你点一次广告,会创造多少价值?|KDD论文核心算法独家解读

2017 年 6 月 27 日 阿里技术 探微

阿里妹提示:全文三千字,内含独家披露的算法公式,阅读预计需要5-8分钟。文末有福利。


近日,来自阿里妈妈精准技术团队的论文《淘宝展示广告中的OCPC智能调价算法》被国际数据挖掘领域顶级会议KDD(Knowledge Discovery and Data Mining)收录。


该论文围绕OCPC智能调价,创新地提出了一种双层优化形式,将优化广告主价值转化为首要约束条件,将系统根据预估收益对广告进行排序作为内层优化问题,将用户体验和平台收益的最大化作为外层的寻优问题,并提出了相应的求解方法。最终达到不仅广告主效果优化,平台商业收入和用户指标也获得优化的三位一体目标。


研究问题:传统广告系统本质是粗粒度的流量区分和匹配


基于固定出价的传统广告系统中,广告主对特定用户人群和广告位设定固定的竞价,其本质是粗粒度的流量区分和匹配。事实上,广告主有着进一步细粒度的竞价和流量质量匹配的诉求。


该系统还有着两方面的缺陷。其一,广告主单一固定的出价应对连续多变的流量模式导致经济效率低下;其二,传统的最大化广告收益(eCPM)的排序机制过于追求短期商业利益,无法调控流量对用户体验、商家利益、成交额等指标的影响,不利于淘宝生态的长期可持续繁荣。


研究场景:最大在线市场淘宝网在线广告系统


曾被《经济学人》称为“中国最大在线市场”的淘宝拥有世界先进水平的在线广告系统。该论文的研究聚焦于重要的淘宝移动端CPC展示广告中的竞价优化问题。由于淘宝CPC展示广告处于相对重要的场景,其广告投放的优化通常需考虑诸多因素,如反应商家利益的投资回报率(ROI)、总成交额(GMV)、转化率(CVR),反应平台用户体验的点击率(CTR),以及淘宝平台收益指标(千次展现收益RPM)等。


值得一提的是,谷歌公司AdWords的ECPC也尝试根据用户潜在转化率调整广告主竞价。然而,除了转化率,ECPC无法直接优化其它诸多对淘宝生态重要的指标(如平台整体GMV等)。


研究设想: OCPC智能调价算法 实现自动调整竞价


论文设想通过算法对于每条用户请求,在保障优化广告主利益的前提下,自动地调整广告主竞价从而使竞价能够反应该流量的真实价值。流量价值的定义上,算法融合了用户体验、广告主收益以及平台收益的整体生态指标,旨在实现三方共赢的商业局面。基于此,论文提出了一种新的Optimized cost per click (OCPC)智能调价算法。


OCPC智能调价算法从数学上描述并分析了优化广告主诉求的条件,进而提出了一种优化平台生态综合指标以及平台收益的算法。事实上,该算法框架适用于多种广告主诉求以及平台生态指标的优化问题,例如用户的浏览量、点击量、转化率等。


论文选择了ROI以及流量质量作为广告主的优化诉求,选择GMV作为平台生态指标,并通过调整广告主出价优化平台的商业收益。


论文核心算法


ROI(投资回报率)优化算法


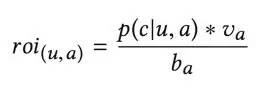
智能调价算法分析了优化广告主投资回报率的条件,即ROI约束。其中,定义交易转化为c,用户为u,广告位a,那么在用户和广告的条件下产生转化的条件概率为p(c|u, a)。对于一个特定的广告计划a,定义 为预估的笔单价。因此,单次点击的期望GMV为 。进一步定义广告主为每一次点击付费为 ,那么单次点击的期望ROI则为公式(1):


(1)

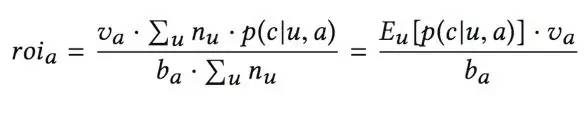
即单次点击的期望投资汇报率为期望GMV除以单次点击价格。进而,广告a对于不同用户和点击的ROI如公式(2),即平均转化率乘以比单价除以单次点击价格,其中 是某个用户在一段时间内的点击量。


  

(2)


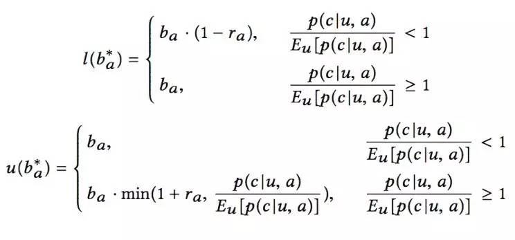
公式(2)说明了ROI和一段时间内平均转化率$E_u[p(c|u,a)]$之间的线性关系,因此,只需要调价幅度小于当前流量转化率和历史平均流量转化率的比值,就能从理论上保证ROI不会下降,如公式(3)所示:


