完全图解RNN、RNN变体、Seq2Seq、Attention机制

2017 年 9 月 5 日 AI研习社 何之源


本文作者何之源,原文载于知乎专栏AI Insight,AI研习社获其授权发布。

本文主要是利用图片的形式,详细地介绍了经典的RNN、RNN几个重要变体,以及Seq2Seq模型、Attention机制。希望这篇文章能够提供一个全新的视角,帮助初学者更好地入门。


  从单层网络谈起

在学习RNN之前,首先要了解一下最基本的单层网络,它的结构如图:



输入是x,经过变换Wx+b和激活函数f得到输出y。相信大家对这个已经非常熟悉了。


  经典的RNN结构(N vs N)

在实际应用中,我们还会遇到很多序列形的数据:



如:


  • 自然语言处理问题。x1可以看做是第一个单词,x2可以看做是第二个单词,依次类推。

  • 语音处理。此时,x1、x2、x3……是每帧的声音信号。

  • 时间序列问题。例如每天的股票价格等等

序列形的数据就不太好用原始的神经网络处理了。为了建模序列问题,RNN引入了隐状态h(hidden state)的概念,h可以对序列形的数据提取特征,接着再转换为输出。先从h1的计算开始看:



图示中记号的含义是:


  • 圆圈或方块表示的是向量。

  • 一个箭头就表示对该向量做一次变换。如上图中h0和x1分别有一个箭头连接,就表示对h0和x1各做了一次变换。

在很多论文中也会出现类似的记号,初学的时候很容易搞乱,但只要把握住以上两点,就可以比较轻松地理解图示背后的含义。


h2的计算和h1类似。要注意的是,在计算时,每一步使用的参数U、W、b都是一样的,也就是说每个步骤的参数都是共享的,这是RNN的重要特点,一定要牢记。



依次计算剩下来的(使用相同的参数U、W、b):




我们这里为了方便起见,只画出序列长度为4的情况,实际上,这个计算过程可以无限地持续下去。


我们目前的RNN还没有输出,得到输出值的方法就是直接通过h进行计算:




正如之前所说,一个箭头就表示对对应的向量做一次类似于f(Wx+b)的变换,这里的这个箭头就表示对h1进行一次变换,得到输出y1。


剩下的输出类似进行(使用和y1同样的参数V和c):



OK!大功告成!这就是最经典的RNN结构,我们像搭积木一样把它搭好了。它的输入是x1, x2, .....xn,输出为y1, y2, ...yn,也就是说,输入和输出序列必须要是等长的。


由于这个限制的存在,经典RNN的适用范围比较小,但也有一些问题适合用经典的RNN结构建模,如:


  • 计算视频中每一帧的分类标签。因为要对每一帧进行计算,因此输入和输出序列等长。

  • 输入为字符,输出为下一个字符的概率。这就是著名的Char RNN(详细介绍请参考:The Unreasonable Effectiveness of Recurrent Neural Networks,地址:http://karpathy.github.io/2015/05/21/rnn-effectiveness/。Char RNN可以用来生成文章,诗歌,甚至是代码,非常有意思)。

  N VS 1

有的时候,我们要处理的问题输入是一个序列,输出是一个单独的值而不是序列,应该怎样建模呢?实际上,我们只在最后一个h上进行输出变换就可以了:



这种结构通常用来处理序列分类问题。如输入一段文字判别它所属的类别,输入一个句子判断其情感倾向,输入一段视频并判断它的类别等等。


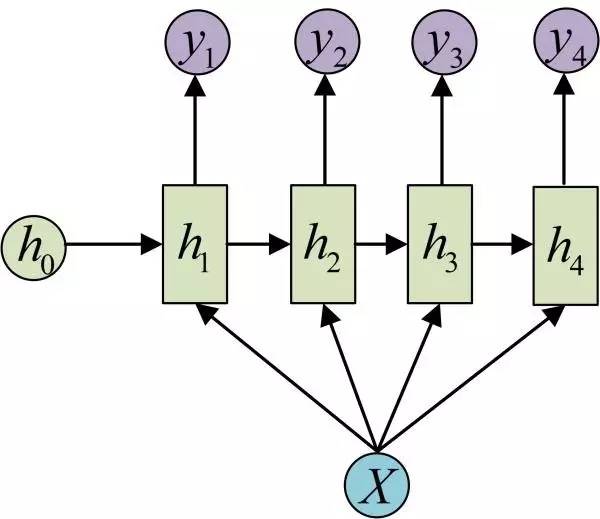
  1 VS N

输入不是序列而输出为序列的情况怎么处理?我们可以只在序列开始进行输入计算:



