算法基础8:平衡树之红黑树

2018 年 3 月 26 日 大数据和云计算技术 蓝随

算法是基础,小蓝同学准备些总结一系列算法分享给大家,这是第8篇《平衡查找树概述》,非常赞!希望对大家有帮助,大家会喜欢!

前面系列文章:   

归并排序

#算法基础#选择和插入排序

由快速排序到分治思想    

算法基础:优先队列

二分查找

二叉树查找

平衡查找树概述

我们在上一节写了平衡树的一些理念和具体的实现名(算法基础7:平衡查找树概述),为了解决其查找成本较高的这个问题,我们采取了扩大节点来减少层级的方式来达到这个目标。根据这个理念,我们找到了平衡查找树树。


一、 下面我们来一起聊一聊平衡树的具体实现红黑树。红黑树需要满足的五条性质:
性质一:节点是红色或者是黑色;注(红色节点可以理解成一种过渡节点,实现平衡树)
在树里面的节点不是红色的就是黑色的,没有其他颜色,要不怎么叫红黑树呢,是吧。 


性质二:根节点是黑色;
根节点总是黑色的。它不能为红。 


性质三:每个叶节点(NIL或空节点)是黑色;
这个可能有点理解困难,可以看图:

这个图片就是一个红黑树,NIL节点是个空节点,并且是黑色的。 


性质四:每个红色节点的两个子节点都是黑色的(也就是说不存在两个连续的红色节点);
就是连续的两个节点不能是连续的红色,连续的两个节点的意思就是父节点与子节点不能是连续的红色。


性质五:从任一节点到其没个叶节点的所有路径都包含相同数目的黑色节点;**

还是看图:

我们所有的红黑树都满足这5个特性,也是由于有着5个特性 所有他的时间复杂度才可以保持在对数范围。

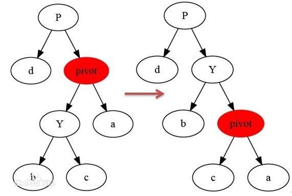
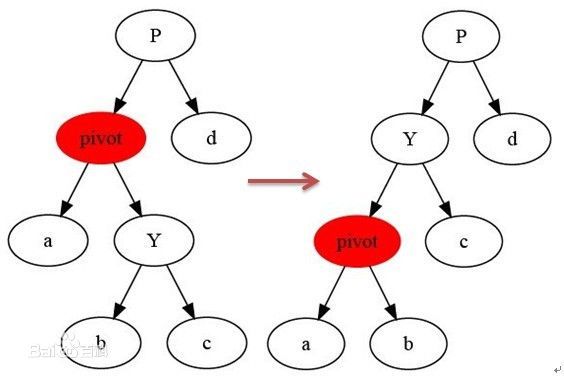
下面我们介绍下旋转:旋转的目的是将节点多的一支出让节点给另一个节点少的一支,旋转操作在插入和删除操作中经常会用到,所以要熟记。

 

二、结点插入


将一个节点插入到红黑树中,需要执行哪些步骤呢?首先,将红黑树当作一颗二叉查找树,将节点插入;然后,将节点着色为红色;最后,通过旋转和重新着色等方法来修正该树,使之重新成为一颗红黑树。

1.将插入的节点着色为红色,不会违背"特性(5)"!少违背一条特性,就意味着我们需要处理的情况越少。接下来,就要努力的让这棵树满足其它性质即可;满足了的话,它就又是一颗红黑树了

 2.对于"特性4",是有可能违背的!

总之:新插入的结点是红色!

3.插入的5种情况:

 1)如果插入的是根结点,由于原树是空树,此情况只会违反性质2,因此直接把此结点涂为黑色;

 2 如果插入的结点的父结点是黑色,由于此不会违反性质2和性质4,红黑树没有被破坏,所以此时什么也不做。

 3 如果当前结点的父结点是红色且祖父结点的另一个子结点(叔叔结点)是红色;

       解决: 将当前节点的父节点和叔叔节点涂黑,祖父结点涂红,把当前结点指向祖父节点,从新的当前节点重新开始算法。

以下(4)(5)都以左孩子为例,右孩子进行对称操作即可

  4)当前节点的父节点是红色,叔叔节点是黑色,当前节点是其父节点的左孩子;

      解决: 父节点变为黑色,祖父节点变为红色,在祖父节点为支点右旋。

 

