物理学咬文嚼字:无处不在的压力

2019 年 4 月 28 日 中科院物理所

压力在中英文中都是一个比较含混的词。中文压力对应的物理学词汇包括pressure, tension, stress等, 它们有着不同的甚至含混的量纲,应用于不同的语境。压力是所有体系都躲避不掉的因素,具有相当的正面意义:高压物理学(high-pressure physics)和应力工程(stress engineering)都是重要的学科和艺术, 而能接受充满压力(stress)的生活是一个人成熟的标志。


撰文 | 曹则贤(中国科学院物理研究所)


井无压力不出油,人无压力轻飘飘。

——铁人王进喜


Stress is poison.1)  

——Agavé Powers


1)中我将阐明, stress 是一种内在的紧绷着的状态,此句可译成“应力是毒药”。不过,在日常生活中, “mental stress”被译成精神压力, “social stress”被译成社会张力,也许这句被译成“紧绷着的状态是毒药”更合适些。整容的朋友们应该有深切的体会。


力在物理学中更多的是一个文化上的概念,关于这一点,诺贝尔奖得主Wilczek,实际上还包括更早的物理学家,多有深刻的论述[1]。力作为一种文化现象,在英文文献中还算是一种隐性的行为,比如,为一切现象找出一个称为driving force(驱动力)的东西,将driving force 同要解释的现象通过动力学方程搭上联系,就算是为问题找到了圆满的解释。一个大家熟知的例子是,认为密度的不均匀定义了一个driving force ,会造成物质的再分配,这就是关于扩散的基本思想,于是就有了扩散方程 。其实,这里的基本思想是说不均匀会自动变得均匀起来。当然,实际情况下平衡态分布常常是非均匀的,于是人们就构造出新的driving force项和相应的概念,比如偏析(segregation),以图自圆其说[2, 3]。这种方式的物理研究在今天怕是难有市场了。


力的文化在中文物理学语境中的影响,如果不说是危害,却常常是字面上的、更直观的。在中国,经常听到很多好的物理系的毕业生夸耀自己学过了四大力学,似乎力是物理学的本质似的。相当多的洋文词被安上了“力”的尾巴,包括引力(gravity, gravitation),摩擦力(friction)、矫顽力 (coercion)、表面张力(surface tension)、应力(压力,stress)、压力(压强,pressure)、action-reaction(作用力-反作用力)等等。这个字面上的小尾巴的危害,在笔者身上的效应是,它很大程度上阻碍了我对问题实质的理解。比如,friction一词,它的汉译摩擦力让我关注它阻碍或者有助于车轮运动的一面,而未能及时注意到摩擦的材料学过程(更具体地说是电磁学过程)。宏观上材料的磨损(rubbing),微观上的化学键断裂和电荷的再分配,界面附近原子的重整以至发生相变,伴随的热产生等诸多现象 才是摩擦的本质。而action-reaction 这样对物理思想起源具有重要的哲学层面上的意义的词,当action 被当作作用力理解时(夹在牛顿定律的表述中难免会如此),则完全掩盖了物理学是按照action(作用量,如普朗克常数)组织的深刻内涵2)。在各种被中文冠以“力”的物理学词汇中,pressure, tension 和stress 是从社会生活走入物理学的基本词汇,意思相近但它们在中英文语境中都是相互间夹杂不清的,因此有辨析的必要。


2)关于最小作用量原理的重要性将另文专门阐述。我以为,物理学应该统一地按照关于作用量共轭来组织其结构, 不过大家可能都注意到了,热力学是按照关于能量共轭来组织的。为什么是这样,不解。


