腾讯出品:自循环半监督算法性能逼近监督学习!

2020 年 10 月 31 日 AI科技评论

本期分享MICCAI2020的一篇关于医学图像分割的半监督学习文章
《Self-Loop Uncertainty: A Novel Pseudo-Label for Semi-supervised Medical Image Segmentation 》。
为解决医学数据标注费时费力等问题,腾讯Jarvis实验室提出了一种自循环不确定性半监督医学图像分割方法。通过利用大量的无标签数据进行半监督学习提升分割的准确率,其性能逼近监督学习!”
该方法通过设计一种循环优化半监督学习任务网络生成伪标签(pseudo-label),在训练的过程中不断提升伪标签的可信度以提升医学图像分割的准确率。
实验在两个开源的数据集上表现出较好的性能。
论文地址: https://arxiv.org/abs/2007.09854

1

问题的挖掘

老生常谈的问题:深度学习需要大量的带标注的数据,但在医学领域,标注数据成本太高且不易于获取。半监督,弱监督或者无监督方法应运而生。
本文作者重点研究半监督方法,罗列了主流的通过无标注数据进行医学图像分割的方法。第一种是基于sofxmax 概率图(softmax probability map)法;第二种是基于蒙特卡洛(MC)dropout法;第三种是通过网络集成的不确定性估计方法。
本文提出了一种自循环不确定性半监督方法,从文章的题目以及后续内容分析,其属于第三种。该方法构造了一个拼图游戏子任务,通过优化一个全卷积网络(FCN)编码器(Encoder)将无标注数据的假标签的真实性逐步提升来达到提升模型性能的目的。
此方法对于网络的益处主要有以下两点:1、自监督学习子任务使得神经网络模型对原始输入数据进行了深度的信息挖掘,这对于后续的分割任务是有利的;2、同一个网络在不同阶段进行训练和优化,可以看做集成学习,但本文提出的方法耗费的计算资源更少。
作者在两个开源的医学数据集上进行了验证,实验结果显示比当前主流的如上文所述的第一二种方法性能提升更好。

2

方法

本文提出的半监督分割方法框架如下图所示。
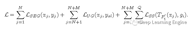
其中,训练集 分别表示标注和无标注数据。本文作者提出的半监督学习框架包含3个损失 。图中彩色的箭头代表着信息的流动, 分别是橙色和蓝绿色。每一个批次的数据包含 ,训练计算监督分割损失 m(本文采用的二分类交叉熵损失函数,优化模型的分割性能),自监督损失(利用标注和无标注数据,提升模型挖掘数据信息的能力,指导模型生成伪标签)以及 损失。
2.1 自监督子任务
如前文所述,自监督损失 是用来丰富模型对原始输入数据信息的挖掘以及生成自循环不确定标签(伪标签)。这种生成伪标签的子任务方法有多种,如预测旋转,图像作色等。本文作者采用的半监督学习方法用到的子任务是图像拼图游戏,包括图像的平移和选择变换。通过该方法对FCN编码器部分进行训练和优化以及生成伪标签。
在这里我们不展开详细介绍拼图游戏作为代理任务的具体实现方法,大家可以自行百度参考《Unsupervised Learning of Visual Representations by Solving Jigsaw Puzzles》这篇文章的博客。
与标准的拼图游戏方法类似(本质上还是把拼图问题转化为分类问题),作者将图像分成3×3合计9个图像块。9个图像块采用随机排列的方式有9!种(9的阶乘362880种组合方式),使用所有的类别进行训练是不现实的。即使可以产生这么多种类别,但是大多数的类别之间是很相似的,有可能只有两个位置的差别,而预测拼图问题很可能面对的一个问题就是,网络没有学习到图像的语义特征,而是只学到了每个patches的相对位置。基于以上的原因,作者在确定排列的时候,会计算不同排列之间的汉明距离,选择有足够大汉明距离的排列,这样就可以保证不同排列有较大的差异,确保网络不会只是记住了它们的相对位置。本文中作者选取的排列组合的子集大小为 ,循环 次。即每次从排列组合(K=100)中随机选取一个作为本次随机组合的方式进行训练。FCN的编码器在此基础上就循环进行更新,因为这个训练方法是从K=100个随机组合中选取一个进行训练,相当于是K分类任务,故loss函数用的就是交叉熵损失函数。
本文用到的拼图方法和原始的方法有两点差异。第一,增加了排列组合的多样性,除了平移变换外,每个图像块都随机旋转一个角度 第二,将拼图游戏任务整合成到端到端自监督框架中,输入的自监督子任务的尺寸要求与分割任务的尺寸一致,即输入和输出长宽一致。 因此,本文没有使用共享权重的神经网络结构(没有再单独设计一个针对于图像块的分类网络),而是将随机排列的图像块拼接成和原始图像输入同等大小的图像(即原始图像裁剪成9块,随机排列组合后,依然还是原始图像的大小,只是相对位置进行了改变)输入进网络进行K分类训练。 算法流程图以及伪代码如下。
算法流程示意图
算法流程伪代码
2.2 无标记数据的自循环不确定性估计
如算法流程伪代码所示,自监督的子任务能够循环地通过神经网格利用无标注数据进行迭代优化。
不同的阶段(即10种不同的图像块随机组合)可以看做是不同的模型进行集成,而在本文中只有一个网络就能达到类似集成学习的效果。这些随机排列组合的图像块输入进FCN模型得到多个(合计10个)分割预测特征图。
因为自监督的损失表达的是模型被随机排列组合数据困扰的程度,因此作者设计了一种利用自监督损失构造的一种置信度S(如伪代码中公式所示)来调整每一个组合图像块对最终分割结果的贡献。
Uncertainty-Guided Loss:
分割预测的结果如图所示,红色代表前景得分高。加权平均的自循环不确定性结果 能够引导模型获从无标注的数据中取更加可靠,更加准确的预测结果。因此我们采用了均方差损失函数来作为生成假标签的损失函数。其中II代表指数函数,H,W分别是图像的高和宽。 是输入图像 的分割预测结果, 是阈值。
2.3 目标函数

