齿轮|给我几个齿轮,我能转动整个“太阳系”!

2019 年 5 月 7 日 机器人大讲堂


来源:果壳



如果你打开过机械手表的后盖,看着无数小巧精密的齿轮以不同速度转动的时候,无论你是否对机械装置有研究,都一定会被它们吸引。这些错落有致的齿轮中,仿佛蕴含着某种机械装置特有的美感,让人流连忘返。



为啥齿轮转动有如此大的魔力? 


从应用层面上来说,齿轮组可以说是应用最广泛的机械结构了。通过齿轮组之间的啮合,可以将“转动”非常精确地传递并改变。

 

就拿最常见的直齿轮为例,两个相同的直齿轮通过啮合,可以改变运动的方向。如果改变其中一个齿轮的半径,还可以同时改变输出的转速。


图片 | 图虫创意


除了作为机械手表的传动装置,生活中常见的电风扇、自行车、电梯、汽车减速箱这些大大小小的机械中也都有齿轮的参与。说得夸张点儿,只要是涉及精确的“转动”,齿轮都可以掺一脚。


齿轮组还经常被当做电机的减速器,通过多个齿轮的传动,可以让转速较快的电机输出较低的转速,还可以在降低转速的同时提高输出扭矩,可谓是最佳拍档。


电机减速箱 | 图虫创意


当然,这只是最基础的传动手段。把两个齿轮的齿倾斜45°就会变成锥形齿轮,将两个45°的斜齿轮啮合转动,就可以让两个转动轴在一个平面内垂直。


斜齿轮传动 | giphy.com


再进阶一点,有一种比较另类的蜗轮蜗杆的传动,可以让两个转轴在三维空间内垂直。


蜗轮蜗杆传动 | giphy.com


从工艺层面上来说,齿轮的生产加工非常复杂。虽然人类在公元前就已经开始使用齿轮,但由于技术和工艺的限制,直到19世纪末,我们最常用的渐开线齿轮才得以批量生产。


渐开线齿轮啮合  | Wikipedia


仔细观察就会发现,这种齿轮的齿并不是梯形,而是两边呈现出一定的弧度。它的好处是齿间啮合可以始终保持相同的速度,减少齿间的碰撞,进而提高齿轮的使用寿命。

 

齿轮除了实用,本身还是一件精致的工艺品。当许多不同种类的齿轮结合成一个精密复杂的系统时,向人们传达的是理性与感性并存的美感。



齿轮除了传动,还可以创造一个“星系” 


既实用,又美观,齿轮可以说是怼到了每个人的G点。如果脑洞再大一些,你还可以玩一波大的——比如,用齿轮创造一个“太阳系”。

 

不信?果壳实验室就做了一个“太阳系”,这可能是实验室做过最精密的装置了!一起看看吧~



通过多级齿轮啮合的结构,我们模拟了太阳系中八大行星的运动规律——根据万有引力定律,越在外面轨道的行星绕太阳公转的周期越长。不过,装置中行星的尺寸、公转周期和现实都是不一样的。毕竟体积最大的木星足足有地球的1361倍,离太阳最近的水星公转周期只有88天,而最远的海王星却是164年。专注在原理的装置就不强求比例啦!


太阳系八大行星数据 | MIT


在齿轮传动过程中,相互啮合齿轮的转动速度和半径成反比,也就是说,半径越大的齿轮转的越慢。所以在我们的“太阳系”中,越是外层轨道的行星对应的齿轮越大!



听起来很复杂?其实很简单。就好比自行车,自行车的前齿轮比后齿轮大的越多,也就转得更慢。虽然自行车的齿轮是通过链条连接的,但本质是一样的。


图片 | giphy.com


为了让齿轮沿着装置主轴错落有致的分布,相邻两个行星需要靠4个齿轮进行传动,这就需要比较严谨的计算了。


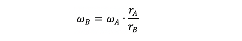
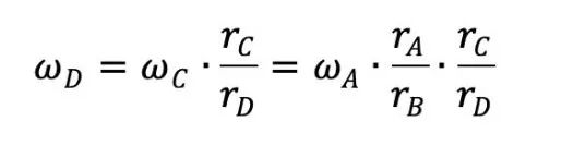
假设半径为rA齿轮A以ωA的转速转动,另一个半径rB的齿轮B与它啮合,B的转速就是:

再让第三个半径为rC的齿轮和B同轴转动,所以C和B的转速相等 。最后,再让第四个半径为rD的齿轮D和齿轮C啮合,齿轮D的转速也就可以计算出来了:

将啮合的齿轮和同轴的齿轮交错组装在一起,通过调整每个齿轮的半径大小,就能够设计出符合需求的传动比,模拟行星围绕恒星运转的运行规律了。



重点来了,对于人类所生活的地球,我们还额外为它增加了“自转”功能。这是通过一种叫做行星齿轮组的结构来实现的。行星齿轮组由中心的恒星轮、中间的行星轮和外围的齿圈组成。


行星齿轮组 | giphy.com


当恒星轮和齿圈以不同的速度转动时,形成的转速差就会带动行星轮同时和两者啮合,产生自转和公转,输出一个同轴但不同速的转动。




行星齿轮组也是变速箱的核心 


行星齿轮组除了可以模拟星系中天体运动的规律,在汽车的AT变速箱中还有更大的用处。 

 

