高温超导太赫兹辐射源与检测器

2017 年 9 月 1 日 中国物理学会期刊网 王华兵 等

作者:王华兵 许伟伟 吴培亨 (南京大学超导电子学研究所)


1 引言


随着1986 年高温氧化物超导体的发现,高温超导材料在电子学领域的应用,如高温超导量子干涉仪(High-Tc SQUIDs),高温超导薄膜微波器件以及高温超导高频器件等开始得到了广泛的研究。高温超导材料可以使超导电子器件的工作温度从液氦温区(4 K)提高到液氮温区(77 K),而在高频应用方面,由于高温超导材料的能隙较大,因此高温超导电子器件的工作频率更高。传统超导电子学器件中很大一部分利用了约瑟夫森效应和约瑟夫森结,对于采用高温超导材料的电子器件也是一样, 其中应用比较广泛的有YBa2Cu3O7-δ(YBCO) 晶界约瑟夫森结和Bi2Sr2CaCu2O8+x(BSCCO)本征约瑟夫森结。本文将介绍由YBCO晶界约瑟夫森结构成的高温超导太赫兹检测器和由BSCCO 本征约瑟夫森结构成的高温超导太赫兹辐射源的相关研究进展。


2 高温超导约瑟夫森结


约瑟夫森结由两块超导体中间夹着非常薄的势垒层构成,其势垒层可以是正常金属也可以是绝缘体。超导电流可从约瑟夫森结一侧的超导体无损地流到另一侧的超导体中而不存在电压降,此为直流约瑟夫森效应。其超导电流与结两端的规范不变相位差有关,可表述为Is = Ic∙ sin γ ,此处γ 为规范不变相位差,Ic为约瑟夫森结临界电流,其大小与势垒层的厚度、结的尺寸等因素有关。当约瑟夫森结两端存在电压降时,结两端的规范不变相位差会随时间周期变化,变化的频率与结电压有关,可表述为∂γ/∂t= 2π/Φ0 V ,其中V是结两端的电压, Φ0 是磁通量子。因此跨越结上的超导电流也会周期变化,此为交流约瑟夫森效应。


分析实际应用中的约瑟夫森结时,可用电阻、电容和理想约瑟夫森结并联的电路模型(简称RCSJ 模型)来等效。当约瑟夫森结上存在电流偏置时,满足I = Ic sin γ + V/R + C dV/dt,其中I 为实际器件上的偏置电流,R 为引入损耗的电阻,C为结两端实际存在的电容。方程右端第一项为理想约瑟夫森结上的超导电流,第二项为电阻上的损耗电流,第三项为电容上的位移电流。方程中参数的具体数值由具体约瑟夫森结的结构等因素决定,如高温超导YBCO晶界约瑟夫森结中的电容就可以忽略,这时方程右边的第三项就可以省去。方程在一定外部条件(此处即为总的偏置电流I)下的解,即为约瑟夫森结的状态。


高温超导材料的相干长度相对于传统超导体较短,一般为1 nm 量级,同时高温超导材料的超导电性对环境异常敏感,这些因素导致高温超导材料制备约瑟夫森结相对比较困难。因此,高温超导约瑟夫森结的种类与利用传统超导体人工制备的约瑟夫森结有较大区别。目前高温超导约瑟夫森结主要有晶界约瑟夫森结(grain boundary Josephson junctions,简称GBJs)、本征约瑟夫森结(intrinsic Josephson junctions,简称IJJs)。


基于晶界的高温超导约瑟夫森结有双晶结(bicrystalgrain boundary Josephson junction)、台阶结(step-edge grain boundary Josephson junction)等。双晶结是在双晶衬底上外延生长高温超导薄膜而形成的弱连接结。研究表明,跨越双晶晶界的超导薄膜的临界电流密度jc比无晶界区域的临界电流密度jc 低2—3 个数量级。双晶结作为较早被研究的一种高温超导约瑟夫森结,相关技术已较为成熟,具有制备工艺简单、噪声低等优点。但由于受到晶界位置的限制,难以利用双晶结实现大规模约瑟夫森结阵列的集成。台阶结则是在单晶衬底材料上制备一个台阶,然后在此衬底上外延生长一层高温超导薄膜,由于台阶斜面处薄膜与衬底平面薄膜的生长取向不同,将在台阶的上下两个拐角处形成两个大角度的晶界,从而形成台阶晶界结。台阶结具有制备工艺简单、成结位置不受限制、易于阵列集成等优点,自从发明之后一度被认为是最有前途的高温超导约瑟夫森结,目前已经有报道称成功制备出20000 个结的台阶结阵列。


