综述:NLP中的深度学习优势,附21页论文下载

2020 年 3 月 12 日 专知

【简介】自然语言处理(NLP)能够帮助智能型机器更好地理解人类的语言,实现基于语言的人机交流。目前随着计算能力的发展和大量语言数据的出现,推动了使用数据驱动方法自动进行语义分析的需求。由于深度学习方法在计算机视觉、自动语音识别,特别是NLP等领域取得了显著的进步,数据驱动策略的应用已经非常的普遍。本综述对NLP领域中所应用的深度学习进行了分类和讨论。它涵盖了NLP的核心任务和应用领域,并对深度学习方法如何推进这些领域的发展进行了细致的描述。最后我们进一步分析和比较了不同的方法和目前最先进的模型。


原文连接:

https://arxiv.org/abs/2003.01200

介绍

自然语言处理(NLP)是计算机科学的一个分支,能够为自然语言和计算机之间提高沟通的桥梁。它帮助机器理解、处理和分析人类语言。NLP通过深入地理解数据的上下文,使得数据变得更有意义,这反过来又促进了文本分析和数据挖掘。NLP通过人类的通信结构和通信模式来实现这一点。这篇综述涵盖了深度学习在NLP领域中所扮演的新角色以及各种应用。我们的研究主要集中在架构上,很少讨论具体的应用程序。另一方面,本文描述了将深度学习应用于NLP问题中时所面临的挑战、机遇以及效果评估方式。

章节目录

section 2: 在理论层面介绍了NLP和人工智能,并将深度学习视为解决现实问题的一种方法。

section 3:讨论理解NLP所必需的基本概念,包括各种表示法、模型框架和机器学习中的示例性问题。

section 4:总结了应用在NLP领域中的基准数据集。

section 5:重点介绍一些已经被证明在NLP任务中有显著效果的深度学习方法。

section 6:进行总结,同时解决了一些开放的问题和有希望改善的领域。

背景知识介绍

长期以来,NLP一直被视为人工智能(AI)的一个重要领域,因为理解和生成自然语言是机器是否达到高级智能的重要指标。深度学习是一种有效的人工智能工具,因此我们接下来将介绍如何把深度学习运用在人工智能世界中。在此之后,我们解释在NLP中应用深度学习的动机。

NLP中的核心概念

本章节主要从特征表示,seq2seq框架和NLP中的强化学习这三个方面来介绍与NLP相关的概念,其中特征表示有四种不同的类型:1)One-Hot 特征表示,2)连续词袋特征表示,3)词向量特征表示,4)字符级别的嵌入表示。

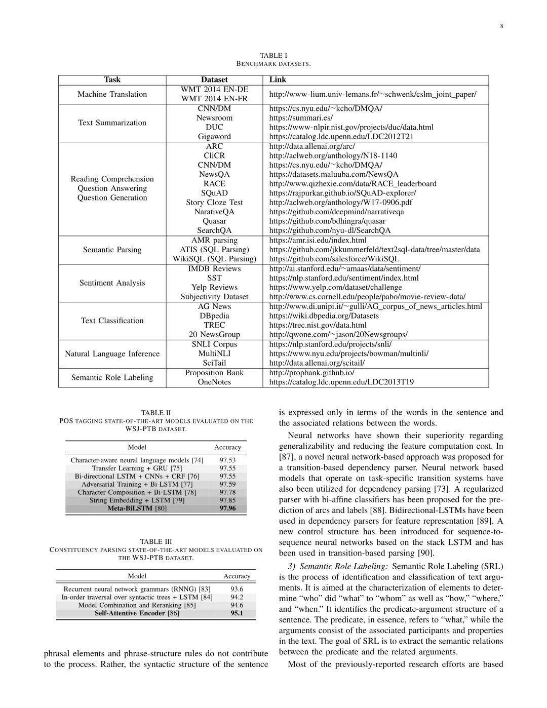
数据集


将深度学习用于NLP任务

这一章节主要描述深度学习在NLP中的各种应用。下表展示了具有代表性的NLP任务。

部分论文展示:

专知便捷查看

便捷下载,请关注专知公众号(点击上方蓝色专知关注)

  • 后台回复“NLPADS” 就可以获取Natural Language Processing Advancements By Deep Learning: A Survey》论文专知下载链接