5)当前节点的父节点是红色,叔叔节点是黑色,当前节点是其父节点的右子;

解决:当前节点的父节点做为新的当前节点,以新当前节点为支点左旋。问题转为(4

总结:整个过程就是解决以上几个问题,关键是整个过程要更新当前节点是哪个结点

三、应用场景

1.著名的linux进程调度Completely Fair Scheduler,用红黑树管理进程控制块

2.epoll在内核中的实现,用红黑树管理事件块

3.nginx中,用红黑树管理timer

4.JavaTreeMap实现

5.广泛用在C++STL中。mapset都是用红黑树实现的。


猜你喜欢




#大数据和云计算机技术社区#博客精选(2017)

猜一猜全球未来5朵云会是谁?

NoSQL 还是 SQL ?这一篇讲清楚

阿里的OceanBase解密

#大数据和云计算技术#: "四有"社区介绍

大数据和云计算技术周报(第29期)

新数仓系列:Hbase周边生态梳理(1)

《大数据架构详解》第2次修订说明

云观察系列:漫谈运营商公有云发展史

云观察系列:百度云的一波三折

云观察系列:阿里云战略观察

超融合方案分析系列(7)思科超融合方案分析

加入技术讨论群




《大数据和云计算技术》社区群人数已经3000+,欢迎大家加下面助手微信,拉大家进群,自由交流。

喜欢钉钉扫码下面的群:

喜欢QQ群的,可以扫描下面二维码:

欢迎大家通过二维码打赏支持技术社区(英雄请留名,社区感谢您,打赏次数超过108+):







登录查看更多
0

相关内容

在数学和计算机科学之中,算法(Algorithm)为一个计算的具体步骤,常用于计算、数据处理和自动推理。精确而言,算法是一个表示为有限长列表的有效方法。算法应包含清晰定义的指令用于计算函数。 来自维基百科: 算法
专知会员服务
43+阅读 · 2020年7月7日
《代码整洁之道》:5大基本要点
专知会员服务
50+阅读 · 2020年3月3日
【新书】Python编程基础,669页pdf
专知会员服务
197+阅读 · 2019年10月10日
目标跟踪算法分类
大数据技术
13+阅读 · 2018年9月17日
K近邻算法入门
论智
5+阅读 · 2018年3月18日
机器学习面试题精讲(一)
七月在线实验室
4+阅读 · 2018年1月11日
动手写机器学习算法:K-Means聚类算法
七月在线实验室
5+阅读 · 2017年12月6日
贝叶斯网络入门
论智
15+阅读 · 2017年11月19日
ML笔记 | 零基础学懂机器学习(六)
七月在线实验室
5+阅读 · 2017年11月2日
机器学习(16)之支持向量机原理(二)软间隔最大化
机器学习算法与Python学习
6+阅读 · 2017年9月8日
机器学习(15)之支持向量机原理(一)线性支持向量机
机器学习算法与Python学习
6+阅读 · 2017年9月1日
干货 | 机器学习算法大总结(ML岗面试常考)
机器学习算法与Python学习
6+阅读 · 2017年8月1日
Arxiv
4+阅读 · 2020年3月27日
Arxiv
6+阅读 · 2020年2月15日
Deep Learning for Energy Markets
Arxiv
10+阅读 · 2019年4月10日
Arxiv
9+阅读 · 2018年5月24日
Arxiv
7+阅读 · 2018年1月10日
VIP会员
相关资讯
目标跟踪算法分类
大数据技术
13+阅读 · 2018年9月17日
K近邻算法入门
论智
5+阅读 · 2018年3月18日
机器学习面试题精讲(一)
七月在线实验室
4+阅读 · 2018年1月11日
动手写机器学习算法:K-Means聚类算法
七月在线实验室
5+阅读 · 2017年12月6日
贝叶斯网络入门
论智
15+阅读 · 2017年11月19日
ML笔记 | 零基础学懂机器学习(六)
七月在线实验室
5+阅读 · 2017年11月2日
机器学习(16)之支持向量机原理(二)软间隔最大化
机器学习算法与Python学习
6+阅读 · 2017年9月8日
机器学习(15)之支持向量机原理(一)线性支持向量机
机器学习算法与Python学习
6+阅读 · 2017年9月1日
干货 | 机器学习算法大总结(ML岗面试常考)
机器学习算法与Python学习
6+阅读 · 2017年8月1日
相关论文
Top
微信扫码咨询专知VIP会员