和视频里“太阳系”中“地球”的运动相似,对于单独一组行星齿轮组来说,如果用发动机的转轴来驱动恒星轮,把外圈固定,三个行星轮的中心就会共同输出一个比发动机更低的转速。


9AT变速箱1挡原理


AT变速箱的1挡就是这样的原理。在挂起1挡时,变速箱中的离合器会锁死输出端行星齿轮组的外圈,让行星轮带动上面的行星架输出一个较低的转速。


如果再给外圈一个同向的转动,行星轮就会在两个驱动力的作用下加速转动。


9AT变速箱2挡原理


在汽车挂起2挡时,原本锁死外圈的离合器松开,另一组行星齿轮同时运动,这组的行星轮带动外圈一起转动,外圈转动再次为之前的一组行星轮加速,从而提高行星架的输出转速。



变速箱中的行星齿轮组越多,能够实现的挡位越多。以视频中的探界者搭载的9速HYDRAMATIC®手自一体变速箱为例,通过4组行星齿轮组的搭配和更加精密复杂的构造,它可以实现9个挡位的变速。


相比于传统的6速变速箱,探界者的9AT变速箱具有更高的速比范围(7.6),更细密的挡位分布,换挡体验更顺滑。另外由于增加了3个挡位,在同等速度下发动机转速更低,燃油经济性更高。


9AT变速箱 | 探界者



王牌组合引发尖叫! 


除了9AT变速箱,探界者还拥有另一个王牌装备——2.0T双涡管直喷涡轮发动机!相比于普通的单流道涡轮增压器,它能带来更快速的涡轮响应,更猛烈的动力输出。


2.0T发动机 | 探界者


除了瞬时加速带来风驰电掣的体验,发动机的油耗也是不容忽视的问题。2.0T双涡管直喷涡轮发动机还同时具备了高压缸内直喷技术、双可变气门正时DVVT技术和优化过的进排气系统,在保证强劲动力的同时,充分压榨每一滴燃油的价值。

 

一边是9AT变速箱带来更加顺滑的换挡和加速体验,一边是2.0T发动机带来更加强劲的加速性能和低油耗,当它们俩在探界者中结合在一起的时候……瞬时加速带来的推背感一定会让你发出激动的尖叫!Amazing!


END

加入社群

机器人大讲堂Rob社群开始招募啦!如果您正在从事或想要从事机器人行业、想要学习这一方向,都欢迎您加入我们共同探讨机器人前沿科技。


另外,腿足机器人、医疗机器人、工业机器人专业讨论群正在招募中,欢迎各位专业领域的小伙伴加入。


在机器人大讲堂公众号对话框回复“交流群”获取入群方式!

招募作者

机器人大讲堂正在招募兼职内容创作者和专栏作家

请将简历和原创作品投至邮箱:LDjqrdjt@163.com  

我们对职业、所在地等没有要求,欢迎有兴趣有能力的朋友加入!


看累了吗?戳一下“在看”支持我们吧!


登录查看更多
0

相关内容

【KDD2020】自适应多通道图卷积神经网络
专知会员服务
121+阅读 · 2020年7月9日
【CVPR2020】时序分组注意力视频超分
专知会员服务
31+阅读 · 2020年7月1日
阿里巴巴达摩院发布「2020十大科技趋势」
专知会员服务
108+阅读 · 2020年1月2日
同质结中的“超注入”现象:半导体光源迎来新机遇!
【材料课堂】TEM复杂电子衍射花样的标定原理
材料科学与工程
39+阅读 · 2019年4月12日
【工业智能】风机齿轮箱故障诊断 — 基于振动信号
独家揭秘 | 波士顿动力SpotMini机器人自主导航技术
计算机视觉life
21+阅读 · 2018年5月15日
150个摄影测量与遥感术语
无人机
6+阅读 · 2018年4月22日
【工业大数据】工业大数据层层深度解析!
产业智能官
3+阅读 · 2018年1月20日
李克强:智能车辆运动控制研究综述
厚势
21+阅读 · 2017年10月17日
SLAM初识
计算机视觉life
5+阅读 · 2017年6月4日
Phase-aware Speech Enhancement with Deep Complex U-Net
Arxiv
3+阅读 · 2018年10月8日
Arxiv
6+阅读 · 2018年2月26日
Arxiv
7+阅读 · 2018年2月26日
VIP会员
相关资讯
同质结中的“超注入”现象:半导体光源迎来新机遇!
【材料课堂】TEM复杂电子衍射花样的标定原理
材料科学与工程
39+阅读 · 2019年4月12日
【工业智能】风机齿轮箱故障诊断 — 基于振动信号
独家揭秘 | 波士顿动力SpotMini机器人自主导航技术
计算机视觉life
21+阅读 · 2018年5月15日
150个摄影测量与遥感术语
无人机
6+阅读 · 2018年4月22日
【工业大数据】工业大数据层层深度解析!
产业智能官
3+阅读 · 2018年1月20日
李克强:智能车辆运动控制研究综述
厚势
21+阅读 · 2017年10月17日
SLAM初识
计算机视觉life
5+阅读 · 2017年6月4日
Top
微信扫码咨询专知VIP会员