AI可以将UI设计图自动生成跨平台代码,前端工程师福利(paper)

2017 年 10 月 24 日 MOOC

| 全文共3333字,建议阅读时长3分钟 |


转载公众号:机械鸡

微信号:jixieji2017

 

前端工程师有了这个利器,可以更愉快的编程了~



哥本哈根的一家初创公司 UIzard Technologies 训练了一个神经网络,能够把图形用户界面的截图转译成代码行,成功为开发者们分担了部分产品的设计流程。


到目前为止,他们能够从一个单一的输入图像中,生成针对三种不同平台(iOS,Android和基于Web的技术)的代码,其精度超过77%,但他们表示,可以通过在较大的数据集上,训练他们的网络来大幅提升代码质量。



创始人兼首席执行官Tony Beltramelli在相关研究论文中提到:“开发GUI(图形用户界面)是耗时的,影响了开发者实现他们正在构建软件的实际功能和逻辑。“


此外,用于实现这种GUI的计算机语言,是根据每个目标平台定制化的。从而能够开发软件之前,能够在多个本地化平台上试运行,减少繁琐而重复的工作。


使用CUDA、Tesla K80 GPU和cuDNN与TensorFlow 深度学习框架,他们训练有素的模型将驱使屏幕抓取UI设计,评估图片 - 各种图标、功能和布局,然后根据素材生成代码。


跟所有机器学习一样,研究者们需要用手头的任务实例去训练模型。但与其他任务不同的是,它需要做的不是从图片中生成图片,也不是把文本转换成文本,这个算法要做到输入图片后生成对应的文本(在这里就是代码)输出。


为了实现这一点,开发者们需要分三个步骤来训练:

  • 首先,通过计算机视觉来理解 GUI 图像和里面的元素(按钮、条框等)。

  • 接下来模型需要理解计算机代码,并且能生成在句法上和语义上都正确的样本。

  • 最后的挑战是把之前的两步联系起来,需要它用推测场景来生成描述文本。



他们推断,以这种方式使用的深度学习,最终会终结对手动编程 GUI的需求。


Pix2Code 是 UIzard 开发的第一个 app,而且还处于测试阶段。这家公司的愿景是帮助开发者、设计者和初创公司省去在开发初期阶段写代码的流程,为原型设计、迭代和最终生成更好的产品留出更多的时间,最终开发出更好的 app 和网站。


详解


该公司发表的一篇研究论文,解释了这个叫做 Pix2Code 的模型是如何工作的。



计算机开发人员经常将设计师设计的图形用户界面(GUI)截图通过编译计算机代码应用到软件、网站和移动应用程序中。


在本文中,我们展示了给定图形用户界面图像作为输入,深度学习技术可以被用来自动生成代码。我们的模型能够从单一输入图像中生成针对三种不同平台(即 iOS、Android 和基于 Web 的技术)的代码,其准确率超过 77%。


在客户端软件实现基于由设计师设计的图形用户界面(GUI)的过程是开发人员的责任。然而,编写实现 GUI 的代码是耗时的,并且占用了开发人员大量用于实现软件实际特征和逻辑的时间。


此外,不同的特定平台用于实现这种 GUI 的计算机语言也不尽相同;从而导致在开发针对多个平台的软件时繁琐而重复的工作(尽管都运用本机技术)。在本文中,我们描述了一个给定图形用户界面截图作为输入,可以自动生成特定平台代码的系统。我们推断,此方法的扩展版本可能会终止手动编程 GUI 的需要。