3

实验

数据数据分别是MoNuSeg和ISIC数据集。评估标准采用的是未加权的F1-Score。baseline选择的是三个主流的不确定性方法:softmax概率图,蒙特卡洛dropout,不确定性估计集成学习网络。主干网络选用的是ResUnet-18。
3.1 评估生成的假标签的质量
使用MoNuSeg数据集进行假标签生成质量的评估,通过计算预测标签和真实标签的F1-SCORE进行对比,结果如下表所示。其中SL的是每个原始图像采用几种随机排列组合输入模型进行训练,实验分别采用了3,6,10三种数量以及20%和50%两种比例的无标注数据进行对比。可以看出本文提出的SL方法涨点明显,都在2%以上。随着无标注数据的增加,SL数量的影响逐步减小(消融实验结论)。
3.2 分割性能评估
为了验证本文生成假标签的方法性能,与主流的半监督算法模型进行对比分析,采用的数据集是MoNuSeg和ISIC。半监督训练中用到的标注数据的比例分别为20%和50%。对比发现,全部包含监督信息数据进行训练的模型性能还是最佳的,但本文提出的方法已经非常逼近最优结果了!

4

结论

作者提出了一种自监督学习方法,在标注数据受限的情况下,利用大量的无标签数据进行一种自循环不确定性方法生成逐步逼真的假标签以辅助模型进行分割。这种方法能够辅助带标注的数据进行训练,提升模型的分割性能。

5

结语

这是一篇半监督学习在医学图像领域的一次创新。方法上的靓点笔者人为是设计了一种在训练的过程中逐步优化迭代假标签,并且无需单独训练的这种端到端的模式。损失函数的设计也显得较为巧妙,没有像常见的利用sofxmax层输出概率,而是通过损失函数的加权平均。
整体算法流程在伪代码中和流程图都已写得非常清楚,复现应该也不复杂。


[赠书福利]

AI科技评论联合【机械工业出版社华章公司】为大家带来15本“新版蜥蜴书”正版新书。

在10月24号头条文章《1024快乐!最受欢迎的AI好书《蜥蜴书第2版》送给大家!留言区留言,谈一谈你对本书内容相关的看法和期待,或你对机器学习/深度学习的理解。

AI 科技评论将会在留言区选出 15名读者,每人送出《机器学习实战:基于Scikit-Learn、Keras和TensorFlow(原书第2版)》一本(在其他公号已获赠本书者重复参加无效)。

活动规则:

1. 在留言区留言,留言点赞最高的前 15 位读者将获得赠书。获得赠书的读者请联系 AI 科技评论客服(aitechreview)。

2. 留言内容会有筛选,例如“选我上去”等内容将不会被筛选,亦不会中奖。

3. 本活动时间为2020年10月24日 - 2020年10月31日(23:00),活动推送内仅允许中奖一次。


点击阅读原文,直达NeurIPS小组~

登录查看更多
0

相关内容

【AAAI2021】基于双任务一致性的半监督医学图像分割
专知会员服务
31+阅读 · 2021年2月7日
【AAAI2021】基于内容迁移的无监督领域自适应语义分割
专知会员服务
18+阅读 · 2020年12月25日
【NeurIPS 2020】对比学习全局和局部医学图像分割特征
专知会员服务
44+阅读 · 2020年10月20日
【斯坦福大学】矩阵对策的协调方法,89页pdf
专知会员服务
27+阅读 · 2020年9月18日
【Nature论文】深度网络中的梯度下降复杂度控制
专知会员服务
41+阅读 · 2020年3月9日
【Google AI】开源NoisyStudent:自监督图像分类
专知会员服务
55+阅读 · 2020年2月18日
AAAI 2020 | 北大:图卷积中的多阶段自监督学习算法
AI科技评论
8+阅读 · 2020年1月12日
通过时空模型迁移学习的无监督的跨数据集行人重新识别
统计学习与视觉计算组
8+阅读 · 2018年10月23日
CVPR 2018 | 无监督语义分割之全卷积域适应网络
极市平台
8+阅读 · 2018年6月28日
见微知著:语义分割中的弱监督学习
深度学习大讲堂
11+阅读 · 2017年12月6日
Arxiv
13+阅读 · 2020年4月12日
Arxiv
6+阅读 · 2019年9月25日
Arxiv
8+阅读 · 2018年11月21日
Arxiv
7+阅读 · 2018年5月23日
Arxiv
6+阅读 · 2018年2月26日
VIP会员
相关论文
Arxiv
13+阅读 · 2020年4月12日
Arxiv
6+阅读 · 2019年9月25日
Arxiv
8+阅读 · 2018年11月21日
Arxiv
7+阅读 · 2018年5月23日
Arxiv
6+阅读 · 2018年2月26日
Top
微信扫码咨询专知VIP会员