缘体表面导电而体内绝缘,典型材料包括金牌Bi2Se3家族。


说文解惑、啰嗦至此,接下来,我们故事的主角该粉墨登场了。


图2. 二维电子气中的朗道能级(左),是整数化的;狄拉克锥中的朗道能级(右),是半整数化的。摘自文献[2]。


III

半整数量子化?

3D拓扑绝缘体的拓扑表面态是二维的,足够大磁场下它能展现量子霍尔效应。对2D gas,量子霍尔效应是整数化的(不考虑特殊的分数效应),源于朗道能级物理。不同于2D gas,单个拓扑表面态的量子霍尔电导却是半整数化的,即呈现1/2、3/2量子化电导。这也可从图2的朗道能级示意图中体现出来。但是,实验测量时,一个样品总是有表面的。表面覆上电极测量时,载流子不可避免会沿所有表面的导电通道输运,即所谓No-go理论限制。或者说,3D拓扑绝缘体表面态总会是成对出现,测量结果总是成对电导的叠加,两个半整数量子霍尔电导叠加就是整数化的量子霍尔电导。


这里,我们不禁要问:3D拓扑绝缘体的表面态真的呈现半整数量子电导吗?还是只是理论学人的传说?这个问题算得上是个天大的问题吧?


要回答上述问题,再回到石墨烯。有趣的是,石墨烯也具有半整数的量子霍尔电导。但石墨烯存在四重简并(谷和自旋),它应该表现出四倍半整数值,2005年就被预示出来。然而,即便通过各种方式(比如加压)打破简并,仍旧无法直接测量到半整数量子霍尔电导。事实上,如果只打破一种简并,仍将是偶数个半整数,霍尔电导还是整数。而一旦四重简并被完全打破,将直接失去半整数量子霍尔效应,转变为整数量子霍尔态,半整数特性就消失殆尽了。拓扑表面态的优势在于它本身是不简并的(除了狄拉克点处Kramers简并),其中物理颇为奇妙。这里注意到,石墨烯和拓扑绝缘体中量子霍尔效应是相对论性的,与一般2D gas的非相对论量子霍尔效应不同,体现在对质量项的处理上。非相对论量子霍尔效应中质量参数只是调整朗道能级间距,而相对论霍尔效应的质量项则与半金属-绝缘体相变及拓扑表面态时间反演对称性相关。打破这种对称性就可以引入新的物理。谁都知道,引入磁性就可打破时间反演对称性。磁性掺杂就能引入质量项,带来宇称反常 (parity anomaly) [3]。宇称反常在这里表现为质量项引起正负朗道能级不对称。从实验角度,外磁场作用下,引入宇称反常的质量项会导致朗道正负能级间出现非对称性,使得拓扑表面态退简并,两个半整数霍尔电导态的出现就会有差别。如此,我们知道,揭露半整数量子霍尔态的思路就呼之欲出了。


行文到此,读者当体会到“千呼万唤始不出,只是未从尝露珠”。应可开始实验了!


IV

材料制备

材料选择上,可从Bi系家族3D拓扑绝缘体出发,其体带隙大、材料制备手段方便、拓扑表面态能带结构简单且只有单个狄拉克锥。然而,这类材料属硫族化物,自掺杂效应严重,导致费米能级常跑到体相带隙外。所以,未掺杂Bi2Se3、Bi2Te3和Sb2Te3往往呈现体金属性。为实现真正拓扑表面态输运,调控费米能级成为成败关键。


Bi2Te3中,Te反位缺陷的贡献主要是体相载流子。生长时Te较多会导致Te替代Bi的反位缺陷,属电子掺杂。Te较少时Bi替代部分Te而贡献空穴掺杂。不同生长环境中,Se掺杂总是带来空位缺陷,贡献电子;Sb掺杂带来空位和Sb-Te反位缺陷,贡献空穴。以此认识为基础,人们得以在不同生长环境下设计成分,达到调控费米能级的目的,实现体相绝缘而呈现拓扑表面态。另一重要方面是拓扑表面态能带结构细节调控。Bi2Te3的拓扑表面态狄拉克点埋在价带中,当费米能级靠近狄拉克点时,费米面上会出现来自价带的拓扑平庸载流子,昭示了精细调整拓扑表面态电子结构的必要性。根据图3(a),可找到Bi2−xSbxTe3−ySey这个体系,其拓扑表面态的能带结构演化示于图3(b),在合适的成分区域费米能级的确可以位于体能隙内,狄拉克点也远离价带,形成理想的狄拉克锥。