德国物理学家Reinhold Kleiner 在1991 年于BSCCO单晶中发现了本征约瑟夫森结。BSCCO单晶的晶体结构如图1(a)所示,其中厚度约0.3 nm的CuO层为超导层,相邻CuO层之间夹着厚度约为1.2 nm的绝缘的SrO 层和BiO 层,因此BSCCO单晶中自然形成了厚度为1.535 nm的超导—绝缘—超导约瑟夫森结。BSCCO单晶可以看成是由本征约瑟夫森结串联而成,厚度为1 μm的BSCCO单晶中含有约651 个串联的本征约瑟夫森结阵。根据单个本征约瑟夫森结的RCSJ 模型,BSCCO单晶中的本征约瑟夫森结阵的等效电路如图1(b)所示。


图1 (a)Bi2Sr2CaCu2O8单晶的晶体结构图;(b)串联的本征约瑟夫森结阵的等效电路


本征约瑟夫森结阵的伏安特性则表现为多个(其个数由结阵的厚度决定)欠阻尼约瑟夫森结的串联。平面尺寸约为4×4 μm2,含有7 个本征约瑟夫森结的结阵在20 K时的伏安特性曲线如图2 所示。图中每一条分支对应了一个本征约瑟夫森结从零电阻态跳变到电压态。当结阵的平面尺寸变大、结数变多时,由等效电路中的损耗电阻引起的热损耗会影响结阵的伏安特性。对于超导太赫兹辐射源这种平面尺寸在百平方微米、结数在1000 个左右的本征约瑟夫森结阵,其焦耳热作用会更加显著,因而超导太赫兹辐射源的伏安特性和图2 中的小尺寸结阵的伏安特性曲线会有较大的区别。


图2 平面尺寸约为4×4 μm2,含有7 个本征约瑟夫森结的结阵在20 K时的伏安特性曲线


3 太赫兹检测器


当被太赫兹波辐照时,约瑟夫森结的伏安特性曲线会产生变化,辐射功率较大时会产生一系列电压恒定的电流台阶(称为Shapiro 台阶)。基于此,高温超导约瑟夫森结检测器可作为直接检测器;另外,利用约瑟夫森结的高度非线性,可实现相干检测。


高温超导YBCO双晶约瑟夫森结太赫兹检测器的结构如图3 所示,YBCO薄膜生长在太赫兹透射率较高的双面抛光的MgO双晶基片上,薄膜的超导临界电流密度为Jc=1.9 MA/cm2,厚度为80—100 nm。双晶晶格取向夹角θGB 为对称的24°,此角度双晶结的特点是超导临界电流Ic 较大、特征电压IcRn 在欧姆量级、高频响应好。在超导薄膜表面则蒸镀有20—100 nm厚的金膜作电极与天线。通过光刻、离子铣等微加工手段在超导薄膜和金膜上制备出微桥和对数周期天线,微桥的尺寸可根据实际研究需求而进行调整,典型宽度为1—3 μm,长度为1—6 μm。


图3 高温超导YBCO双晶约瑟夫森太赫兹检测器


根据测量方式与计算方法的不同,高温超导YBCO双晶约瑟夫森结检测器具有多种不同的太赫兹检测方式:


(1)基于RCSJ 模型的数值仿真检测法。在太赫兹波辐照下,伏安特性曲线上产生一系列Shapiro 台阶,台阶位置和高度分别与太赫兹波的频率和功率相关。利用RCSJ 模型可以对其进行准确的数值仿真计算,从而推算出结上交变电流的频率与幅值,进而推算出太赫兹波的频率与功率。