本文的第一个贡献是 pix2code,一个基于卷积和循环神经网络的新方法,它能够由单个 GUI 屏幕截图生成计算机代码。


本文的第二个贡献是发布来自三个不同平台的 GUI 屏幕截图和相关源代码组成的合成数据集。在本文发表后,此数据集将开源免费使用,以促进今后的研究。

  • pix2code


GUI 屏幕截图生成代码的任务,可以类比于给出场景照片生成文本描述的任务。


因此,我们可以将问题分为三个子问题。


首先,是一个计算机视觉问题:理解给定场景(即这种情况下为 GUI 截图)并推断图中的对象、身份、位置和姿势(即按钮、标签、元素容器)。


第二,是一个语言模型问题:理解文本(即这种情况下为计算机代码)并产生语法和语义正确的样本。


最后,通过利用前两个子问题的解决方案生成代码,即运用从场景理解推断出的潜在变量(latent variable)来生成相应文本描述(这里是计算机代码而不是文本)。

  • 视觉模型


CNN 目前是解决各种视觉问题的首选方法,因为它们自身的拓扑结构便于学习训练的图像中丰富的潜在表征 [14,10]。我们通过将输入图像映射到一个学习到的固定长度向量,运用 CNN 来进行无监督特征学习;从而起到如图 1 所示的编码器的作用。

  • 语言模型

我们设计了一个简单的 DSL 来描述图 2 所述的 GUI。在该项工作中,我们只对 GUI 的布局感兴趣,只对那些不同图形控件及其相互间的关系感兴趣,因此我们的 DSL 实际上忽略了标签控件的文本值。


在大多数编程语言和标记语言中,元素通常声明为开放符号。



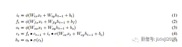
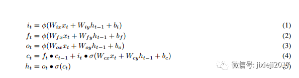
其中 W 为权重矩阵,xt 为在时间 t 的新输入向量,ht1 是先前生成的输出向量,ct1 是先前生成的单元状态输出,b 是偏置项,而 φ 和 σ 分别是 S 型激活函数(sigmoid)和双曲正切激活函数(hyperbolic tangent)。

  • 复合模型


我们的模型采用的是监督学习,它通过投送图像 I 和符号 T 的序列 X(xt, t ∈ {0 . . . T 1})作为输入,而将符号 xT 作为目标标注。


该架构允许整个 pix2code 模型通过梯度下降实现端到端的优化,这样以便系统在看到图像和序列中前面的符号而预测下一个符号。

  • 训练

用于训练的序列长度 T 对长期相关性(long-term dependencies)建模十分重要。在经验性试验后,用于训练的 DSL 代码输入文件由大小为 48 的滑动窗口(sliding window)分割,即我们用 48 步展开循环神经网络。


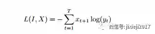
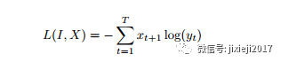
训练由损失函数对神经网络的权重求偏导数而执行反向传播算法,因此可以最小化多级对数损失而进行训练:



其中 xt+1 为预期符号(expected token),yt 为预测符号。

  • 抽样

为了生成 DSL 代码,我们投送 GUI 图像和 T = 48 符号的序列 X,其中符号 xt . . . xT 1 设置为空符号,而序列 xT 设置为特别的符号。



▲表 1:数据集统计



在不同训练集的训练损失和模型在训练 10 个 epochs 中的抽样 ROC 曲线。



▲在测试集(表 1 所述)上的试验结果报告


图 4、5、6 展示了输入 GUI 图像(样本真值),和由已训练 pix2code 模型生成输出的 GUI。



▲iOS GUI 数据集中的试验样本。



▲安卓 GUI 数据集中的试验样本



▲网页 GUI 数据集的试验样本

  • 结语

在本论文中,我们提出了 pix2code 模型,它是一种给定 GUI 图片作为输入,且能生成计算机代码的新方法。


我们的模型由相对较少的参数组成,并且只能在相对较小的数据集上训练。而构建更复杂的模型,并在更大的数据集上训练会显著地提升代码生成的质量。并且采用各种正则化方法和实现注意力机制(attention mechanism [1])也能进一步提升生成代码的质量。