 

图3. (a)Bi2−xSbxTe3−ySey中的载流子类型调节,(b)Bi2−xSbxTe3−ySey的拓扑表面态演化。摘自文献[4、5]。


沿此思路反复尝试,利用熔融法可以生长厘米级高质量BiSbTeSe2单晶。不同厚度的单晶样品二维电阻率数据如图4。可以看到,低温与高温电阻率随厚度变化呈现完全不同的温度依赖关系,其中低温区段二维电阻率跟厚度t的关系明显减弱,高温下主导输运的是三维半导体态,显示出体态绝缘表面态金属的特性。特别是在很薄的两个样品(厚度80nm和275nm)中,高温(100K和275K)区段二维电阻率明显偏离厚度倒数关系,不具有三维性,更接近二维标度关系。这是因为厚度变薄后,体相电导贡献很少,即便在接近300 K时电输运依然被拓扑表面态主导,在很宽温度范围内实现了纯粹拓扑表面态输运。接下来就可以制作用于霍尔测量的样品和结构了。

 

图4. BiSbTeSe2单晶的变温二维电阻率(左)和不同温度二维电阻率与样品厚度的关系(右)。


通过机械剥离、电子束光刻、电子束沉积等成熟加工,可以制备出以很薄的BiSbTeSe2单晶片作为沟道的场效应管器件。样品沟道层厚度100 nm量级、长宽10 μm的量级,完全满足测量表面态量子霍尔电导的条件。测量通过固定磁场、扫描栅压来进行。类似的测量已有报道,虽然前人测量的结果依然是整数量子霍尔电导,只不过是通过双极性来间接测度半整数电导,并非直接测量到半整数电导 [6、7]。

 

图5. 磁性掺杂在狄拉克点处打开带隙。取自文献[8]。


V

磁性团簇修饰

如前论述,拓扑表面态具有时间反演对称性,磁性掺杂或磁性团簇修饰可以打破时间反演对称性,在狄拉克点处打开一个能隙(图5),导致为人熟知的量子反常霍尔效应。借助这一思路,作者利用磁性团簇对样品的一个表面进行修饰而另一个表面维持原样,由此得到了直接测量半整数量子霍尔效应的机会。


利用团簇束流仪可在加工好的样品上表面沉积磁性Co团簇。通过表征确认此表面有大量Co团簇颗粒。随后,借助电输运测量弱磁场下弱反局域化效应,揭示出此表面态输运确实存在磁性修饰效应。其次,磁性团簇修饰对表面态的影响可通过磁场下的电输运来体现。未修饰样品在12 T磁场下展现出两个量子霍尔平台,如图6(a)。沉积磁性团簇后,施加27.4 T磁场测量到多个量子霍尔平台,如图6(b)。由此展示大量磁性团簇修饰并未破坏表面态,虽然磁性团簇带来的诸如磁散射等效应难以完全避免。

 

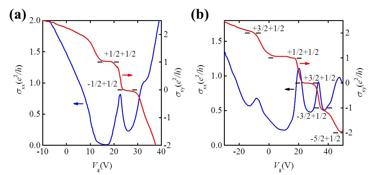
图6. 样品在1.8 K温度下的量子霍尔态。(a) 无磁性修饰的样品在12 T磁场下的量子霍尔效应;(b) 沉积磁性Co团簇后样品在27.4 T磁场下的量子霍尔效应。


图7. 无磁性团簇修饰 (a) 和有磁性团簇修饰 (b) 的量子化轨迹图;(c) 中等磁场下半整数量子霍尔平台;(d) 磁性和非磁性团簇修饰的比较。


VI

单通道半整数量子霍尔电导

前文如此吹毛求疵、未雨绸缪之后,已经到了万事俱备之态,就看能不能实有所想、梦有所成了。首先,对样品施加太高的磁场并不能得到预期结果,数据依然表现出整数量子霍尔电导。这不难理解,因为太强的磁场等价于将样品上表面的磁团簇修饰效应淹没了,上下两个表面态几乎等同,自然只有平庸的结果。显而易见,一个合适磁场下的测量方能拨开巫山。反复尝试,12 T的磁场看起来比较合适。精心挑选一个在12 T磁场下能展现出量子霍尔效应的样品,测得一系列固定磁场下的低温栅压扫描曲线。随后,对此样品上下其手,沉积Co团簇,重复测量过程。借助重整化群流分析,提取每条曲线上的收敛点,即对应的量子态。将这些点对应的磁场与霍尔电导数据取出作图,表面态量子化轨迹便一目了然。