Pressure


Pressure 一词来自于按压(pressing)这个动作,按照字典的解释,它首先是一种按压、挤压所引起的感觉(a sense of impression caused by or as by compression),这里的impression(往里压;印痕,引申为印象),compression (together + press, 往一起压),以及oppression (against + press, 引申为压迫), repression (按下, 压下,控制),depression (往下压,引申为压抑感), suppression (往下压,压制、控制住),都是和press 同源的,都是一种 “反感” (a compelling influence),会造成不良情绪的。除了气压(gas pressure)、血压( blood pressure)这些具体的词汇外,还有社会压力(social pressure)这样的抽象概念。


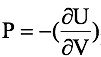
Pressure 作为一个物理学概念,有些地方给出的解释是单位面积上的力,相应地,中文物理学教科书将之译为压强。压强这个中文词很妙,我猜测是有强调其是强度量的意思,但理解为单位面积上的力则是历史遗留的问题,有其不妥的地方。让我们回顾一下热力学的基本内容,看压强是如何引入的。假设我们研究一个物理体系的性质,我们认为体系直观上的大小,即体积,是一个可加量(additive):若将两个相同的物质体系相加,其体积为子系统体积之和。笔者个人认为,将质量可加性推给体积可加性是牛顿《自然哲学之数学原理》的一大成就。像这种具有可加性的物理量,物理学称为是extensive quantity,汉译“广延量”。注意到,热力学是以能量为支撑点(pivot point) 组织其内容的,同体积关于能量共轭的那个强度量(intensive quantity),就被定义为压强(pressure)所有其他广延量,这里U的具体性质, 取决于它所依赖的所有广延量。可见, 压强的合适身份是能量的体密度。在初等物理课本中遇到的将力F作用到面积A上之类的问题, 那里的压强也同样是能量的体密度。可以这样理解,力F在力的方向上引起虚位移 ,所做的虚功为,则受力面单位体积内的(形变)能量改变 , 就是一般所理解的单位面积上的力。


认为压力是强制性的、压迫性的,是只看到了问题的一面。实际上,压力是体系存在的必要条件。无论是一团中性的气体,还是由磁场和等离子体构成的有限构型的plasmoid3),若没有外在的约束(压力),就会无限分散开去。由压力的定义可见,对于一个物质体系,当其体积已经很小的时候,体积的微小变动就意味着大的能量变化,说明要维持这样的体系需要大的压力。对一个体系施加外部压力,物质体系并不是简单地各向同性地缩小,有时候会表现为原子甚至电子排列方式的改变,即发生相变。若压力诱导的相变不是可逆的,卸去压力后材料的新物相还可以继续维持存在。由此可见高压物理学(high-pressure physics)不仅仅能研究物相随压力的变化,它还是合成新物质、新材料的有效方法。宇宙中大多数物质都是处在高压状态(星体内部),因此高压物理还是理解宇宙奥秘的钥匙。利用金刚石对顶砧(diamond anvil cell)(图1),目前人们已经能够实现高达500GPa 的静压力。


3)网上可见把plasmoid译成等离子团、等离子粒团的做法。把plasma译成等离子体已是大不当 (曹则贤,作为物理学专业术语的Plasma一词该如何翻译?《物理》35卷12期,1067(2006).),对待plasmonics, plasmoid等词还是应该更认真一点。

 

