吴恩达深度学习课最新补充教程:交互式demo助你轻松理解神经网络初始化

2019 年 5 月 27 日 机器之心

选自deeplearning.ai

机器之心编译

参与:路、思源

初始化对深度神经网络的收敛有重要影响。优秀的初始化模式可以加速训练,但是需要小心操作以避免常见的陷阱。deeplearning.ai 最新上线了 AI Notes 栏目,以长文的形式作为《深度学习专项课程》的补充。其具备交互式的 demo,有助于读者轻松掌握深度学习基础概念。AI Notes 的第一篇教程就是「初始化神经网络」。

这篇教程共包括四部分:有效初始化的重要性、梯度爆炸或消失问题、什么是恰当的初始化,以及 Xavier 初始化的数学证明。


1. 有效初始化的重要性


要想构建一个机器学习算法,通常你需要定义一个架构(如 Logistic 回归、支持向量机、神经网络),然后训练它学习参数。以下是训练神经网络的常见过程:


  1. 初始化参数

  2. 选择优化算法

  3. 重复以下步骤:

  1. 将输入向前传播

  2. 计算成本函数

  3. 使用反向传播传递成本对参数的梯度

  4. 根据优化算法,基于梯度更新每个参数


之后,给出一个新的数据点,你就可以使用该模型预测其类别了。


初始化步骤对模型的最终性能至关重要,它需要正确的方法。下面给出了一个交互式 demo,你可以尝试使用不同的方法初始化网络,观察不同的初始化对网络学习的影响。


在此 demo 中,可以任意选择输入数据集、选择初始化方法,并实时查看训练效果。


你注意到当初始化方法为 zero 时,梯度和权重的变化吗?



用零初始化所有权重,会使得神经元在训练过程中学习同样的特征。


事实上,任意常数初始化方法性能都不好。例如一个具备两个隐藏单元的神经网络,假设我们将所有偏置初始化为 0,将所有权重初始化为常量 α。如果我们在网络中前向传播输入 (x_1,x_2),则两个隐藏单元的输出均为 relu(α x_1+α x_2)。因此,两个神经元在训练过程中的演化是对称的,也就阻止了不同的神经元学习不同的特征。


当使用太小或太大的值初始化权重时,成本函数曲线有什么变化呢?


尽管打破了对称性,但使用太小或太大的值初始化权重会分别导致学习缓慢或发散。


因此,选择恰当的初始化值对于高效训练而言是必要的。


2. 梯度爆炸或消失问题


考虑以下这个 9 层神经网络:



在优化的每一次迭代中,我们观察到随着梯度从输出层向输入层传递,反向传播的梯度要么太大要么太小。这一结果是合理的,大家不妨考虑以下例子。


假设所有激活函数都是线性(恒等函数),那么输出激活如下:



其中,L=10,W^[L] 及其它 W 是 2×2 的矩阵,层 [1] 到 [L-1] 都只有两个神经元。如果我们假设 W^[1] 到 W^[L-1] 都等于 W,则输出预测为(其中 W^L-1 是矩阵 W 的 L-1 次方,W^[L] 表示第 L 个矩阵)。


那么当初始化值过小、过大或合适时,结果会如何呢?


案例 1:过大初始化值导致梯度爆炸


考虑当每个权重的初始化值都比恒等矩阵略大的情况。



上式可以简化为a^[l] 的值随着 l 呈指数倍增长。当这些激活值被用于反向传播时,就会导致梯度爆炸问题。即,成本对参数的梯度过大,导致成本值在其极小值周围振荡。


案例 2:过小初始化值导致梯度消失


类似地,考虑每个权重的初始化值略小于恒等矩阵的情况。



上式可简化为激活值 a^[l] 随着 l 呈指数倍下降。当这些激活被用于反向传播时,会导致梯度消失问题。成本关于参数的梯度过小,导致成本在到达极小值之前已经收敛。


总之,用不合适的值进行权重初始化会导致神经网络训练发散或速度缓慢。虽然我们用简单的对称权重矩阵说明梯度爆炸和梯度消失问题,但这一观察也适用于任意过大或过小的初始化值。


3. 如何找到合适的初始化值


为了阻止梯度爆炸或消失,我们需要坚持以下规则:


  • 激活值的均值应为零。

  • 每一层激活值的方差应该保持一致。


在这两个假设下,反向传播的梯度信号就不会在任意层中被过小或过大的值相乘,从而在不出现梯度爆炸或消失等问题。


具体来说,想象一个层 l,其前向传播是:



我们需要遵循下式:



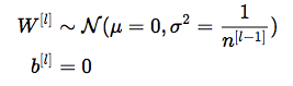
确保零均值,保持每一层的输入方差值不变,从而确保不会出现梯度爆炸和消失问题。该方法适用于前向传播和反向传播。推荐使用 Xavier 初始化方法(或其变体),对于每一个层 l:



也就是说,层 l 的所有权重是从正态分布中随机选取的,该分布的均值 μ=0,方差 其中 n^[l-1] 是层 l-1 中的神经元数量。偏置被初始化为 0。


下面的交互式图展示了 Xavier 初始化对每一层激活的影响,下图展示的是一个五层的全连接神经网络。


在此交互式图中,你可以加载 MNIST 数据集,选择初始化方法,执行训练并观察不同初始化方法的效果。


Xavier 初始化的数学证明


Xavier 初始化保持每一层的方差不变。我们假设每一层的激活值是围绕 0 的正态分布。有时理解数学证明有助于掌握概念,但没有数学也可以理解基础理念。


我们使用第 3 部分介绍的层 l,假设其激活函数为 tanh。其前向传播如下所示:



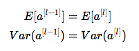
我们目标是推导出 Var(a^[l-1]) 和 Var(a^[l]) 之间的关系。然后我们将理解如何初始化权重,使得 Var(a^[l-1]) = Var(a^[l])。


假设我们使用合适的值初始化网络,且输入是经过归一化的。在训练的早期,我们处于 tanh 的线性模式。值足够小,使 tanh(z^[l]) ≈ z^[l],这意味着:



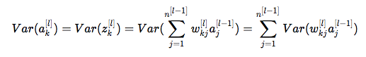
此外,其中。出于简洁性考虑,我们假设 b^[l] = 0。因此,逐元素查看前面的公式 Var(a^[l-1]) = Var(a^[l]) 可以得到:



一个常见的数学 trick 是在方差之外求和。为此,我们必须遵循以下三个假设:


  1. 权重独立,且同分布;

  2. 输入独立,且同分布;

  3. 权重和输入互相独立。


从而得到:



另一个常见的数学 trick 是将积的方差转化为方差的积,公式如下:



使用该公式,以及得到:



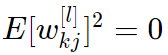
快完成了!第一个假设引出 ,第二个假设引出 ,因为权重是使用零均值进行初始化的,输入是经过归一化的。从而得到:



第一个假设表明:



第二个假设引出:



它们都具备同样的思想:



组合起来,得到:



完成了!如果我们想要各个层的方差保持一致,我们需要。这证明了 Xavier 初始化的方差选择。


注意,在之前的步骤里,我们没有选择特定层 l。因此,我们证明了该公式适用于所有层。假设 L 是输出层。在每一层使用该公式,则我们可以将输出层的方差推导至输入层的方差:



根据我们的权重初始化方式,输出和输入层方差之间的关系将会变化巨大。注意以下三种情况:



因此,为了避免前向传播信号的消失或爆炸,我们必须通过初始化使 n^[l−1]Var(W^[l])=1。


通过以上证明,我们研究了在前向传播过程中计算的激活值。同样的结果也适用于反向传播梯度。同理,为了避免梯度爆炸或消失,我们必须通过初始化使 n^[l]Var(W^[l])=1。


结论


在实践中,机器学习工程师使用 Xavier 初始化时,要么将权重初始化为。后一个分布的方差项是的均值。


以上是 Xavier 初始化的理论证明。Xavier 初始化使用的是 tanh 激活函数。此外还有大量初始化方法。如果你使用 ReLU 激活函数,那么常用的初始化方法是 He 初始化。He 初始化的理论证明要更复杂一些,但它遵循同样的思维过程。


原文链接:http://www.deeplearning.ai/ai-notes/initialization/



本文为机器之心编译,转载请联系本公众号获得授权

✄------------------------------------------------

加入机器之心(全职记者 / 实习生):hr@jiqizhixin.com

投稿或寻求报道:content@jiqizhixin.com

广告 & 商务合作:bd@jiqizhixin.com

登录查看更多
0

相关内容

误差梯度是神经网络训练过程中计算的方向和数量,用于以正确的方向和合适的量更新网络权重。 在深层网络或循环神经网络中,误差梯度可在更新中累积,变成非常大的梯度,然后导致网络权重的大幅更新,并因此使网络变得不稳定。在极端情况下,权重的值变得非常大,以至于溢出,导致NaN值。网络层之间的梯度(值大于 1.0)重复相乘导致的指数级增长会产生梯度爆炸。
一份循环神经网络RNNs简明教程,37页ppt
专知会员服务
173+阅读 · 2020年5月6日
Sklearn 与 TensorFlow 机器学习实用指南,385页pdf
专知会员服务
131+阅读 · 2020年3月15日
麻省理工学院MIT-ICLR2020《神经网络能推断出什么?》
专知会员服务
51+阅读 · 2020年2月19日
深度学习算法与架构回顾
专知会员服务
84+阅读 · 2019年10月20日
吴恩达团队:神经网络如何正确初始化?
AI100
11+阅读 · 2019年5月15日
100行Python代码,轻松搞定神经网络
大数据文摘
4+阅读 · 2019年5月2日
理解神经网络的激活函数
论智
7+阅读 · 2018年1月8日
入门 | 一文了解神经网络中的梯度爆炸
机器之心
8+阅读 · 2017年12月22日
从零开始:教你如何训练神经网络
机器之心
5+阅读 · 2017年12月11日
Arxiv
18+阅读 · 2019年1月16日
The Matrix Calculus You Need For Deep Learning
Arxiv
12+阅读 · 2018年7月2日
Arxiv
8+阅读 · 2018年6月19日
Arxiv
3+阅读 · 2018年3月27日
VIP会员
相关VIP内容
一份循环神经网络RNNs简明教程,37页ppt
专知会员服务
173+阅读 · 2020年5月6日
Sklearn 与 TensorFlow 机器学习实用指南,385页pdf
专知会员服务
131+阅读 · 2020年3月15日
麻省理工学院MIT-ICLR2020《神经网络能推断出什么?》
专知会员服务
51+阅读 · 2020年2月19日
深度学习算法与架构回顾
专知会员服务
84+阅读 · 2019年10月20日
相关资讯
吴恩达团队:神经网络如何正确初始化?
AI100
11+阅读 · 2019年5月15日
100行Python代码,轻松搞定神经网络
大数据文摘
4+阅读 · 2019年5月2日
理解神经网络的激活函数
论智
7+阅读 · 2018年1月8日
入门 | 一文了解神经网络中的梯度爆炸
机器之心
8+阅读 · 2017年12月22日
从零开始:教你如何训练神经网络
机器之心
5+阅读 · 2017年12月11日
Top
微信扫码咨询专知VIP会员