(2)小功率太赫兹信号快速表征法。当被检测的太赫兹波功率较小时(检测结上的Shapiro 台阶只有一个且很低,临界电流压缩不明显),可以近似认为Shapiro 台阶的高度与检测结上交变电流的幅值成正比,而Shapiro 台阶出现的电压位置与被检测的太赫兹波的频率满足约瑟夫森关系。此时可直接使用台阶高度与位置表征太赫兹波的功率与频率,无需进行复杂的数值运算,这是一种快速表征小功率太赫兹波辐射特性的方法。


(3)希尔伯特变换法。测量YBCO双晶结对太赫兹辐射的电流响应,并对其进行逆希尔伯特变换便可得到太赫兹波的频谱。与方法(2)相比,这实际上是提供了另一种从Shapiro 台阶中提取太赫兹频谱信息的方法,且这种方法运算更加简单直接。


(4)谐波混频检测。前面3 种检测方法都属于直接检测方法,只能检测太赫兹波的频率与功率,而不能检测其相位信息。YBCO双晶结还是一种高性能的太赫兹谐波混频器,可以实现对太赫兹波的相干检测。


4 太赫兹辐射源


自2007 年开始陆续有关于用高温超导BSCCO单晶制备太赫兹辐射源的报道,该种太赫兹辐射源具有辐射功率可观、辐射频段适中(300 GHz—2.4 THz)、辐射频率连续可调等若干独特的太赫兹辐射性质。同时高温超导BSCCO太赫兹辐射源器件工作时,其内部还存在太赫兹驻波、热区等新奇的器件物理现象,如图4 所示,值得深入研究。


图4 利用低温扫描激光显微镜得到的高温超导太赫兹辐射源内部包括太赫兹驻波和热区的成像图


4.1 伏安特性与功率曲线


高温超导BSCCO 太赫兹辐射源的伏安特性曲线与单个本征约瑟夫森结的伏安特性曲线有很大区别。如图5 所示,高温超导太赫兹辐射源具有其独特的器件物理特性。一般将超导太赫兹辐射源的伏安特性划分成3 个区域:零电阻区域,高偏区域以及低偏区域。每个区域的伏安特性对应器件所处的一个特殊电磁状态,其可能存在的辐射特性也不尽相同(零电阻区域不可能存在辐射)。


图5 浴温20 K时,(a)超导太赫兹辐射源的伏安特性曲线以及(b)辐射功率与偏置电流的关系


器件处于如图5(a)中所示的灰色区域(1)时,所有或绝大部分本征约瑟夫森结均处于零电阻状态。接触电阻、少量结跳变至电压态都会导致实际测量时存在非零的器件电压,通常这个电压较小,对于含有600 个结的器件来说,在20 K时这个电压一般不大于0.2 V。在这个区域,不存在太赫兹辐射。


高偏区域则如图5(a)中的黄色区域(2)所示。器件处于该区域时所有的本征约瑟夫森结都处于电压态,且随着偏置电流增大,器件电压逐渐减小。同时器件上的温度分布极端不均匀,局部最高温度可高于BSCCO 单晶的临界转变温度。当器件的几何谐振腔振荡模式的频率与约瑟夫森频率一致时,就可能产生太赫兹辐射。图中所示的辐射源器件在高偏具有辐射,出现的偏置范围为10—25 mA。


低偏区域如图5(a)中蓝色区域(3)所示。在该区域,所有或大部分约瑟夫森结处于电压态。当器件上偏置电流减小时,电压也逐渐减小且部分结跳变到零电阻态。器件的温度分布比较均匀,不存在热区,且最高温度也不会超过临界转变温度。该区域的辐射状况同样取决于是否满足辐射条件。图中的辐射源存在低偏辐射,出现辐射的偏置范围为1.6—3.0 mA。