还有一种结构是把输入信息X作为每个阶段的输入:



下图省略了一些X的圆圈,是一个等价表示:



这种1 VS N的结构可以处理的问题有:


  • 从图像生成文字(image caption),此时输入的X就是图像的特征,而输出的y序列就是一段句子

  • 从类别生成语音或音乐等

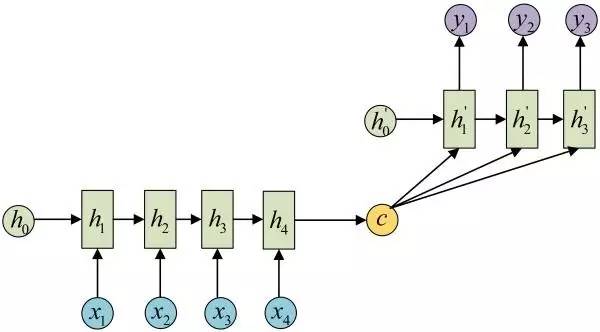
  N vs M

下面我们来介绍RNN最重要的一个变种:N vs M。这种结构又叫Encoder-Decoder模型,也可以称之为Seq2Seq模型。


原始的N vs N RNN要求序列等长,然而我们遇到的大部分问题序列都是不等长的,如机器翻译中,源语言和目标语言的句子往往并没有相同的长度。


为此,Encoder-Decoder结构先将输入数据编码成一个上下文向量c:



得到c有多种方式,最简单的方法就是把Encoder的最后一个隐状态赋值给c,还可以对最后的隐状态做一个变换得到c,也可以对所有的隐状态做变换。


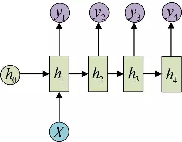
拿到c之后,就用另一个RNN网络对其进行解码,这部分RNN网络被称为Decoder。具体做法就是将c当做之前的初始状态h0输入到Decoder中:



还有一种做法是将c当做每一步的输入:



由于这种Encoder-Decoder结构不限制输入和输出的序列长度,因此应用的范围非常广泛,比如:


  • 机器翻译。Encoder-Decoder的最经典应用,事实上这一结构就是在机器翻译领域最先提出的

  • 文本摘要。输入是一段文本序列,输出是这段文本序列的摘要序列。

  • 阅读理解。将输入的文章和问题分别编码,再对其进行解码得到问题的答案。

  • 语音识别。输入是语音信号序列,输出是文字序列。

  • …………

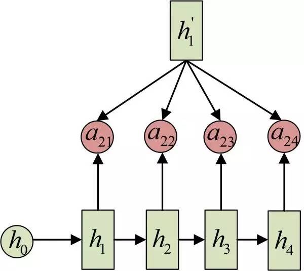
  Attention机制

在Encoder-Decoder结构中,Encoder把所有的输入序列都编码成一个统一的语义特征c再解码,因此, c中必须包含原始序列中的所有信息,它的长度就成了限制模型性能的瓶颈。如机器翻译问题,当要翻译的句子较长时,一个c可能存不下那么多信息,就会造成翻译精度的下降。


Attention机制通过在每个时间输入不同的c来解决这个问题,下图是带有Attention机制的Decoder:





以上就是带有Attention的Encoder-Decoder模型计算的全过程。


  总结

本文主要讲了N vs N,N vs 1、1 vs N、N vs M四种经典的RNN模型,以及如何使用Attention结构。希望能对大家有所帮助。


可能有小伙伴发现没有LSTM的内容,其实是因为LSTM从外部看和RNN完全一样,因此上面的所有结构对LSTM都是通用的,想了解LSTM内部结构的可以参考这篇文章:Understanding LSTM Networks(地址:http://colah.github.io/posts/2015-08-Understanding-LSTMs/),写得非常好,推荐阅读。


