泊松分布和指数分布:10分钟教程

2017 年 10 月 21 日 遇见数学 阮一峰

转自: http://www.ruanyifeng.com/blog/2015/06/poisson-distribution.html


大学时,我一直觉得统计学很难,还差点挂科。


工作以后才发现,难的不是统计学,而是我们的教材写得不好。比起高等数学,统计概念其实容易理解多了。

我举一个例子,什么是泊松分布和指数分布?恐怕大多数人都说不清楚。

我可以在10分钟内,让你毫不费力地理解这两个概念。



01


泊松分布


日常生活中,大量事件是有固定频率的。

  • 某医院平均每小时出生3个婴儿

  • 某公司平均每10分钟接到1个电话

  • 某超市平均每天销售4包xx牌奶粉

  • 某网站平均每分钟有2次访问


它们的特点就是,我们可以预估这些事件的总数,但是没法知道具体的发生时间。已知平均每小时出生3个婴儿,请问下一个小时,会出生几个?

有可能一下子出生6个,也有可能一个都不出生。这是我们没法知道的。

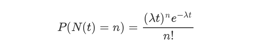
泊松分布就是描述某段时间内,事件具体的发生概率。

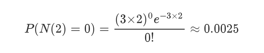
上面就是泊松分布的公式。等号的左边,P 表示概率,N表示某种函数关系,t 表示时间,n 表示数量,1小时内出生3个婴儿的概率,就表示为 P(N(1) = 3) 。等号的右边,λ 表示事件的频率。

接下来两个小时,一个婴儿都不出生的概率是0.25%,基本不可能发生。

接下来一个小时,至少出生两个婴儿的概率是80%。

泊松分布的图形大概是下面的样子。

可以看到,在频率附近,事件的发生概率最高,然后向两边对称下降,即变得越大和越小都不太可能。每小时出生3个婴儿,这是最可能的结果,出生得越多或越少,就越不可能。



02


指数分布


指数分布是事件的时间间隔的概率。下面这些都属于指数分布。

  • 婴儿出生的时间间隔

  • 来电的时间间隔

  • 奶粉销售的时间间隔

  • 网站访问的时间间隔


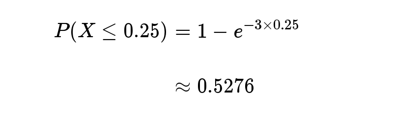
指数分布的公式可以从泊松分布推断出来。如果下一个婴儿要间隔时间 t ,就等同于 t 之内没有任何婴儿出生。

反过来,事件在时间 t 之内发生的概率,就是1减去上面的值。

接下来15分钟,会有婴儿出生的概率是52.76%。

接下来的15分钟到30分钟,会有婴儿出生的概率是24.92%。

指数分布的图形大概是下面的样子。

可以看到,随着间隔时间变长,事件的发生概率急剧下降,呈指数式衰减。想一想,如果每小时平均出生3个婴儿,上面已经算过了,下一个婴儿间隔2小时才出生的概率是0.25%,那么间隔3小时、间隔4小时的概率,是不是更接近于0?



03

总结


一句话总结:泊松分布是单位时间内独立事件发生次数的概率分布,指数分布是独立事件的时间间隔的概率分布


请注意是"独立事件",泊松分布和指数分布的前提是,事件之间不能有关联,否则就不能运用上面的公式。

[说明] 本文受到 nbviewer 文档的启发。


(正文完) 


「予人玫瑰, 手留余香」

转发既是支持帮助[遇见数学]更快发展, 非常感谢!

