成为VIP会员查看完整内容
VIP会员码认证
首页
主题
发现
会员
服务
注册
·
登录
0
浅谈高频交易的拥挤效应
2019 年 8 月 15 日
私募工场
私募工场(Funds-Works),素以严谨的调研和犀利的观察,捕捉基金的潜台词,严选底层标的,为投资者诊断私募、把脉资产。
来源:FICC与资产配置 |
· 正
· 文
· 来
· 啦
·
从笔者跟踪以及与同行的交流来看,6月股票高频策略(包括高频Alpha、日内T0)都比较难做,很多投顾市场中性产品业绩都出现亏损。
这次回撤跟2018年8-9月、2018年12月-2019年1月两次回撤有共性的原因,包括市场流动性匮乏、基差扰动等,另外一个不可忽视的因素是股票高频策略的规模急速扩张,市场出现内生性流动性问题。
一、业绩表现
股票高频策略产品形式主要有两种:
市场中性(绝对收益)跟指数增强(相对收益),实现方式可以通过高频alpha、日内T0或者两者结合。
我们先看看这些产品的业绩表现(选取的都是主流投顾的代表性产品,数据统一从2018年初开始)。
图1是市场中性产品从2018年开始的业绩曲线,为了好比较做了标准化处理,不同投顾产品差异性还是较大。
图2是指数增强产品从2018年开始的业绩曲线,为了比较也做了标准化处理,指数增强产品有些是对标沪深300,有些是中证500,还有一些产品是全市场选股没有对标某个具体指数。
图3是市场中性产品月度业绩箱体图,每个箱体中间实线部分是中位数,从箱体图可以看到今年6月份投顾收益率整体表现一般。
本文接下来主要讨论影响业绩表现的几个因素,以及股票高频策略未来可能值得关注的几个方面。
二、市场流动性
股票高频策略表现跟市场流动性直接相关。
我们这里简单做了一个统计,把沪深两市的月度总成交金额加总,跟中性策略月度收益中位数做一个散点图,可以明显看到收益率跟成交额是一个正向关系。
由于股票高频策略普遍具有很高的换手率,当出现交易拥堵的时候,流动性因子也可能从折价变成溢价。
另外一个方面是流动性匮乏导致交易成本(冲击成本)增加,侵蚀了收益。
从上证指数(深证成指也类似)走势跟交易量的关系可以看出,下跌状态导致投资者成交量不活跃,加剧交易摩擦成本(学术文章研究也发现上涨跟下跌的交易摩擦成本具有不对称效应)。
从2018年开始,上海证券交易所有11个交易日成交金额跌破千亿,其中2018年12月11日只有854亿,这11个交易日都集中在2018年8-9月、2018年12月-2019年1月期间,市场连续下跌,导致成交萎靡,给高频策略带来很大的挑战。
交易成交量的下滑,导致市场指数波动率(见图2)同期也出现下降。
一般而言,股票横截面差异小影响高频alpha表现,股票日内波动小影响T0策略表现。
三、升贴水率
自从15年股灾股指期货限制政策出台之后,股指期货贴水就是一个老生常谈的问题(股灾之前的贴水更多是成分股现金分红导致的)。
升贴水受到流动性、市场情绪影响较大。
在指数上涨阶段,市场情绪乐观,交易量活跃,更不容易出现贴水(见2019年2-3月上涨阶段);
而指数下跌阶段,市场情绪悲观,交易量不活跃,更容易出现贴水。
从这个角度来看,指数处于下跌状态,除了影响流动性之外,还容易导致期货贴水,造成双重不利影响叠加的现象,无疑让股票高频策略雪上加霜。
贴水幅度有些时候到达年化10-20%的水平,对中性策略造成很大的挑战。
最近6月份IC贴水幅度较大(即使切换到远期合约对冲,贴水幅度也较大),也是造成6月份业绩较差的一个原因。
四、产品规模
除了上述市场流动性、基差扰动等常规原因外,还需要更加正视的是高频策略的产品规模急速扩张造成的交易拥挤效应(Crowding Effect)。
现阶段由于市场处于下行震荡区间,加上低频alpha策略普遍失效,各个渠道都在力推股票高频策略。
在现有市场流动性的前提下,策略很可能已经超出了容量上限。
头部几家投顾,现在打听下来基本上规模都在80-100亿规模之间。