这些测量颇费功夫,却至为关键,结果如图7所示。无Co团簇修饰的结果示于图7(a),其中霍尔电导为 -1的平台应该是两个 -1/2 平台之和,它随磁场变化很小。Co团簇修饰了上表面后的测量结果如图7(b)所示,霍尔电导在低磁场区域出现明显的偏离,不再呈现整数平台值。修饰后的轨迹相比于修饰前有一个大的鼓包(低谷),也即磁场从 -12 T下降到0 的过程中,电导先减小后上升。这个反常的量子化轨迹显然源于磁性团簇对上表面的修饰。在1.8 K和 -7.2 T磁场下,图7(c)终于展示出清晰的 -3/2霍尔电导台阶,平行电导也对应出现异常。图7(d)则更清晰地展示了Co修饰时霍尔电导极大值出现在 -3/2 附近。

 

图8. (a、c、e)无磁性团簇修饰的朗道能级示意图,(b、d、f)有磁性团簇修饰的朗道能级示意图。橘黄色虚线代表费米能级。


作为锦上添花之举,当然需要一个微观物理机制来解释Co团簇修饰导致的上下表面态之不对称性。利用所谓的推迟朗道能级杂化模型可以解释观测结果。磁场下,磁性团簇通过与样品上表面反铁磁交换,在狄拉克点处打开一个塞曼能隙,原来的零阶朗道能级会转移到塞曼能隙顶端,如图8(b)。样品下表面未加修饰,依旧保持原来属性(图8(a))。假定实验进程从高磁场下开始,足够高的磁场下,两者没有差异(图8(c、d)),两者都达到 -1的量子霍尔平台。中等磁场下(图8(e、f)),塞曼能隙导致上述反常量子化轨迹,因为下表面一直处于 -1/2 量子霍尔态,塞曼能隙使得 0 与 -1 之间朗道能级间距变大,推迟了朗道能级杂化过程。也因此,当下表面一直处于量子态时,上表面的费米能级反而进入了朗道能级扩展态中,出现了图7(b)所示的鼓包(低谷)。而这条轨迹恰好反映了被修饰的上表面量子化过程。


很显然,下表面总是处于 -1/2 量子态,修饰表面出现反常量子化轨迹,导致这个轨迹进程跨过 -3/2 的半整数量子霍尔平台(图7(c))。这里,下表面贡献一个 -1/2 平台,上表面贡献一个 -1 平台。虽说这里的 -3/2 平台并非纯净的单个半整数量子霍尔态,但这个 -3/2 平台是拓扑表面态半整数量子霍尔的必要体现。前人的实验中,上下表面量子化是同步的,而这里由于磁性修饰导致上表面的量子化推迟,上下表面不再同步,3/2台阶的出现实属必然。


VII

后记

笔者认为,这一成果很好地体现了凝聚态物理人是如何为了达到一个目标而“抽丝剥茧”追求真相。本文之所以显得冗长,也是作者为了让其篇幅与这一成果的获取保持精神上的同步与协调。实际工作中,您在头绪纷繁复杂中会显得烦躁不静,这种感受与您批阅本文时不能一目了然时表现出的焦虑烦躁如出一辙。拓扑绝缘体物理所展示的量子态在几何上类比于一个二维表面,她薄如轻纱却难以通透,无比诱人却巫山未开。


该成果由南京大学宋凤麒教授领衔,与多方合作,方得始成。事实上,这不是宋凤麒们第一次以这种风格沉湎于他们的故事,几个有影响力的成果都是如此这般修炼而成,其情其景与“抽丝剥茧是为真,一片匠心落子辰”的描述颇为切合。该成果最近以“Anomalous quantization trajectory and parity anomaly in Co cluster decorated BiSbTeSe2 nanodevices”为题,发表于Nature Communications 8, 77 (2017)上。看君可以自行前往御览(https://www.nature.com/articles/s41467-017-01065-7),或点击阅读原文,笔者不胜谢忱。


参考资料:

[1] http://scienceblogs.com/principles/2010/07/20/whats-a-topological-insulator/

[2] M. I. Katsnelson, Graphene: Carbon in Two Dimensions. Mater. Today 10, 20-27 (2007).

[3] Qi, X.-L. & Zhang, S.-C. Topological insulators and superconductors. Rev. Mod. Phys. 83, 1057-1110 (2011).