理论上,高温超导太赫兹辐射源中所有约瑟夫森结的相位都一致时,器件的辐射功率与器件中结个数的平方成正比。但是由于影响器件锁相的因素有很多,目前各个超导太赫兹辐射源的辐射功率差异性较大。对于器件的辐射频率而言,由约瑟夫森关系可知,其主要决定于器件电压。当结阵中的结都一致时,其辐射频率与器件电压的关系为f = V/NΦ0 ,其中V 为器件电压,N 为器件中本征约瑟夫森结的个数, Φ0为磁通量子。


4.2 热区


在高偏区域,高温超导太赫兹辐射源具有多个比较特殊的器件物理特性,这里以典型的长方体有源区器件为例介绍电流高偏区域的一些物理现象。


首先是存在热区。长方体形有源区的温度分布主要集中在长边(通常定义为x 轴)上,在高和窄边上基本不变,因而一般以x 轴上的温度分布来表征器件的温度分布情况。当偏置电流进入高偏区域时,器件上温度分布出现不均匀。此处可比较图6(a)中偏置点2 和偏置点3,其温度分布如图6(b)所示,偏置点2 的温度分布均匀,而偏置点3 的温度分布明显不均匀,且最高温度接近临界转变温度。一般随着偏置电流增加,热区温度极值将超过Tc ,图中偏置点4 的温度极值已经超过Tc 。随着偏置电流的变化,温度极值出现的坐标可能会连续移动,热区的面积会逐渐扩大。


图6 (a)器件的伏安特性曲线以及(b)不同偏置电流下的温度分布


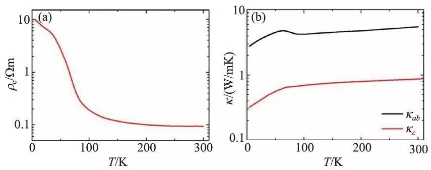
器件热区的形成在理论上主要依赖于BSCCO单晶的电导率、热导率与温度的变化关系,如图7(a)所示。由于BSCCO单晶具有各向异性,因此其热导率分为ab 面的热导率κab与c 方向的热导率κc,如图7(b)所示。除利用实验方法研究热区外, 也可在仿真软件中计算静态热扩散方程∇(-κ ∇T ) =Q 来研究器件的热区,其中Q 为器件中偏置电流引起的焦耳热,κ为BSCCO单晶的热导率。


图7 (a)BSCCO 单晶c 方向的电阻率与温度的关系;(b)ab 面、c方向的热导率与温度的关系


某些情况下,随着偏置电流的连续变化,热区的变化并不连续,对应在伏安特性曲线上则是电压跳变,而在低温扫描激光显微镜的二维成像上则是热区位置跳变。这一物理现象与给定外界条件下一个物理系统存在多个稳态有关。图8 所示的仿真结果中,在5.5 mA至12 mA之间的偏置电流区域,同一偏置电流就存在两个稳定的电压态。


图8 仿真得到的双稳态特性


高偏区域的太赫兹辐射特性则由于上述的温度分布而更值得讨论。图9 所示的超导集成接收机(Superconducting Integrated Receiver, SIR) 测得超导太赫兹辐射源辐射线宽的结果显示,高偏区域的辐射线宽非常窄,而低偏区域的线宽较宽。所测量的超导太赫兹辐射源在高偏和低偏都有辐射,如图9(a),(b)和(c)所示。图9(d)和(e)为使用傅里叶变换干涉仪测得的高、低偏的辐射源线宽,由于受干涉仪分辨率限制,无法区分这两者的线宽差异。图9(f)和(g)则为SIR 测得的线宽结果,从中可以清楚地看到两者的区别,高偏最窄的线宽约只有20 MHz,而低偏一般大于6 GHz。


