机器学习(33)之局部线性嵌入(LLE)【降维】总结

2017 年 12 月 21 日 机器学习算法与Python学习

微信公众号

关键字全网搜索最新排名

【机器学习算法】:排名第一

【机器学习】:排名第一

【Python】:排名第三

【算法】:排名第四

前言

局部线性嵌入(Locally Linear Embedding,简称LLE)也是非常重要的降维方法。和传统的PCA,LDA等关注样本方差的降维方法相比,LLE关注于降维时保持样本局部的线性特征,由于LLE在降维时保持了样本的局部特征,它广泛的用于图像图像识别,高维数据可视化等领域。

什么是流形学习

LLE属于流形学习(Manifold Learning)的一种。因此我们首先看看什么是流形学习。流形学习是一大类基于流形的框架。数学意义上的流形比较抽象,不过可以认为LLE中的流形是一个不闭合的曲面。这个流形曲面有数据分布比较均匀,且比较稠密的特征,有点像流水的味道。基于流行的降维算法就是将流形从高维到低维的降维过程,在降维的过程中我们希望流形在高维的一些特征可以得到保留。


一个形象的流形降维过程如下图。有一块卷起来的布,希望将其展开到一个二维平面,同时也希望展开后的布能够在局部保持布结构的特征,其实也就是将其展开的过程,就想两个人将其拉开一样。

在局部保持布结构的特征,不同的保持方法对应不同的流形算法。比如等距映射(ISOMAP)算法在降维后希望保持样本之间的测地距离而不是欧式距离,因为测地距离更能反映样本之间在流形中的真实距离。

但等距映射算法有一个问题就是他要找所有样本全局的最优解,当数据量很大,样本维度很高时,计算非常的耗时,鉴于这个问题,LLE通过放弃所有样本全局最优的降维,只是通过保证局部最优来降维。同时假设样本集在局部是满足线性关系的,进一步减少的降维的计算量。


LLE思想

LLE首先假设数据在较小的局部是线性的,即某一个数据可以由它邻域中的几个样本来线性表示。比如我们有一个样本x1,我们在它的原始高维邻域里用K-近邻思想找到和它最近的三个样本x2,x3,x4. 然后我们假设x1可以由x2,x3,x4线性表示,即:

其中w12,w13,w14为权重系数。在通过LLE降维后,希望x1在低维空间对应的投影x1′,同时x2,x3,x4对应的投影x2′,x3′,x4′也尽量保持同样的线性关系,即

也就是说,投影前后线性关系的权重系数w12,w13,w14是尽量不变或者最小改变的。从上面可以看出,线性关系只在样本的附近起作用,离样本远的样本对局部的线性关系没有影响,因此降维的复杂度降低了很多。


LLE的推导

对于LLE,首先要确定邻域大小的选择,即需要多少个邻域样本来线性表示某个样本。假设这个值为k,可以通过和KNN一样的思想通过距离度量比如欧式距离来选择某样本的k个最近邻。


在寻找到某个样本的xi的k个最近邻之后需要找到找到xi和这k个最近邻之间的线性关系,也就是要找到线性关系的权重系数。找线性关系,这显然是一个回归问题。假设我们有m个n维样本{x1,x2,...,xm},可以用均方差作为回归问题的损失函数:即:

一般也会对权重系数wij做归一化的限制,即权重系数需要满足

对于不在样本xi邻域内的样本xj,令对应的wij=0。也就是需要通过上面两个式子求出我们的权重系数。一般可以通过矩阵和拉格朗日子乘法来求解这个最优化问题。


对于第一个式子,先将其矩阵化:

令矩阵

则第一个式子进一步简化为

对于第二个式子,我们可以矩阵化为:

现在将矩阵化的两个式子用拉格朗日子乘法合为一个优化目标:

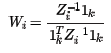
对W求导并令其值为0得:

其中 λ′=−0.5*λ为一个常数。权重系数Wi为:

现在得到了高维的权重系数,希望这些权重系数对应的线性关系在降维后的低维一样得到保持。假设n维样本集{x1,x2,...,xm}在低维的d维度对应投影为{y1,y2,...,ym}, 则我们希望保持线性关系,也就是希望对应的均方差损失函数最小,即最小化损失函数J(Y)如下:

可以看到这个式子和在高维的损失函数几乎相同,唯一的区别是高维的式子中,高维数据已知,目标是求最小值对应的权重系数W,而我们在低维是权重系数W已知,求对应的低维数据。为了得到标准化的低维数据,一般也会加入约束条件如下:

首先将目标损失函数矩阵化:

如果令M=(I−W)^T(I−W),则优化函数转变为最小化下式:J(Y)=tr(Y^TMY),tr为迹函数。约束函数矩阵化为:

Y^TY=mI

如果大家熟悉PCA的优化,就会发现这里的优化过程几乎一样。其实最小化J(Y)对应的Y就是M的最小的d个特征值所对应的d个特征向量组成的矩阵。


LLE算法流程

整个LLE算法用一张图可以表示如下:

从图中可以看出,LLE算法主要分为三步,第一步是求K近邻的过程,这个过程使用了和KNN算法一样的求最近邻的方法;第二步,就是对每个样本求它在邻域里的K个近邻的线性关系,得到线性关系权重系数W第三步就是利用权重系数来在低维里重构样本数据。


具体过程如下:

输入:样本集D={x1,x2,...,xm}, 最近邻数k,降维到的维数d

输出: 低维样本集矩阵D`


1) for i 1 to m,  按欧式距离作为度量,计算和xi最近的的k个最近邻(xi1,xi2,...,xik,)


2) for i 1 to m, 求出局部协方差矩阵Zi=(xi−xj)T(xi−xj),并求出对应的权重系数向量:


3) 由权重系数向量Wi组成权重系数矩阵W,计算矩阵M=(I−W)T(I−W)。


4) 计算矩阵M的前d+1个特征值,并计算这d+1个特征值对应的特征向量{y1,y2,...yd+1}。


5)由第二个特征向量到第d+1个特征向量所张成的矩阵即为输出低维样本集矩阵D′=(y2,y3,...yd+1) 


LLE总结

LLE是广泛使用的图形图像降维方法,实现简单,但对数据的流形分布特征有严格的要求。比如不能是闭合流形,不能是稀疏的数据集,不能是分布不均匀的数据集等等,这限制了它的应用。下面总结下LLE算法的优缺点。


优点

1)可以学习任意维的局部线性的低维流形


2)算法归结为稀疏矩阵特征分解,计算复杂度相对较小,实现容易。


缺点

1)算法所学习的流形只能是不闭合的,且样本集是稠密均匀的。


2)算法对最近邻样本数的选择敏感,不同的最近邻数对最后的降维结果有很大影响。


欢迎分享给他人让更多的人受益

参考:

  1. 周志华《机器学习》

  2. Neural Networks and Deep Learning by By Michael Nielsen

  3. 博客园

    http://www.cnblogs.com/pinard/p/6244265.html

  4. 李航《统计学习方法》

  5. Deep Learning, book by Ian Goodfellow, Yoshua Bengio, and Aaron Courville


近期热文

精华 | 12个关键词告诉你告诉你什么是机器学习(基础篇)

干货 | 自然语言处理(3)之词频-逆文本词频(TF-IDF)详解

干货 | 自然语言处理(2)之浅谈向量化与Hash-Trick

干货 | 自然语言处理(1)之聊一聊分词原理

机器学习(32)之典型相关性分析(CCA)详解 【文末有福利......】

机器学习(31)之频繁集挖掘FP Tree详解

推荐 | 机器学习经典总结,入门必读【17000字,可下载PDF】

加入微信机器学习交流

请添加微信:guodongwe1991

备注姓名-单位-研究方向


广告、商业合作

请添加微信:guodongwe1991

(备注:商务合作)

登录查看更多
7

相关内容

Locally linear embedding(LLE) 是一种非线性降维算法,它能够使降维后的数据较好地保持原有流形结构。LLE可以说是流形学习方法最经典的工作之一。很多后续的流形学习、降维方法都与LLE有密切联系。
最新《动态网络嵌入》综述论文,25页pdf
专知会员服务
138+阅读 · 2020年6月17日
【经典书】机器学习高斯过程,266页pdf
专知会员服务
200+阅读 · 2020年5月2日
机器学习速查手册,135页pdf
专知会员服务
345+阅读 · 2020年3月15日
【经典书】精通机器学习特征工程,中文版,178页pdf
专知会员服务
360+阅读 · 2020年2月15日
【新书】Pro 机器学习算法Python实现,379页pdf
专知会员服务
204+阅读 · 2020年2月11日
NLP基础任务:文本分类近年发展汇总,68页超详细解析
专知会员服务
58+阅读 · 2020年1月3日
百面机器学习!算法工程师面试宝典!| 码书
程序人生
6+阅读 · 2019年3月2日
一步步教你轻松学主成分分析PCA降维算法
干货|EM算法原理总结
全球人工智能
17+阅读 · 2018年1月10日
机器学习(30)之线性判别分析(LDA)原理详解
机器学习算法与Python学习
11+阅读 · 2017年12月6日
机器学习(29)之奇异值分解SVD原理与应用详解
机器学习算法与Python学习
6+阅读 · 2017年11月30日
机器学习(28)【降维】之sklearn中PCA库讲解与实战
机器学习算法与Python学习
8+阅读 · 2017年11月27日
机器学习(27)【降维】之主成分分析(PCA)详解
机器学习算法与Python学习
9+阅读 · 2017年11月22日
机器学习(4)之线性判别式(附Python源码)
机器学习算法与Python学习
13+阅读 · 2017年7月11日
Arxiv
5+阅读 · 2016年12月29日
VIP会员
相关VIP内容
最新《动态网络嵌入》综述论文,25页pdf
专知会员服务
138+阅读 · 2020年6月17日
【经典书】机器学习高斯过程,266页pdf
专知会员服务
200+阅读 · 2020年5月2日
机器学习速查手册,135页pdf
专知会员服务
345+阅读 · 2020年3月15日
【经典书】精通机器学习特征工程,中文版,178页pdf
专知会员服务
360+阅读 · 2020年2月15日
【新书】Pro 机器学习算法Python实现,379页pdf
专知会员服务
204+阅读 · 2020年2月11日
NLP基础任务:文本分类近年发展汇总,68页超详细解析
专知会员服务
58+阅读 · 2020年1月3日
相关资讯
百面机器学习!算法工程师面试宝典!| 码书
程序人生
6+阅读 · 2019年3月2日
一步步教你轻松学主成分分析PCA降维算法
干货|EM算法原理总结
全球人工智能
17+阅读 · 2018年1月10日
机器学习(30)之线性判别分析(LDA)原理详解
机器学习算法与Python学习
11+阅读 · 2017年12月6日
机器学习(29)之奇异值分解SVD原理与应用详解
机器学习算法与Python学习
6+阅读 · 2017年11月30日
机器学习(28)【降维】之sklearn中PCA库讲解与实战
机器学习算法与Python学习
8+阅读 · 2017年11月27日
机器学习(27)【降维】之主成分分析(PCA)详解
机器学习算法与Python学习
9+阅读 · 2017年11月22日
机器学习(4)之线性判别式(附Python源码)
机器学习算法与Python学习
13+阅读 · 2017年7月11日
Top
微信扫码咨询专知VIP会员