[4] Z. Ren et al., Optimizing Bi2−xSbxTe3−ySey solid solutions to approach the intrinsic topological insulator regime. Phys. Rev. B 84, 165311 (2011).

[5] T. Arakane et al., Tunable Dirac cone in the topological insulator Bi2−xSbxTe3−ySey. Nature Commun. 3, 636 (2012).

[6] Xu, Y. et al. Observation of topological surface state quantum Hall effect in an intrinsic three-dimensional topological insulator. Nature Phys. 10, 956-963 (2014).

[7] Yoshimi, R. et al. Quantum Hall effect on top and bottom surface states of topological insulator (Bi1-xSbx)2Te3 films. Nature Commun. 6, 6627 (2015).

[8] http://firstcontest.studentaward-middleeast.com/idea.php?id=246


扩展阅读
 

揭开Nb:SrTiO3阻变效应的潘多拉盒子 | Ising专栏

无可奈何栅落去,似曾相识赝归来

从离子相变到智能玻璃

踏破汉河无马炮,斯格明子作棋兵

世上本无材,只因人精彩

终是关联关不住,贤纲秋水做文章

李晓光输了氧分, 氧化钛赢得超导

多铁满是愁滋味

当拓扑已成家常

当钙钛矿八面体成为孤寡老人 

精卫填海、女娲补天:极化子的魅影 

万物行明轨,格知道隐形:电荷、自旋与轨道

台阶的传说: 放眼量子的热电身影之外

为伊憔悴未迟疑:磁铁之恋

本文系网易新闻·网易号“各有态度”特色内容
媒体转载或者合作请看下方↓↓↓

投稿、授权、合作事宜请联系

service@scholarset.com 或微信ID: scholarset

回复“目录”或“”,浏览知社更多精华。长按二维码识别,可以关注/进入公众号进行回复。

登录查看更多
0

相关内容

深度学习可解释性研究进展
专知会员服务
103+阅读 · 2020年6月26日
【新书】Java企业微服务,Enterprise Java Microservices,272页pdf
【课程推荐】 深度学习中的几何(Geometry of Deep Learning)
专知会员服务
59+阅读 · 2019年11月10日
深度学习算法与架构回顾
专知会员服务
84+阅读 · 2019年10月20日
光子Ising机的前景光明
中国物理学会期刊网
6+阅读 · 2019年7月17日
【2019-26期】This Week in Extracellular Vesicles
外泌体之家
11+阅读 · 2019年6月28日
【新手福利】MISEV2018解读(六)
外泌体之家
19+阅读 · 2019年5月10日
丘成桐:攻克物理难题的数学大师
科技导报
5+阅读 · 2018年7月23日
一文读懂LSTM和循环神经网络
七月在线实验室
8+阅读 · 2018年4月18日
机器学习各种熵:从入门到全面掌握
AI研习社
10+阅读 · 2018年3月22日
一杯咖啡背后的拓扑 | 顾险峰
中国物理学会期刊网
7+阅读 · 2018年2月2日
专栏 | 贝叶斯学习与未来人工智能
机器之心
10+阅读 · 2017年9月19日
酒鬼漫步的数学——随机过程 | 张天蓉专栏
知识分子
10+阅读 · 2017年8月13日
Question Generation by Transformers
Arxiv
5+阅读 · 2019年9月14日
Arxiv
3+阅读 · 2019年3月29日
Arxiv
9+阅读 · 2016年10月27日
VIP会员
相关资讯
光子Ising机的前景光明
中国物理学会期刊网
6+阅读 · 2019年7月17日
【2019-26期】This Week in Extracellular Vesicles
外泌体之家
11+阅读 · 2019年6月28日
【新手福利】MISEV2018解读(六)
外泌体之家
19+阅读 · 2019年5月10日
丘成桐:攻克物理难题的数学大师
科技导报
5+阅读 · 2018年7月23日
一文读懂LSTM和循环神经网络
七月在线实验室
8+阅读 · 2018年4月18日
机器学习各种熵:从入门到全面掌握
AI研习社
10+阅读 · 2018年3月22日
一杯咖啡背后的拓扑 | 顾险峰
中国物理学会期刊网
7+阅读 · 2018年2月2日
专栏 | 贝叶斯学习与未来人工智能
机器之心
10+阅读 · 2017年9月19日
酒鬼漫步的数学——随机过程 | 张天蓉专栏
知识分子
10+阅读 · 2017年8月13日
Top
微信扫码咨询专知VIP会员