(3)


从而,该算法竞价优化的原则是:对于转化率升高的流量,提升其竞价来帮助广告主竞得优质流量;对于转化率下降的流量,降低竞价从而节约在劣质流量上的成本。出于调价的安全考虑,该算法设定了固定的调价范围参数 ,保证广告主的调价不过高或者过低,并以此得出调价的上界 和下界 如公式(4)。


(4)


综合指标优化算法


在给定上下界的范围内优化出价可以帮助广告主获得更高质量的流量以及更高的ROI。但是,约束空间内解的不同出价会导致不同的eCPM排序,并最终影响平台收益和其它指标的效果。因此,该算法提出了一种在eCPM排序机制下,对综合指标保优的出价调整算法。其核心解决的优化问题如公式(5)。


(5)


其中n是候选广告的数量,pctr是预估点击率(由阿里妈妈精准技术团队自主研发的混合逻辑回归算法MLR支持)。f()函数定义了系统期望最大化的综合指标,典型的两个例子如公式(6),其中,第一个目标函数可以优化总成交额GMV;第二个目标函数权衡优化总成交额GMV和广告收益。


 (6)


如公式(5)所示,我们希望在满足广告主诉求的调价范围内进行调价,使得ECPM排序机制(如公式(5))下最优的广告,其综合指标函数f()的值也最大。该优化问题的主要求解方法请参见KDD 2017收录的论文原文: Han Zhu, Junqi Jin, Chang Tan, Fei Pan, Yifan Zeng, Han Li, Kun Gai. Optimized cost per click in Taobao display advertising. ACM SIGKDD 2017.


该优化问题的设计实现了最终排序指标和广告主流量目标的解耦。一方面,候选广告仍然按照最大化eCPM的pctr*b标准排序,广告主通过调价匹配流量价值,同时整体eCPM排序机制保证了广告主出价撬动流量的能力不受影响;另一方面,广告平台可以通过设计不同的f()函数优化相应的平台综合指标。


双重验证:离线模拟实验和线上实际环境


OCPC智能调价算法在离线模拟实验和线上实际生产环境中都取得了明显的效果提升。单品广告离线模拟效果如表1所示。其中,评价指标为RPM(广告千次展现收益),GPM(千次展现GMV),CTR(广告点击率),CVR(成交转化率),PPC(单次点击扣费)。


基准策略是传统的广告排序方法,表中数据为该论文提出的OCPC算法相对基准策略的效果提升百分比。实验结果表明,OCPC算法明显提升了商家千次展现成交额(GPM)和成交转化率(CVR)。



表1 单品广告离线模拟实验效果提升比例

  

OCPC算法在在线生产环境中也展现了明显的效果提升,相比基准策略,其效果提升百分比如表2。



表2 单品广告线上生产环境效果提升比例

    

持续一周的线上生产环境效果分析表明,OCPC使得67%的广告主制定的广告计划(Campaign)的千次展现成交额(GPM)和广告投资回报率(ROI)同时获得了提升,如表3。另有24%的广告计划显示出流量数量和质量的置换现象(Quantity and quality exchange),其含义是:这类广告主由于获得了更多的流量,拉低整体平均ROI下跌。但是,由于其整体流量增幅高于平均ROI跌幅,这些广告主的成交转化数都获得了提升。

 


表3 单品广告线上生产环境广告主优化比例


除了单品广告场景,该算法在淘宝移动端首页顶部的Banner广告中也明显提升了商家的成交额和转化率,如表4。从商品的类目视角分析,表5的数据表明17%的类目(占62%的浏览量)流量的商家GPM和ROI获得了同时提升,27%的类目(占21%的浏览量)流量的GPM获得了提升,另有30%的类目(占12%的浏览量)显示出流量数量和质量的置换(与单品广告分析相似,其转化效果也获得了提升)。

 


表4 Banner广告线上生产环境效果提升比例

 


表5 Banner广告线上生产环境广告主优化比例


论文指出,持续了一周以上的线上实验结果表明,OCPC算法在长期的考察中展现了稳定的明显正向效果提升,为大多数广告主以及平台带了经济效益的增长。更多详尽的算法分析以及更多场景中OCPC效果的实验请参阅论文原文。


该项技术在淘宝展示广告主要场景上得到了全面应用并取得了明显的效果提升,单品主流场景中67%的广告主ROI(广告投资回报率)和GMV(商品交易总额)同时获得了提升,另有24%的广告主其流量增幅大于ROI降幅,即成交总量获得了提升。


该场景商家整体成交额GMV提升8.9%,CVR(成交转化率)提升5.2%,RPM(广告千次展现收益)提升6.6%。Banner CPC场景中,62%流量的商家成交额GMV和ROI同时获得提升,21%的流量GMV获得提升,另12%的流量成交总量获得了提升。该场景商家总成交额GMV提升15.7%,CVR提升19%,RPM提升3.6%。


下一步融入人工智能算法


未来,阿里妈妈精准技术团队将继续围绕客户核心价值,在业务上提升营销效率,设计更精准的流量实时价值评估系统。通过持续优化商家和消费者的匹配与连接效率,提升商家的营收和消费者的用户体验。技术上,该团队将进一步探索基于深度学习、强化学习等最前沿的人工智能算法,在持续支持业务效果提升的同时,为学术界、工业界贡献创新的算法和技术解决方案。


论文原文链接:https://arxiv.org/abs/1703.02091


最后送上福利!