跟同行交流下来,预估市场高频alpha规模在600-800亿之间,如果加上日内T0,总规模很可能过千亿。
6月份沪深两市平均日成交金额才4500亿左右,高频策略产品日成交额已占据了相当于一部分市场份额。
由于产品规模没有确切的数据,笔者特意从中国基金业协会上爬取了28家相关投顾的产品发行情况加以佐证。
图1是28家投顾的在运行产品数量,其中最多的两家有接近150个产品,这个也算中国市场跟国外市场比较特有的一个现象。
国外对冲基金一般都有时间较长规模较大的旗舰产品,国内由于要满足渠道方的需求,产品一般都根据渠道方指定而设。
产品数量多,无形中也增加了投顾的管理成本,以及不同产品之间业绩的一致性及公平性问题。
图2是月度产品成立数量及累计产品数,2019年1-6月28家投顾总计新增了538个产品,明显看到最近几个月产品发行数量比之前要多,正在运行产品数量累计近1500个。
尽管没有每个产品的具体规模(协会给出每家投顾管理规模也是一个区间,而且有一定的滞后性),但是新增产品数量可以从一个侧面来佐证股票高频策略产品规模在增加。
当策略规模达到市场容量上限,交易拥堵,市场摩擦成本会急速增加。
如果没有新的市场流动性注入,产品收益率要提升很难。
关于这方面的深入研究,读者有兴趣的话可以参考2018年中国经济学奖两位获得者王江及熊伟教授的研究成果。
王江教授将市场摩擦引入新经典金融学理论,形成新的资产定价的理论框架。
其中包括:
构建反映市场参与者交易需求的模型,为分析市场的均衡交易量和资产价格的特征提供了新的理论;
从市场摩擦角度研究市场流动性问题,为市场的流动性提供了新的理论分析基础;
分析各种摩擦可能带来的市场有效性的损失以及相应的监管和政策措施。
熊伟教授主要研究市场摩擦与投资者行为偏差,如何导致金融市场中的不完备与低效率。
五、关于股票高频策略的几点讨论
很多人说,中国市场有最好的alpha,也有最糟糕的beta,市场风格切换快,期货对冲贴水高,从一个侧面说明了中国市场股票量化策略的多重困境。
现在能够在市场上存活下来的股票量化团队,很多也经历了因子数据源从基本面到量价、因子获取方式从传统计量回归模型到机器学习等新方法、交易频率从低到高的过程。
股票高频策略作为现阶段各个渠道主推的策略(屈指可数能够同时满足券商、投顾、投资者三方共赢的策略),如果现有市场流动性及期货贴水都得不到大幅改善的情况下,下面几个方面可能值得我们关注。
1、从因子收益端到交易成本端
之前大家都很重视因子收益端,很多投顾有成千上万个因子,而且有相对成熟的迭代流程。
在现有市场状态下,因子收益端可以挖掘的新信息含量相对有限,交易成本端的控制显得尤为重要。
在交易成本端有三个方面可以拓展。
第一个方面是交易系统的优化,跟期货交易系统相比,证券系统在行情加速、交易优化方面都还有很大空间(当然是在监管政策许可的情况下)。
诸如盛立等软件公司也发现了这方面的机会,最近开始在多个券商进行大规模测试。
第二个方面是算法交易,相比券商PB系统提供的算法交易,投顾还需要根据市场情况进行优化,设计新的更复杂的算法交易来降低交易冲击成本。
第三个方面就是市场冲击成本函数预估,跟期权交易里面的波动率曲面需要根据实际交易数据预估一样,股票市场冲击成本函数也只有投顾自己最清楚。
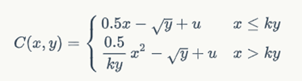
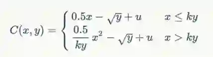
投顾自己经过大量的实盘交易数据,可以预估近期的市场冲击成本函数(Empirical Market Impact Function),从而给自己的策略容量留足空间。
比如下面这个简单成本函数就假设冲击成本跟市场流动性及策略容量有关系,其中x是整体策略规模,y是市场交易额,ky是策略容量上限。
在策略规模一定的情况下,流动性是冲击成本的减函数;
在市场流动性一定的情况下,策略规模对冲击成本的影响是分段的。