登录查看更多
0

相关内容

统计学(Statistics)是研究收集、分析、解读、展示及组织(collection, analysis, interpretation, presentation and organization)数据的学科,通过量化地研究随机性,从而理解数据的产生机制,并进行判别、预测、优化、决策。统计学理论和方法是很多现代科学分支的支柱,其广泛的应用深刻地影响现代生活,具有代表性的应用领域包括: 生物/医学(生物统计学,基因统计学,生物信息学,制药学等)
社会学/环境学(社会统计学,心理学,人口学,空间统计学,环境统计学等)
工业工程学(质量控制,可靠性分析等)
经济学/金融学(精算学,金融统计学等)
工程学/计算机科学(统计学习,数据挖掘,信号/图像采样/处理等)
基础科学(统计物理学,统计化学等)
【2020新书】实战R语言4,323页pdf
专知会员服务
102+阅读 · 2020年7月1日
【实用书】学习用Python编写代码进行数据分析,103页pdf
专知会员服务
198+阅读 · 2020年6月29日
一份简明有趣的Python学习教程,42页pdf
专知会员服务
77+阅读 · 2020年6月22日
【干货书】用于概率、统计和机器学习的Python,288页pdf
专知会员服务
291+阅读 · 2020年6月3日
【UCLA】基于深度神经网络的工业大模型预测控制,36页ppt
少标签数据学习,54页ppt
专知会员服务
205+阅读 · 2020年5月22日
机器学习速查手册,135页pdf
专知会员服务
345+阅读 · 2020年3月15日
GAN 为什么需要如此多的噪声?
AI科技评论
14+阅读 · 2020年3月17日
浅谈贝叶斯和MCMC
AI100
14+阅读 · 2018年6月11日
条件概率和贝叶斯公式 - 图解概率 03
遇见数学
10+阅读 · 2018年6月5日
生活中处处的贝叶斯
算法与数学之美
4+阅读 · 2018年2月19日
干货 | 一文搞懂极大似然估计
AI100
7+阅读 · 2017年12月3日
用 Python 进行贝叶斯模型建模(1)
Python开发者
3+阅读 · 2017年7月11日
[有意思的数学] 参数估计
机器学习和数学
15+阅读 · 2017年6月4日
基于LDA的主题模型实践(二 )MCMC--吉布斯采样
机器学习深度学习实战原创交流
25+阅读 · 2015年9月17日
A Survey on Bayesian Deep Learning
Arxiv
64+阅读 · 2020年7月2日
Arxiv
112+阅读 · 2020年2月5日
Parsimonious Bayesian deep networks
Arxiv
5+阅读 · 2018年10月17日
Feature Selection Library (MATLAB Toolbox)
Arxiv
7+阅读 · 2018年8月6日
Arxiv
10+阅读 · 2018年2月17日
Arxiv
3+阅读 · 2018年1月10日
VIP会员
相关VIP内容
【2020新书】实战R语言4,323页pdf
专知会员服务
102+阅读 · 2020年7月1日
【实用书】学习用Python编写代码进行数据分析,103页pdf
专知会员服务
198+阅读 · 2020年6月29日
一份简明有趣的Python学习教程,42页pdf
专知会员服务
77+阅读 · 2020年6月22日
【干货书】用于概率、统计和机器学习的Python,288页pdf
专知会员服务
291+阅读 · 2020年6月3日
【UCLA】基于深度神经网络的工业大模型预测控制,36页ppt
少标签数据学习,54页ppt
专知会员服务
205+阅读 · 2020年5月22日
机器学习速查手册,135页pdf
专知会员服务
345+阅读 · 2020年3月15日
相关资讯
GAN 为什么需要如此多的噪声?
AI科技评论
14+阅读 · 2020年3月17日
浅谈贝叶斯和MCMC
AI100
14+阅读 · 2018年6月11日
条件概率和贝叶斯公式 - 图解概率 03
遇见数学
10+阅读 · 2018年6月5日
生活中处处的贝叶斯
算法与数学之美
4+阅读 · 2018年2月19日
干货 | 一文搞懂极大似然估计
AI100
7+阅读 · 2017年12月3日
用 Python 进行贝叶斯模型建模(1)
Python开发者
3+阅读 · 2017年7月11日
[有意思的数学] 参数估计
机器学习和数学
15+阅读 · 2017年6月4日
基于LDA的主题模型实践(二 )MCMC--吉布斯采样
机器学习深度学习实战原创交流
25+阅读 · 2015年9月17日
相关论文
A Survey on Bayesian Deep Learning
Arxiv
64+阅读 · 2020年7月2日
Arxiv
112+阅读 · 2020年2月5日
Parsimonious Bayesian deep networks
Arxiv
5+阅读 · 2018年10月17日
Feature Selection Library (MATLAB Toolbox)
Arxiv
7+阅读 · 2018年8月6日
Arxiv
10+阅读 · 2018年2月17日
Arxiv
3+阅读 · 2018年1月10日
Top
微信扫码咨询专知VIP会员