6月29日,阿里巴巴、中国中文信息学会和KDD China将共同举办“数据挖掘前沿发展与未来论坛论坛”。


清华大学副教授唐杰、同济大学教授曹楠等学界专家及多位KDD 2017收录论文作者将分享他们在数据挖掘领域的最新研究成果和思考,论坛更有阿里巴巴神秘嘉宾亮相发言!


这场的知识分享盛会,我们专门为小伙伴们开通了优酷直播,赶快收好。



直播时间:6月29日上午9:00


点击文末“阅读原文”,提前收藏直播地址。一起学术范儿,一起刷直播!


ps:想获得更多直播相关消息?请看本日推送的第二条文章哦~

 



你可能还喜欢

点击下方图片即可阅读



阿里首次公开量子通信技术: “走进了一个无人区”


阿里怎么发工资?自研薪酬管理系统首次曝光




关注「阿里技术」 

把握前沿技术脉搏

转载 l 合作 l 投稿

lunalin.lpp@alibaba-inc.com

登录查看更多
4

相关内容

【ICML2020】对比多视角表示学习
专知会员服务
53+阅读 · 2020年6月28日
多智能体深度强化学习的若干关键科学问题
专知会员服务
194+阅读 · 2020年5月24日
近期必读的6篇顶会WWW2020【推荐系统】相关论文-Part3
专知会员服务
58+阅读 · 2020年4月14日
【综述】自动驾驶领域中的强化学习,附18页论文下载
专知会员服务
176+阅读 · 2020年2月8日
专知会员服务
88+阅读 · 2020年1月20日
近期必读的12篇KDD 2019【图神经网络(GNN)】相关论文
专知会员服务
63+阅读 · 2020年1月10日
主流互联网平台广告业务对比分析
百度公共政策研究院
29+阅读 · 2019年5月20日
智能时代,图像检索技术在美团APP中的应用分析
人人都是产品经理
9+阅读 · 2018年5月23日
从场景到调参,爱奇艺的推荐算法演化之路
聊聊架构
9+阅读 · 2018年3月23日
今日头条推荐算法详解(PDF下载)
机器学习算法与Python学习
17+阅读 · 2018年2月27日
百度的广告和今日头条的广告
keso怎么看
8+阅读 · 2018年2月9日
推荐|今日头条公布其算法原理(全)
全球人工智能
7+阅读 · 2018年1月16日
一篇文章读懂阿里企业级数据库最佳实践
阿里巴巴数据库技术
5+阅读 · 2017年12月20日
认识个性化推荐系统:从推荐算法到产品冷启动
人人都是产品经理
6+阅读 · 2017年9月15日
Conceptualize and Infer User Needs in E-commerce
Arxiv
3+阅读 · 2019年10月8日
Universal Transformers
Arxiv
5+阅读 · 2019年3月5日
Arxiv
5+阅读 · 2018年10月4日
Arxiv
3+阅读 · 2018年4月11日
Arxiv
5+阅读 · 2017年12月14日
Arxiv
5+阅读 · 2017年11月13日
VIP会员
相关VIP内容
相关资讯
主流互联网平台广告业务对比分析
百度公共政策研究院
29+阅读 · 2019年5月20日
智能时代,图像检索技术在美团APP中的应用分析
人人都是产品经理
9+阅读 · 2018年5月23日
从场景到调参,爱奇艺的推荐算法演化之路
聊聊架构
9+阅读 · 2018年3月23日
今日头条推荐算法详解(PDF下载)
机器学习算法与Python学习
17+阅读 · 2018年2月27日
百度的广告和今日头条的广告
keso怎么看
8+阅读 · 2018年2月9日
推荐|今日头条公布其算法原理(全)
全球人工智能
7+阅读 · 2018年1月16日
一篇文章读懂阿里企业级数据库最佳实践
阿里巴巴数据库技术
5+阅读 · 2017年12月20日
认识个性化推荐系统:从推荐算法到产品冷启动
人人都是产品经理
6+阅读 · 2017年9月15日
相关论文
Conceptualize and Infer User Needs in E-commerce
Arxiv
3+阅读 · 2019年10月8日
Universal Transformers
Arxiv
5+阅读 · 2019年3月5日
Arxiv
5+阅读 · 2018年10月4日
Arxiv
3+阅读 · 2018年4月11日
Arxiv
5+阅读 · 2017年12月14日
Arxiv
5+阅读 · 2017年11月13日
Top
微信扫码咨询专知VIP会员