逻辑回归算法原理及实现

2020 年 5 月 2 日 图与推荐


点击上方“海边的拾遗者”,选择“星标”公众号

第一时间获取价值内容


    在典型的分类算法中,一般为监督学习,其训练样本中包含样本的特征和标签信息。在二分类中,标签为离散值,如{-1,+1},分别表示负类和正类。分类算法通过对训练样本的学习,得到从样本特征到样本标签之间的映射关系,这也被称为假设函数,可利用该函数对新样本进行预测类别。

Logistic Regression

    对于一个分类问题,通常有两种情况,线性可分和线性不可分。Logistic Regression模型属于广义线性模型的一种,一般线性可分的情况都能找到一个表示线性的超平面函数。以特征只有一维的数据为例,其线性可分的超平面形式为:

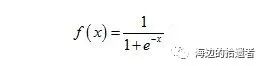
     其中W为权重,b为偏置。若在多维的情况下,两者均应表示为向量的形式。在该算法中,通过对训练样本的学习,最终得到该超平面,将数据分为两个不同的类别。在这里,可引入阈值函数来将样本映射到不同的类别中,最常见的函数以Sigmoid函数为例,形式如下:

    该函数可视化之后如下:

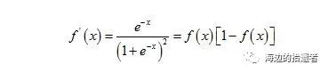
    从图像中可以看到,该函数的值域为(0,1),在0附近的变化比较明显。其导函数则为:

     现在让我们用代码实现该函数:

import numpy as npdef sigmoid(x):    return 1.0 / (1 + np.exp(-x))

     对输入向量X来说,其属于正类的概率为:

     其中ɕ代表Sigmoid函数,则输入向量X属于负类的概率为:

损失函数

    对Logistic Regression来说,可以通过观察上面输入向量X所属类别概率可得到概率表达函数:

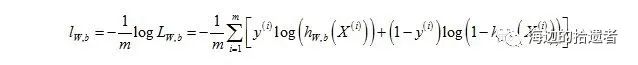
     其中W和b在上面的函数形式中是比较难求解的,需要先将其用极大似然法进行估计,将之转化成凸函数(此处是凸优化中的理论),即W和b存在最优解,也便于用较简单的方法求解。对其似然函数取负的Log后函数形式为:

     其中h为输入向量传入Sigmoid函数后的值所以我们只需要求使得lw,b最小时的W和b。  

梯度下降法

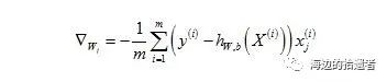
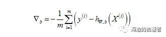
    对损失函数求最小值的问题,可选用迭代法中的梯度下降法来求解,其优点在于只需求解损失函数的一阶导,计算成本相对牛顿法之类的要小,这使得其能在大规模数据集上得到广泛应用。具体原理为根据初始点在每一次迭代的过程中选择下降的方向,进而改变需要修改的参数。

    两个变量的梯度表达式为:

     

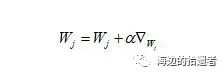
    其中b可以当做W中的第一个分量,其更新公式为

     现在可以用代码实现训练的具体过程:

def lr_gd(feature, label, maxCycle, alpha):    '''input:  feature特征            label标签            maxCycle最大迭代次数            alpha学习率     output: w权重'''    n = np.shape(feature)[1]    w = np.mat(np.ones((n, 1)))    i = 0    while i <= maxCycle:        i += 1        h = sigmoid(feature * w)        err = label - h        if i % 100 == 0:            print("\t---------iter=" + str(i) + \            " , train error rate= " + str(error(h, label)))        w = w + alpha * feature.T * err    return w

     其中误差函数为error,因为每次迭代均需计算当前模型的误差,具体实现如下:

def error(h, label):    '''input:  h预测值            label实际值    output: err/m错误率'''    m = np.shape(h)[0]       sum_err = 0.0    for i in range(m):        if h[i, 0] > 0 and (1 - h[i, 0]) > 0:            sum_err -= (label[i,0] * np.log(h[i,0]) + \                        (1-label[i,0]) * np.log(1-h[i,0]))        else:            sum_err -= 0    return sum_err / m