这个函数(连续不可导)只是一个例子,具体的需要投顾自己去模拟、交易、测算与拟合。
2、头部效应加剧
股票高频策略的头部效应很明显,前十大投顾占据市场份额较大,而且这一趋势应该还会加剧。
头部效应明显一个原因是股票高频策略无论从开发到执行都需要一定的技术门槛,而且需要持续积累,具有规模经济效应。
头部投顾产品长期业绩较为稳定且较少出现漂移,自然而然对产品要素及定价具有较高的议价权,处于“食物链”的顶端。
3、要警惕流动性风险
随着股票高频策略投顾与规模的增加,不可忽视策略雷同导致的交易者拥挤效应。
交易拥挤一方面增加了交易摩擦成本,导致阿尔法收益衰减;
另外一个方面增加了交易的尾部风险。
由于不同投顾之间交易信号、交易时段、交易行为等多有重叠,加上程序化交易,一些外部事件容易导致左侧尾部回撤。
关于这方面的详细讨论,有兴趣的读者可以去参考MAN Group今年2月份的一篇专题讨论文章(需要PDF版本可以公众号留下邮箱)。
千禧年的Israel Englander说过,换手率超过一定倍数的策略只适合管理自营资金。
随着头部私募自营规模的扩大,既有市场流动性下的策略容量上限约束,未来股票高频策略收益率是否会走向均值回复,会不会出现流动性之殇,策略演变方向何去何从。
广告合作:
15034081448(果老大)
登录查看更多
点赞并收藏
0
暂时没有读者
0
权益说明
本文档仅做收录索引使用,若发现您的权益受到侵害,请立即联系客服(微信: zhuanzhi02,邮箱:bd@zhuanzhi.ai),我们会尽快为您处理
相关内容
产品
关注
74
用来满足人们需求和欲望的物体或无形的载体。好的产品大家都喜欢
商业数据分析,39页ppt
专知会员服务
165+阅读 · 2020年6月2日
基于深度学习的表面缺陷检测方法综述
专知会员服务
94+阅读 · 2020年5月31日
2020年中国《知识图谱》行业研究报告,45页ppt
专知会员服务
240+阅读 · 2020年4月18日
德勤:2020技术趋势报告,120页pdf
专知会员服务
192+阅读 · 2020年3月31日
【哈佛大学】美国对新冠肺炎COVID-19住院和ICU床位的需求:来自中国城市的教训
专知会员服务
29+阅读 · 2020年3月11日
【Amazon】使用预先训练的Transformer模型进行数据增强
专知会员服务
58+阅读 · 2020年3月6日
缺失数据统计分析,第三版,462页pdf
专知会员服务
110+阅读 · 2020年2月28日
【CVPR2020-UBC】改进小样本学习视觉分类,Few-Shot Visual Classification
专知会员服务
68+阅读 · 2020年2月25日
报告 | 2020中国5G经济报告,100页pdf
专知会员服务
98+阅读 · 2019年12月29日
【论文|知识图谱】小样本知识图谱补全,Few-Shot Knowledge Graph Completion
专知会员服务
121+阅读 · 2019年11月30日
2019年药品零售行业全景图
行业研究报告
31+阅读 · 2019年9月18日
CTA策略获利原来是因为它?从动量的角度拆解CTA趋势策略基金收益
优矿量化实验室
12+阅读 · 2019年9月11日
IQVIA发布:中国医院医药市场回顾 | 2019年第一季度
IT桔子
16+阅读 · 2019年7月17日
医药零售行业报告
医谷
9+阅读 · 2019年7月8日
2019年Q1中国互联网流量季度分析报告
艾瑞咨询
5+阅读 · 2019年5月15日
2018-2019中国智能手机品牌东南亚市场研究报告
行业研究报告
3+阅读 · 2019年5月14日
量化交易系列课程
平均机器
11+阅读 · 2019年5月9日
阿里P7跳槽后曝光薪资截图:新公司月入税后五万多,很满足!
互联网架构师
9+阅读 · 2019年3月28日
如何运营15万付费用户?