AI研习社长期接受优秀文章投稿

同时免费为优质企业推广招聘信息

有意者请联系jiazhilong@leiphone.com




后台回复“我要进群” 加入AI技术讨论群 


新人福利


关注AI研习社(okweiwu),回复  1  领取

【超过1000G神经网络/ AI /大数据,教程,论文】



可能是最好玩的深度学习模型:CycleGAN的原理与实验详解

▼▼▼

登录查看更多
12

相关内容

RNN:循环神经网络,是深度学习的一种模型。
【ICML2020-西电】用于语言生成的递归层次主题引导RNN
专知会员服务
22+阅读 · 2020年6月30日
【ICML2020-华为港科大】RNN和LSTM有长期记忆吗?
专知会员服务
78+阅读 · 2020年6月25日
一份循环神经网络RNNs简明教程,37页ppt
专知会员服务
173+阅读 · 2020年5月6日
【MIT深度学习课程】深度序列建模,Deep Sequence Modeling
专知会员服务
78+阅读 · 2020年2月3日
注意力机制模型最新综述
专知会员服务
271+阅读 · 2019年10月20日
注意力机制介绍,Attention Mechanism
专知会员服务
171+阅读 · 2019年10月13日
撩一发深度文本分类之RNN via Attention
AINLP
7+阅读 · 2019年1月27日
三次简化一张图:一招理解LSTM/GRU门控机制
机器之心
16+阅读 · 2018年12月18日
从Seq2seq到Attention模型到Self Attention(二)
量化投资与机器学习
23+阅读 · 2018年10月9日
从Seq2seq到Attention模型到Self Attention(一)
量化投资与机器学习
76+阅读 · 2018年10月8日
RNN是怎么从单层网络一步一步构造的?
七月在线实验室
6+阅读 · 2018年7月13日
基于attention的seq2seq机器翻译实践详解
黑龙江大学自然语言处理实验室
11+阅读 · 2018年3月14日
TensorFlow seq2seq中的Attention机制(续)
深度学习每日摘要
15+阅读 · 2017年11月16日
十分钟掌握Keras实现RNN的seq2seq学习
机器学习研究会
10+阅读 · 2017年10月13日
【推荐】(TensorFlow)RNN入门
机器学习研究会
9+阅读 · 2017年10月10日
干货|完全图解RNN、RNN变体、Seq2Seq、Attention机制
机器学习研究会
12+阅读 · 2017年8月5日
Arxiv
19+阅读 · 2019年4月5日
Arxiv
6+阅读 · 2018年5月18日
Arxiv
27+阅读 · 2017年12月6日
VIP会员
相关VIP内容
【ICML2020-西电】用于语言生成的递归层次主题引导RNN
专知会员服务
22+阅读 · 2020年6月30日
【ICML2020-华为港科大】RNN和LSTM有长期记忆吗?
专知会员服务
78+阅读 · 2020年6月25日
一份循环神经网络RNNs简明教程,37页ppt
专知会员服务
173+阅读 · 2020年5月6日
【MIT深度学习课程】深度序列建模,Deep Sequence Modeling
专知会员服务
78+阅读 · 2020年2月3日
注意力机制模型最新综述
专知会员服务
271+阅读 · 2019年10月20日
注意力机制介绍,Attention Mechanism
专知会员服务
171+阅读 · 2019年10月13日
相关资讯
撩一发深度文本分类之RNN via Attention
AINLP
7+阅读 · 2019年1月27日
三次简化一张图:一招理解LSTM/GRU门控机制
机器之心
16+阅读 · 2018年12月18日
从Seq2seq到Attention模型到Self Attention(二)
量化投资与机器学习
23+阅读 · 2018年10月9日
从Seq2seq到Attention模型到Self Attention(一)
量化投资与机器学习
76+阅读 · 2018年10月8日
RNN是怎么从单层网络一步一步构造的?
七月在线实验室
6+阅读 · 2018年7月13日
基于attention的seq2seq机器翻译实践详解
黑龙江大学自然语言处理实验室
11+阅读 · 2018年3月14日
TensorFlow seq2seq中的Attention机制(续)
深度学习每日摘要
15+阅读 · 2017年11月16日
十分钟掌握Keras实现RNN的seq2seq学习
机器学习研究会
10+阅读 · 2017年10月13日
【推荐】(TensorFlow)RNN入门
机器学习研究会
9+阅读 · 2017年10月10日
干货|完全图解RNN、RNN变体、Seq2Seq、Attention机制
机器学习研究会
12+阅读 · 2017年8月5日
Top
微信扫码咨询专知VIP会员