     到这里整个流程基本就结束了~



写留言

来都来了,点个在看再走吧~~~



登录查看更多
1

相关内容

专知会员服务
142+阅读 · 2020年5月19日
干货书《数据科学数学系基础》2020最新版,266页pdf
专知会员服务
323+阅读 · 2020年3月23日
Sklearn 与 TensorFlow 机器学习实用指南,385页pdf
专知会员服务
131+阅读 · 2020年3月15日
《深度学习》圣经花书的数学推导、原理与Python代码实现
【新书】Pro 机器学习算法Python实现,379页pdf
专知会员服务
204+阅读 · 2020年2月11日
从零推导支持向量机 (SVM)
AI科技评论
10+阅读 · 2019年2月7日
博客 | 回归类算法最全综述及逻辑回归重点讲解
AI研习社
13+阅读 · 2018年11月29日
详解常见的损失函数
七月在线实验室
20+阅读 · 2018年7月12日
免费|机器学习算法Python实现
全球人工智能
6+阅读 · 2018年1月2日
动手写机器学习算法:SVM支持向量机(附代码)
七月在线实验室
12+阅读 · 2017年12月5日
机器学习(18)之支持向量机原理(三)线性不可分支持向量机与核函数
机器学习算法与Python学习
3+阅读 · 2017年9月23日
机器学习(16)之支持向量机原理(二)软间隔最大化
机器学习算法与Python学习
6+阅读 · 2017年9月8日
机器学习(15)之支持向量机原理(一)线性支持向量机
机器学习算法与Python学习
6+阅读 · 2017年9月1日
机器学习(7)之感知机python实现
机器学习算法与Python学习
4+阅读 · 2017年7月23日
神经网络理论基础及 Python 实现
Python开发者
6+阅读 · 2017年7月15日
Talking-Heads Attention
Arxiv
15+阅读 · 2020年3月5日
Bivariate Beta LSTM
Arxiv
6+阅读 · 2019年10月7日
Meta-Learning with Implicit Gradients
Arxiv
13+阅读 · 2019年9月10日
Embedding Logical Queries on Knowledge Graphs
Arxiv
3+阅读 · 2019年2月19日
Adaptive Neural Trees
Arxiv
4+阅读 · 2018年12月10日
Arxiv
26+阅读 · 2018年2月27日
Arxiv
5+阅读 · 2017年12月14日
Arxiv
4+阅读 · 2017年10月30日
VIP会员
相关资讯
从零推导支持向量机 (SVM)
AI科技评论
10+阅读 · 2019年2月7日
博客 | 回归类算法最全综述及逻辑回归重点讲解
AI研习社
13+阅读 · 2018年11月29日
详解常见的损失函数
七月在线实验室
20+阅读 · 2018年7月12日
免费|机器学习算法Python实现
全球人工智能
6+阅读 · 2018年1月2日
动手写机器学习算法:SVM支持向量机(附代码)
七月在线实验室
12+阅读 · 2017年12月5日
机器学习(18)之支持向量机原理(三)线性不可分支持向量机与核函数
机器学习算法与Python学习
3+阅读 · 2017年9月23日
机器学习(16)之支持向量机原理(二)软间隔最大化
机器学习算法与Python学习
6+阅读 · 2017年9月8日
机器学习(15)之支持向量机原理(一)线性支持向量机
机器学习算法与Python学习
6+阅读 · 2017年9月1日
机器学习(7)之感知机python实现
机器学习算法与Python学习
4+阅读 · 2017年7月23日
神经网络理论基础及 Python 实现
Python开发者
6+阅读 · 2017年7月15日
相关论文
Talking-Heads Attention
Arxiv
15+阅读 · 2020年3月5日
Bivariate Beta LSTM
Arxiv
6+阅读 · 2019年10月7日
Meta-Learning with Implicit Gradients
Arxiv
13+阅读 · 2019年9月10日
Embedding Logical Queries on Knowledge Graphs
Arxiv
3+阅读 · 2019年2月19日
Adaptive Neural Trees
Arxiv
4+阅读 · 2018年12月10日
Arxiv
26+阅读 · 2018年2月27日
Arxiv
5+阅读 · 2017年12月14日
Arxiv
4+阅读 · 2017年10月30日
Top
微信扫码咨询专知VIP会员