图1. 金刚石对顶砧,由两块加工成近似锥状的金刚石组成。加在较大面积的底部上有限的力会在面积较小的顶部(对顶到一起)形成很大的压强。


Tension


Tension 来自拉丁语tensus,本意是拉伸 (to stretch),抻,跟压相反(the opposite of compression)。在日常英文中,tension 和 stress 意思接近, 比如我们可以说 social tension 和 social stress,都是指社会中不同阶层、不同个体间有强烈冲突的社会状态。肉体和精神长期处于紧绷着的状态,会引起tension-type headaches (紧张型头疼)。Tension 作为一个物理学词汇,汉译张力,但其具有两种不同的量纲,其意义是混乱的。Tension的意思其一是力,单位长度的形变所引起的内能改变。比如一根吊起1kg物品的绳子,其内部的张力约为10N。在surface tension(表面张力)一词中,又称surface energy 或surface free energy,也叫surface stress,其量纲却等价于单位面积上的能量。设想一个薄肥皂泡膜,增大其面积要消耗的能量,就正比于surface tension。不过,由于所有的液滴必须在一定的气压下才能保持(饱和蒸气压的概念。看,又一个pressure是存在保障的例子),所以surface energy 并不是液体自身的性质,而是由液体和它的外部环境共同决定的,所以更确切的术语应是interface energy (界面能)。表面张力的存在让带腊质的叶子上的露珠近似呈球形,因为球形有最小的表面体积比。表面张力是决定液体行为的重要因素。在地球表面上,由于重力的存在,表面张力的存在还不是太麻烦;实际上它还是一个可以善加利用的可爱的性质(图2)。在太空中的微重力环境下,液体的表面张力让液体管理成为一项令人头疼的事情。


带tension的另一个物理学词汇是电学里的electrical tension,又称 voltage 或electromotive force(电动势),是两点之间的电势差,单位为伏特(Volt)

   

图2:水的表面张力(75.6mJ/m2)足以托起一根曲别针(左图,Robert Anderson的摄影作品)。许多生物,如水黾,就是靠水的表面张力而从容地浮在水面上的(右图)。


Stress


Stress,汉译应力,实际上和pressure有同样的量纲, 描述的是物质内部的一种因为拉伸(同tension 关联)或压缩(同pressure关联)所造成的紧张状态。从描述物质内部状态这一点来说,tension 和stress虽然量纲不同,但在物理图像上更接近一些。按照定义, ,可见应力一般是一个 3×3 的张量,量纲为能量的体密度。造成stress的原因有体系的拉伸或压缩,相应地字面上就有tensile stress (张应力)和 compressive stress (压应力)的说法,这三个词就是这样纠缠不清。从物理上说,应力和压力也是关联的,在静水压(hydrostatic compression)时,  ,其中是应力张量 (stress tensor),P是静压力,是Kronecker符号。[4]


材料体系能经受多大的拉伸应力是材料性能的重要指标。拉伸一个材料,在初始时随着形变的增加,材料体系内的应力也线性地增加,此时材料处于弹性形变范围。撤除拉力后,材料能回复原状。形变超过某个临界值时,材料进入塑性形变范围,此时内部应力先是增加变缓,而后甚至随形变的增加而减小,最终材料会断裂(图3)。形变转入塑性形变时对应的应力就是tensile yield stress(屈服拉伸应力)。当我们用stress 描述人的内在状态时(焦虑度?),也应该引入yield stress 这个概念。人体在接近这个屈服压力前应该及时休整。所谓的“他集万千宠爱于一身,也集万钧压力于一身,但,他从不令宠爱他的人失望,他总是令附着于他的压力失重。” 的说法,有点太过文学了些!

 

图3、典型材料的拉伸形变同应力之间的关系。此图明确表明应力是应变的函数, 是由形变引起的。


应力是关于体系内在状态的描述,是个结果性的东西,但在许多场合被误认为是原因性(causal)的。比如,薄膜生长遇到的一个关键问题是衬底同薄膜之间的晶格匹配问题。薄膜中的第一层原子同衬底材料中的原子相结合,界面附近薄膜中的原子之间的键长同自由薄膜材料中的键长会有出入,则在界面处有应力积聚发生。若应力较大时,薄膜会破裂(blistering)、发生相变以消除应力。这个过程在许多文献中被描述为是由应力诱导的。实际上,应力是原子构型的函数, 它不过是沉积原子随着其数目的增加(或者还有其它参数如温度的改变)而调整其最小能量构型时的(伴随)表现而已。