最后,由于近来生成对抗网络(GAN)在图片生成上有极其出色的表现,也许我们可以借助 GAN 及其思想由 GUI 图像生成计算机代码。



有缘的人终会相聚,慕客君想了想,要是不分享出来,怕我们会擦肩而过~

预约、体验——新维空间站

《【会员招募】“新维空间站”1年100场活动等你来加入》

有缘的人总会相聚——MOOC公号招募长期合作者

《【调查问卷】“屏幕时代,视觉面积与学习效率的关系“——你看对了吗?》


本文编辑:慕编组成员(leo)


产权及免责声明 本文系“MOOC”公号转载、编辑的文章,编辑后增加的插图均来自于互联网,对文中观点保持中立,对所包含内容的准确性、可靠性或者完整性不提供任何明示或暗示的保证,不对文章观点负责,仅作分享之用,文章版权及插图属于原作者。如果分享内容侵犯您的版权或者非授权发布,请及时与我们联系,我们会及时内审核处理。


了解在线教育,
把握MOOC国际发展前沿,请关注:
微信公号:openonline
公号昵称:MOOC

 

登录查看更多
2

相关内容

图形用户界面(Graphical User Interface,简称 GUI,又称图形用户接口)是指采用图形方式显示的计算机操作用户接口。与早期计算机使用的命令行界面相比,图形界面对于用户来说在视觉上更易于接受。
【2020新书】实战R语言4,323页pdf
专知会员服务
102+阅读 · 2020年7月1日
FPGA加速系统开发工具设计:综述与实践
专知会员服务
69+阅读 · 2020年6月24日
【经典书】Python计算机视觉编程,中文版,363页pdf
专知会员服务
143+阅读 · 2020年2月16日
使用 C# 和 Blazor 进行全栈开发
DotNet
6+阅读 · 2019年4月15日
爱奇艺基于AI的移动端自动化测试框架的设计
前端之巅
18+阅读 · 2019年2月27日
命名实体识别(NER)综述
AI研习社
66+阅读 · 2019年1月30日
CVPR 2018,盘点我心中的创意 TOP10
机器学习算法与Python学习
13+阅读 · 2018年7月22日
Python 杠上 Java、C/C++,赢面有几成?
CSDN
6+阅读 · 2018年4月12日
【原理】十个生成模型(GANs)的最佳案例和原理 | 代码+论文
GAN生成式对抗网络
8+阅读 · 2017年8月14日
Directions for Explainable Knowledge-Enabled Systems
Arxiv
26+阅读 · 2020年3月17日
Arxiv
92+阅读 · 2020年2月28日
Arxiv
3+阅读 · 2018年10月8日
Next Item Recommendation with Self-Attention
Arxiv
5+阅读 · 2018年8月25日
Arxiv
7+阅读 · 2018年1月31日
Arxiv
5+阅读 · 2017年4月12日
Arxiv
24+阅读 · 2017年3月9日
VIP会员
相关资讯
使用 C# 和 Blazor 进行全栈开发
DotNet
6+阅读 · 2019年4月15日
爱奇艺基于AI的移动端自动化测试框架的设计
前端之巅
18+阅读 · 2019年2月27日
命名实体识别(NER)综述
AI研习社
66+阅读 · 2019年1月30日
CVPR 2018,盘点我心中的创意 TOP10
机器学习算法与Python学习
13+阅读 · 2018年7月22日
Python 杠上 Java、C/C++,赢面有几成?
CSDN
6+阅读 · 2018年4月12日
【原理】十个生成模型(GANs)的最佳案例和原理 | 代码+论文
GAN生成式对抗网络
8+阅读 · 2017年8月14日
相关论文
Directions for Explainable Knowledge-Enabled Systems
Arxiv
26+阅读 · 2020年3月17日
Arxiv
92+阅读 · 2020年2月28日
Arxiv
3+阅读 · 2018年10月8日
Next Item Recommendation with Self-Attention
Arxiv
5+阅读 · 2018年8月25日
Arxiv
7+阅读 · 2018年1月31日
Arxiv
5+阅读 · 2017年4月12日
Arxiv
24+阅读 · 2017年3月9日
Top
微信扫码咨询专知VIP会员