干货|MIT线性代数课程精细笔记2

2017 年 8 月 25 日 算法与数学之美 坤博

干货|MIT线性代数课程精细笔记[第二课]


前言

MIT线性代数课程精细笔记[第一课]笔记见MIT线性代数课程精细笔记1


该笔记是连载笔记,希望对大家有帮助。



1
知识概要



这一节中我们介绍一下消元法,即是上一节中我们提到的“系统化”求解方程所用的方法,通过矩阵消元运算可以很轻松地求解复杂方程。


另外还介绍了消元矩阵即我们的消元运算在矩阵乘法中所表现的形式。并从消元矩阵引入,介绍逆矩阵的基础知识



2
 消元法求解方程 



2.1 消元法介绍


对于一些“好”的系数矩阵(可逆矩阵)A 来说,我们可以使用消元法来求解方程 Ax = b,我们还是从一个例子谈起。



所谓矩阵的消元法,与我们初等数学中学习的解二元一次方程组的消元法其实师出同门,都是通过将不同行的方程进行消元运算来简化方程,最后能得到简化的方程组,只不过这里我们把系数单独抽出来进行运算,寻找一种矩阵情况下的普遍规律而已。





注:


并不是所有的 A 矩阵都可消元处理,需要注意在我们消元过程中,如果主元位置(左上角)为 0,那么意味着这个主元不可取,需要进行 “换行”处理:


首先看它的下一行对应位置是不是 0,如果不是,就将这两行位置互换,将非零数视为主元。如果是,就再看下下行,以此类推。若其下面每一行都看到了,仍然没有非零数的话,那就意味着这个矩阵不可逆,消元法求出的解不唯一。



下面是三个例子:



2.2 回带求解


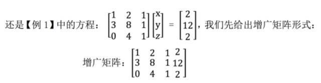
其实回带求解应该和消元法同时进行,只不过本课中以及一些软件工作原理中它们是先后进行的,所以我们这里分开讨论,先介绍增广矩阵:



一下子就看出来了,就是把系数矩阵 A 和向量 b 拼接成一个矩阵就行了。




3
 消元矩阵 


3.1 行向量与矩阵的乘法


上面的消元法是从简单的变换角度介绍了消元的具体操作,接下来我们需要 用矩阵来表示变换的步骤,这也十分有必要,因为这是一种“系统地”变换矩阵的方法。


导致错误。其实学过矩阵之间的乘法之后这些东西都极为简单,但这里还是建议大家尽量从向量的角度去考虑问题。



3.2 消元矩阵介绍 


好的,接下来是重点。学会了行向量与矩阵之间的乘法,我们就可以使用行 向量对矩阵的行做操作了。所谓消元矩阵,就是将消元过程中的行变换转化为矩阵之间的乘法形式。



我们消元过程是将第一行乘 -3 加到第二行,这是对第二行的操作,那么就从单位阵的第二行着手





3.3 行交换矩阵与逆矩阵


3.3.1 行变换与列变换



3.3.2 逆矩阵初探


可以说我们学会了消元矩阵,就相当于我们可以用矩阵乘法对一个矩阵进行任 何变化了,那么我们考虑一个反过程,即我们把一个消元结束的矩阵 U 如何变为 未经消元的矩阵 A 呢?


答案就是乘上一个逆矩阵。



4

 学习感悟


本节从矩阵消元的角度,介绍解方程的通用做法,并介绍了消元矩阵,使我们从矩阵乘法层面理解了消元的过程,并延伸了消元矩阵的应用:就是基于单位阵 I 的变化,对矩阵 A 进行行列变换的过程。


这一节的消元法以后会常用,要熟练掌握才可以。


希望对大家有帮助~



☞  哈尔莫斯:怎样做数学研究

☞  扎克伯格2017年哈佛大学毕业演讲

☞  线性代数在组合数学中的应用

☞  你见过真的菲利普曲线吗?

☞  支持向量机(SVM)的故事是这样子的

☞  深度神经网络中的数学,对你来说会不会太难?

☞  编程需要知道多少数学知识?

☞  陈省身——什么是几何学

☞  模式识别研究的回顾与展望

☞  曲面论

☞  曲面论(第二讲)

☞  曲面论(第三讲)

☞  自然底数e的意义是什么?

☞  如何向5岁小孩解释什么是支持向量机(SVM)?

☞  华裔天才数学家陶哲轩自述

☞  代数,分析,几何与拓扑,现代数学的三大方法论


算法数学之美微信公众号欢迎赐稿

稿件涉及数学、物理、算法、计算机、编程等相关领域。

稿件一经采用,我们将奉上稿酬。

投稿邮箱:math_alg@163.com



登录查看更多
1

相关内容

线性代数(Linear Algebra)是数学的一个分支,它的研究对象是向量,向量空间(或称线性空间),线性变换和有限维的线性方程组。向量空间是现代数学的一个重要课题;因而,线性代数被广泛地应用于抽象代数和泛函分析中;通过解析几何,线性代数得以被具体表示。线性代数的理论已被泛化为算子理论。由于科学研究中的非线性模型通常可以被近似为线性模型,使得线性代数被广泛地应用于自然科学和社会科学中。 - 题图来自「维基百科」。
【纽约大学】最新《离散数学》笔记,451页pdf
专知会员服务
131+阅读 · 2020年5月26日
【干货】大数据入门指南:Hadoop、Hive、Spark、 Storm等
专知会员服务
98+阅读 · 2019年12月4日
MIT线性代数(Linear Algebra)中文笔记
专知
53+阅读 · 2019年11月4日
博客 | MIT—线性代数(下)
AI研习社
6+阅读 · 2018年12月20日
博客 | MIT—线性代数(上)
AI研习社
9+阅读 · 2018年12月18日
入门 | 这是一份文科生都能看懂的线性代数简介
机器之心
14+阅读 · 2018年3月31日
【干货】​深度学习中的线性代数
专知
21+阅读 · 2018年3月30日
Arxiv
5+阅读 · 2019年4月21日
VIP会员
相关资讯
MIT线性代数(Linear Algebra)中文笔记
专知
53+阅读 · 2019年11月4日
博客 | MIT—线性代数(下)
AI研习社
6+阅读 · 2018年12月20日
博客 | MIT—线性代数(上)
AI研习社
9+阅读 · 2018年12月18日
入门 | 这是一份文科生都能看懂的线性代数简介
机器之心
14+阅读 · 2018年3月31日
【干货】​深度学习中的线性代数
专知
21+阅读 · 2018年3月30日
Top
微信扫码咨询专知VIP会员