应力水平过高(overstressed) 的体系会失稳,过渡到一个应力非均匀的但总形变能最小化的状态。龟裂的大地,人脸上的皱纹[5],甚至花叶序,可能都是寻求弹性形变能最小的结果。既然应力水平过高的体系会失稳,导致自组装花样的出现,它就可以用来制备各种有序花样。应力工程目前在此方向上取得了许多傲人的成绩,被誉为是微纳米制作的第三条途径。不过,stress 不像电场或磁场那样可以作为外部条件随意添加。欲在一个体系内引入给定分布的应力场,说着简单,要想实现却是非常困难的。但是利用热效应,是有可能在体系内,尤其是在微观体系内,产生一个均匀的应力场的。自2004年以来,李超荣教授和笔者合作,在Ag内核/SiO2壳层微结构上通过冷却在壳层内引入过量的应力,在球面的结构上观察到了三角铺排的应力点阵,在锥面的结构上观察到了左手性和右手性的7组菲波纳契螺旋状的应力点阵(图4)[6-8]New Scientists 杂志欢呼这是人类第一次在微观层次上制备出菲波纳契螺旋。这些结果为验证花叶序作为最小弹性能构型的力学原理提供了坚实的实验依据。此后,基于对此原理的理解,我们同其他合作者一道,通过模拟计算证实,大自然中的多种瓜果的外观花样是应力屈曲模式在由形状因子、果皮厚度和应力过载构成的参数空间中不同域(domain)上的表现 (图5)

     

图4. 在Ag内核/SiO2 壳层微结构上实现的应力点阵,左为三角铺排点阵,右为 5×8 和 13×21 的菲波纳契螺旋花样 (原图见Ref.[6])

 

图5、 自然瓜果的外观同应力屈曲模型计算结果的比较(参阅Ref.[9]


虽然,pressure, tension stress 之间有关联,意义上也比较含混,但大致说来,我们用pressure来表示体系对外界或者外界对体系的作用,在界面上;tensionstress 可用来指体系内部所处的一种紧绷着的状态。在一封投稿信中,笔者曾写道:成长就意味着在环境中产生应力,对同侪来说就是压力。因此应力管理策略是有必要的Growth……implies stress in the surroundings and pressure upon the congeners; therefore a stress management strategy is necessitated这一点,对社会、对个人都是非常重要的。Pressuretension, stress 同我们人作为一个开放的热力学体系息息相关。物理的、社会的、精神上的压力,我们时刻都会感受到。理解了压力本身就是存在状态的一个必要的物理量,学会调适我们所感受的压力以及我们个人生理以及精神上能承受的压力水平(这里,不区分pressure, tension stress), 是人生的必修课;要力争做到感受压力、善用压力而不被压力击垮。实际上,接受生活充满张力的现实是一个人成熟的标志Maturity is achieved when a person accepts life as full of tension.  ~Joshua L. Liebman许多时候,人们所感叹的压力是自己强加的,这个时候就要学会从思想上解除自己的压力源。针对某些艺术家用压力大来为自己的某些不恰当行为开脱的做法,葛优先生说:不就是演员吗,拍个电影玩,能有什么压力?如果大家都能有这份洒脱,从心里卸下包袱,不太拿自己当回事,生活中就会少一些 pressure, tension stress从而会让人生更美好些吧?


参考文献

[1] Frank Wilczek, Fantastic Realities, World Scientific 2006.

[2]  Z. X. Cao, J. Phys.:Cond.Mater. 13, 7923-7935 (2001). 

[3] 曹则贤,扩散偏析费思量,《物理》,37卷2期,128-130(2008).

[4] L. D. Landau, E. M. Lifshitz, Theory of Elasticity, 3th edition, Butterworth Heinemann, 1981.

[5] 曹则贤,皱纹之美与尊严,PPT (2008).

[6] C. R. Li, X. N. Zhang, and Z.X.Cao,  Triangular and Fibonacci number patterns driven by stress on core/shell microstructures, Science 309, 909-911(2005).