专知,专业可信的人工智能知识分发,让认知协作更快更好!欢迎注册登录专知www.zhuanzhi.ai,获取5000+AI主题干货知识资料!
欢迎微信扫一扫加入专知人工智能知识星球群,获取最新AI专业干货知识教程资料和与专家交流咨询

点击“阅读原文”,了解使用专知,查看获取5000+AI主题知识资源

登录查看更多
0

相关内容

NLP:自然语言处理
元学习(meta learning) 最新进展综述论文
专知会员服务
281+阅读 · 2020年5月8日
【综述】交通流量预测,附15页论文下载
专知会员服务
132+阅读 · 2020年4月23日
专知会员服务
201+阅读 · 2020年3月6日
【综述】金融领域中的深度学习,附52页论文下载
专知会员服务
165+阅读 · 2020年2月27日
机器翻译深度学习最新综述
专知会员服务
99+阅读 · 2020年2月20日
【综述】自动驾驶领域中的强化学习,附18页论文下载
专知会员服务
176+阅读 · 2020年2月8日
2019->2020必看的十篇「深度学习领域综述」论文
专知会员服务
275+阅读 · 2020年1月1日
深度学习自然语言处理综述,266篇参考文献
专知会员服务
231+阅读 · 2019年10月12日
[综述]基于深度学习的开放领域对话系统研究综述
专知会员服务
80+阅读 · 2019年10月12日
2019->2020必看的十篇「深度学习领域综述」论文
极市平台
23+阅读 · 2020年1月2日
【NLP】万字长文概述NLP中的深度学习技术
产业智能官
18+阅读 · 2019年7月7日
基于深度学习的NLP 32页最新进展综述,190篇参考文献
人工智能学家
28+阅读 · 2018年12月4日
深度学习综述(下载PDF版)
机器学习算法与Python学习
28+阅读 · 2018年7月3日
从0到1,这篇深度学习综述送给你!
机器学习算法与Python学习
27+阅读 · 2018年6月13日
2017深度学习NLP进展与趋势
云栖社区
7+阅读 · 2017年12月17日
最全面的百度NLP自然语言处理技术解析
InfoQ
7+阅读 · 2017年11月12日
Arxiv
13+阅读 · 2019年1月26日
Arxiv
18+阅读 · 2019年1月16日
Image Captioning based on Deep Reinforcement Learning
Deep Learning for Generic Object Detection: A Survey
Arxiv
14+阅读 · 2018年9月6日
Arxiv
22+阅读 · 2018年8月30日
Arxiv
5+阅读 · 2018年6月4日
VIP会员
相关VIP内容
元学习(meta learning) 最新进展综述论文
专知会员服务
281+阅读 · 2020年5月8日
【综述】交通流量预测,附15页论文下载
专知会员服务
132+阅读 · 2020年4月23日
专知会员服务
201+阅读 · 2020年3月6日
【综述】金融领域中的深度学习,附52页论文下载
专知会员服务
165+阅读 · 2020年2月27日
机器翻译深度学习最新综述
专知会员服务
99+阅读 · 2020年2月20日
【综述】自动驾驶领域中的强化学习,附18页论文下载
专知会员服务
176+阅读 · 2020年2月8日
2019->2020必看的十篇「深度学习领域综述」论文
专知会员服务
275+阅读 · 2020年1月1日
深度学习自然语言处理综述,266篇参考文献
专知会员服务
231+阅读 · 2019年10月12日
[综述]基于深度学习的开放领域对话系统研究综述
专知会员服务
80+阅读 · 2019年10月12日
相关资讯
2019->2020必看的十篇「深度学习领域综述」论文
极市平台
23+阅读 · 2020年1月2日
【NLP】万字长文概述NLP中的深度学习技术
产业智能官
18+阅读 · 2019年7月7日
基于深度学习的NLP 32页最新进展综述,190篇参考文献
人工智能学家
28+阅读 · 2018年12月4日
深度学习综述(下载PDF版)
机器学习算法与Python学习
28+阅读 · 2018年7月3日
从0到1,这篇深度学习综述送给你!
机器学习算法与Python学习
27+阅读 · 2018年6月13日
2017深度学习NLP进展与趋势
云栖社区
7+阅读 · 2017年12月17日
最全面的百度NLP自然语言处理技术解析
InfoQ
7+阅读 · 2017年11月12日
相关论文
Top
微信扫码咨询专知VIP会员