图9 高、低偏不同的辐射线宽


4.3 电磁驻波


对于半导体激光器、量子级联激光器等而言,产生激光的一个重要前提条件是存在谐振腔,且辐射激光的波长刚好满足谐振条件。在高温超导太赫兹辐射源的研究过程中,理论上也详细地分析了几何谐振对辐射的影响。在实验上,我们研究团队利用低温扫描激光显微镜对高温超导BSCCO 太赫兹辐射源进行了研究,在器件中发现了对应于谐振的电磁驻波。如图10 所示为低偏的驻波,在40×300 μm2的长方体有源区器件中,在偏置点B 和C上发现了沿着长边分布的电磁驻波,而在偏置点A 上则不存在这种驻波。该电磁驻波被认为与太赫兹辐射的产生有关。图4 所示则为高偏区域驻波与热区同时存在时的状态。


图10 低温扫描激光显微镜测得的太赫兹辐射源器件内部的驻波


4.4 热表现


高温超导太赫兹辐射源的辐射频率与器件电压有关,但实际背后本质的影响因素却是器件的冷却与散热性能,这一性能会决定太赫兹辐射源能达到的最高器件电压,从而影响辐射频率。辐射源器件的热表现与器件衬底的材料、BSCCO单晶与衬底之间的接触、BSCCO单晶散热的途径等诸多因素有关。2014 年,我们研究团队在BSCCO 单晶散热途径上取得突破,在gold—BSCCO—gold 结构高温超导太赫兹辐射源器件上叠加了第二块衬底而形成了三明治结构,极大地改善了器件的整体导热性能,如图11 所示。增加另一块衬底意味着增加了一条散热途径,使得相同浴温和电流偏置情况下,BSCCO单晶的温度更低,从而辐射出频率更高的太赫兹波。在此之前,超导太赫兹辐射源的最高频率大约为900 GHz,而采用三明治结构改善器件导热后,辐射频率突破了1 THz。


图11 从gold—BSCCO—gold 结构太赫兹辐射源变为三明治结构太赫兹辐射源示意图


采用三明治结构改善导热后,进一步扩展了器件的工作温度范围,工作温度上限可至77 K以上的液氮温区。基于此,我们研发了一套液氮冷却、具有温度调节功能的便携式小型高温超导太赫兹辐射源装置,如图12 所示。该装置体积不足40 cm3,最大辐射功率1.17 μW,最大可调谐带宽100 GHz。该装置还可用一节1.5 V 干电池和偏置调节模块代替复杂的电流源系统,使其能够像“手电筒”一样便于使用,初步实现了太赫兹源的小型化、实用化和低成本化,为促进高温超导太赫兹技术的实际应用起到了推动作用。


图12 便携式小型高温超导太赫兹辐射源装置示意图及其器件的伏安特性曲线和辐射功率曲线



5 辐射源与检测器


除了分别对高温超导太赫兹检测器和高温超导太赫兹辐射源进行单独研究外,我们还将两者结合在一起,成功地使用YBCO 双晶结太赫兹检测器检测到了BSCCO 太赫兹辐射源的辐射。


测试时的装置如图13 所示,高温超导太赫兹辐射源为gold—BSCCO—gold 结构,安装在超半球硅透镜上,其太赫兹波通过衬底向外空间辐射。YBCO 太赫兹检测结安装在另一个相同的超半球硅透镜上,两个透镜相对位置如图13(a)所示,BSCCO 辐射源辐射出的太赫兹波经透镜汇聚后变成平行光再经透镜聚焦到YBCO双晶结上,该系统最大程度地提高了BSCCO 辐射出的太赫兹波被YBCO 接收的效率。两个超半球透镜的直径均为9 mm,间距为12 mm。整个装置安装在GM制冷机中,实验在电磁屏蔽室内完成。


图13 (a) 高温超导YBCO 太赫兹检测器检测高温超导BSCCO太赫兹辐射源的装置示意图;(b)YBCO 太赫兹检测器对高温超导BSCCO 太赫兹辐射源存在响应时的微分电阻;(c)YBCO太赫兹检测器的伏安特性曲线


在BSCCO 太赫兹辐射源的太赫兹辐射下,YBCO 检测结的伏安特性曲线上最多出现7 个Shapiro 台阶,如图13(b)和(c)所示。根据RCSJ模型计算显示,直接到达YBCO检测结上的太赫兹功率高达82 μW,频率为500 GHz。未来,我们可以利用BSCCO 太赫兹辐射源作为YBCO 混频器的本振源,研制全高温超导的太赫兹集成接收机。以上所述的研究结果,为实现这一目标迈出了重大一步。