[7] C. R. Li, A. L. Ji , and Z. X. Cao,  Stressed Fibonacci spiral patterns of definite Chirality, Appl. Phys. Lett. 90,164102 (2007).

[8] C. R. Li ,W. J. Dong, Gao Lei, Z. X. Cao,  Stressed triangular lattices on microsized spherical surfaces and their defect management,  APL 93, 034108 (2008).

[9] Jie Yin, Zexian Cao, Chaorong Li, Izhak Sceinman, and Xi Chen, Stress-Driven Buckling patterns in spheroidal core/shell structures, PNAS 105, 19132-19135 ( 2008).



来源:返朴

编辑:重光


近期热门文章Top10

↓ 点击标题即可查看 ↓

1. 掉入地下一万米

2. 从前有个学生熬夜迟到了,错把困扰数学家的难题当作业做了出来

3. 原子弹制造指南

4. 吸猫一时爽,一直吸猫一直爽

5. 为什么长时间不洗头,洗的时候搓不出很多泡沫?| No.145

6. 一个大活人,还能让尿活活憋死???

7. 所以,WiFi 和 4G 到底哪个更耗电?

8. 传纸条被发现,一看竟写着...

9. 铅笔上面那块废柴橡皮为什么容易把纸擦破?

10. 一幅图读懂量子力学(薛定谔的猫)

点此查看以往全部热门文章


登录查看更多
0

相关内容

物理学(Physics)是一门形式科学,主要研究的是时空中的物质及其运动的模型,包括能量和作用力等所有相关概念。更广义地说,物理学探索分析大自然所发生的现象,目的是要了解其规则。 话题图片由 张明明 知友制作。
【硬核课】统计学习理论,321页ppt
专知会员服务
140+阅读 · 2020年6月30日
【中国人民大学】机器学习的隐私保护研究综述
专知会员服务
133+阅读 · 2020年3月25日
专知会员服务
29+阅读 · 2020年3月6日
新时期我国信息技术产业的发展
专知会员服务
71+阅读 · 2020年1月18日
物理学家终于找到了一种拯救薛定谔猫的方法
中科院物理所
8+阅读 · 2019年6月10日
10000个科学难题 • 制造科学卷
科学出版社
13+阅读 · 2018年11月29日
丘成桐:攻克物理难题的数学大师
科技导报
5+阅读 · 2018年7月23日
一杯咖啡背后的拓扑 | 顾险峰
中国物理学会期刊网
7+阅读 · 2018年2月2日
关于医学影像背后的科学,你都知道多少?
中科院物理所
3+阅读 · 2017年12月14日
Arxiv
10+阅读 · 2020年2月15日
Phase-aware Speech Enhancement with Deep Complex U-Net
Arxiv
19+阅读 · 2018年6月27日
Arxiv
3+阅读 · 2018年3月29日
Arxiv
3+阅读 · 2018年2月20日
Arxiv
9+阅读 · 2018年1月4日
VIP会员
相关资讯
物理学家终于找到了一种拯救薛定谔猫的方法
中科院物理所
8+阅读 · 2019年6月10日
10000个科学难题 • 制造科学卷
科学出版社
13+阅读 · 2018年11月29日
丘成桐:攻克物理难题的数学大师
科技导报
5+阅读 · 2018年7月23日
一杯咖啡背后的拓扑 | 顾险峰
中国物理学会期刊网
7+阅读 · 2018年2月2日
关于医学影像背后的科学,你都知道多少?
中科院物理所
3+阅读 · 2017年12月14日
相关论文
Arxiv
10+阅读 · 2020年2月15日
Phase-aware Speech Enhancement with Deep Complex U-Net
Arxiv
19+阅读 · 2018年6月27日
Arxiv
3+阅读 · 2018年3月29日
Arxiv
3+阅读 · 2018年2月20日
Arxiv
9+阅读 · 2018年1月4日
Top
微信扫码咨询专知VIP会员