三节课
6+阅读 · 2019年2月28日
市场▍ToB的SaaS服务如何收费?关于定价的 10 年经验总结
36大数据
20+阅读 · 2019年2月24日
AdarGCN: Adaptive Aggregation GCN for Few-Shot Learning
Arxiv
4+阅读 · 2020年3月9日
A Baseline for Few-Shot Image Classification
Arxiv
7+阅读 · 2020年3月1日
Meta-Learning with Dynamic-Memory-Based Prototypical Network for Few-Shot Event Detection
Arxiv
20+阅读 · 2019年10月25日
Inverse Visual Question Answering with Multi-Level Attentions
Arxiv
4+阅读 · 2019年9月17日
MeLU: Meta-Learned User Preference Estimator for Cold-Start Recommendation
Arxiv
39+阅读 · 2019年7月31日
Neural Speech Synthesis with Transformer Network
Arxiv
5+阅读 · 2019年1月30日
MDU-Net: Multi-scale Densely Connected U-Net for biomedical image segmentation
Arxiv
10+阅读 · 2018年12月4日
Improved Speech Enhancement with the Wave-U-Net
Arxiv
8+阅读 · 2018年11月27日
Close to Human Quality TTS with Transformer
Arxiv
3+阅读 · 2018年11月13日
Self-Attention with Relative Position Representations
Arxiv
27+阅读 · 2018年4月12日
VIP会员
自助开通(推荐)
客服开通
详情
相关主题
产品
中位数
因子
投资
确切的
公平性
相关VIP内容
商业数据分析,39页ppt
专知会员服务
165+阅读 · 2020年6月2日
基于深度学习的表面缺陷检测方法综述
专知会员服务
94+阅读 · 2020年5月31日
2020年中国《知识图谱》行业研究报告,45页ppt
专知会员服务
240+阅读 · 2020年4月18日
德勤:2020技术趋势报告,120页pdf
专知会员服务
192+阅读 · 2020年3月31日
【哈佛大学】美国对新冠肺炎COVID-19住院和ICU床位的需求:来自中国城市的教训
专知会员服务
29+阅读 · 2020年3月11日
【Amazon】使用预先训练的Transformer模型进行数据增强
专知会员服务
58+阅读 · 2020年3月6日
缺失数据统计分析,第三版,462页pdf
专知会员服务
110+阅读 · 2020年2月28日
【CVPR2020-UBC】改进小样本学习视觉分类,Few-Shot Visual Classification
专知会员服务
68+阅读 · 2020年2月25日
报告 | 2020中国5G经济报告,100页pdf
专知会员服务
98+阅读 · 2019年12月29日
【论文|知识图谱】小样本知识图谱补全,Few-Shot Knowledge Graph Completion
专知会员服务
121+阅读 · 2019年11月30日
热门VIP内容
开通专知VIP会员 享更多权益服务
《运用大语言模型支持空天防御系统工程项目》2025最新208页
《美空军转型:打造分布式空战力量以应对大国竞争》2025最新报告
消耗性无人机:认识战争演变中的技术特性与本质特征
《人体状态多模态推断·美陆军报告:风险环境下的认知追踪研究》2025最新100页
相关资讯
2019年药品零售行业全景图
行业研究报告
31+阅读 · 2019年9月18日
CTA策略获利原来是因为它?从动量的角度拆解CTA趋势策略基金收益
优矿量化实验室
12+阅读 · 2019年9月11日
IQVIA发布:中国医院医药市场回顾 | 2019年第一季度
IT桔子
16+阅读 · 2019年7月17日
医药零售行业报告
医谷
9+阅读 · 2019年7月8日
2019年Q1中国互联网流量季度分析报告
艾瑞咨询
5+阅读 · 2019年5月15日
2018-2019中国智能手机品牌东南亚市场研究报告
行业研究报告
3+阅读 · 2019年5月14日
量化交易系列课程
平均机器
11+阅读 · 2019年5月9日
阿里P7跳槽后曝光薪资截图:新公司月入税后五万多,很满足!
互联网架构师
9+阅读 · 2019年3月28日
如何运营15万付费用户?
三节课
6+阅读 · 2019年2月28日
市场▍ToB的SaaS服务如何收费?关于定价的 10 年经验总结
36大数据
20+阅读 · 2019年2月24日
相关论文
AdarGCN: Adaptive Aggregation GCN for Few-Shot Learning
Arxiv
4+阅读 · 2020年3月9日
A Baseline for Few-Shot Image Classification
Arxiv
7+阅读 · 2020年3月1日
Meta-Learning with Dynamic-Memory-Based Prototypical Network for Few-Shot Event Detection
Arxiv
20+阅读 · 2019年10月25日
Inverse Visual Question Answering with Multi-Level Attentions
Arxiv
4+阅读 · 2019年9月17日
MeLU: Meta-Learned User Preference Estimator for Cold-Start Recommendation
Arxiv
39+阅读 · 2019年7月31日
Neural Speech Synthesis with Transformer Network
Arxiv
5+阅读 · 2019年1月30日
MDU-Net: Multi-scale Densely Connected U-Net for biomedical image segmentation
Arxiv
10+阅读 · 2018年12月4日
Improved Speech Enhancement with the Wave-U-Net
Arxiv
8+阅读 · 2018年11月27日
Close to Human Quality TTS with Transformer
Arxiv
3+阅读 · 2018年11月13日
Self-Attention with Relative Position Representations
Arxiv
27+阅读 · 2018年4月12日
大家都在搜
PINN
朱克爱德华兹家族
2025最新文献
扩散模型
人类控制
国防科技创新
突防
WOS
事件相机
无人机航拍交通事故现场勘查处置系统——行业第一的警用事故处理软件
Top
提示
微信扫码
咨询专知VIP会员与技术项目合作
(加微信请备注: "专知")
微信扫码咨询专知VIP会员
Top