6 展望


在本文中,我们介绍了利用高温超导材料在超导电子学方面开展的有关研究工作,特别介绍了YBCO 约瑟夫森检测器和高温超导BSCCO 本征约瑟夫森太赫兹辐射源。虽然多数研究结果在国际同行中处于领先水平,在后续的研究中,我们仍希望进一步提高和优化高温超导BSCCO 太赫兹辐射源的辐射功率和频率等器件参数,以满足各种实际应用场合的需求。比如,研制全高温超导太赫兹集成接收机,进行太赫兹气体波谱研究,实现太赫兹近场成像等应用。


本文选自《物理》2017年第8期



十大热门文章

1. 超导“小时代”之二十一:火箭式的速度

2. 物理学咬文嚼字之八十八:Bubble & Foam

3. 稳态磁场抑制肿瘤细胞生长机制

4.  昌明其德有辉 旋进其业有痕——回顾俞昌旋先生平凡又非凡的一生

5.  量子纠缠:从量子物质态到深度学习

6.  “冷分子制备与操控”专题讲座第二讲:分子束的静电Stark减速、静磁Zeeman减速和光学Stark减速技术

7.  我们的核废料该去哪?

8. 钙钛矿太阳能电池:其实我不含钙,也不含钛

9. “慢滑移”与地震

10. 飞剪帆船、竞速帆船和波形线理论

END


更多精彩文章,请关注微信号:cpsjournals


长按指纹 > 识别图中二维码 > 添加关注


登录查看更多
0

相关内容

专知会员服务
126+阅读 · 2020年6月12日
【人大】图实现算法综述与评测分析
专知会员服务
38+阅读 · 2020年4月28日
专知会员服务
32+阅读 · 2020年4月24日
【材料课堂】TEM复杂电子衍射花样的标定原理
材料科学与工程
39+阅读 · 2019年4月12日
【泡泡读者来稿】VINS 论文推导及代码解析(三)
泡泡机器人SLAM
30+阅读 · 2019年3月16日
【泡泡读者来稿】VINS 论文推导及代码解析(二)
泡泡机器人SLAM
32+阅读 · 2019年3月5日
【泡泡一分钟】点密度适应性点云配准
泡泡机器人SLAM
16+阅读 · 2018年5月28日
PRL导读-2018年120卷15期
中科院物理所
4+阅读 · 2018年4月23日
基于几何特征的激光雷达地面点云分割
泡泡机器人SLAM
15+阅读 · 2018年4月1日
一杯咖啡背后的拓扑 | 顾险峰
中国物理学会期刊网
7+阅读 · 2018年2月2日
如何利用深度学习识别千万张图片?
InfoQ
4+阅读 · 2017年12月30日
Arxiv
4+阅读 · 2019年12月2日
Arxiv
6+阅读 · 2018年3月28日
VIP会员
相关资讯
【材料课堂】TEM复杂电子衍射花样的标定原理
材料科学与工程
39+阅读 · 2019年4月12日
【泡泡读者来稿】VINS 论文推导及代码解析(三)
泡泡机器人SLAM
30+阅读 · 2019年3月16日
【泡泡读者来稿】VINS 论文推导及代码解析(二)
泡泡机器人SLAM
32+阅读 · 2019年3月5日
【泡泡一分钟】点密度适应性点云配准
泡泡机器人SLAM
16+阅读 · 2018年5月28日
PRL导读-2018年120卷15期
中科院物理所
4+阅读 · 2018年4月23日
基于几何特征的激光雷达地面点云分割
泡泡机器人SLAM
15+阅读 · 2018年4月1日
一杯咖啡背后的拓扑 | 顾险峰
中国物理学会期刊网
7+阅读 · 2018年2月2日
如何利用深度学习识别千万张图片?
InfoQ
4+阅读 · 2017年12月30日
Top
微信扫码咨询专知VIP会员