最近租房有点烦!技术人如何用Python找到称心如意的“小窝”?

2017 年 12 月 3 日 51CTO博客 张俊红

11 月 18 日,北京西红门镇新建二村“聚福缘公寓”突发火灾。火灾后,随之而来的是一场全北京市的“安全隐患大排查大清理大整治”风暴。


聚集着几万外来务工人员的新建村在几天之内被清理一空。很多人正面临着要重新找房子或是离开北京的问题。


违建的公寓正在消失,危房出租正在被拆,这些被“风暴”涉及到的外来上班族怎么办?只有接受现实,勇敢面对。


为了生存,为了能留在帝都,为了改变人生、出人头地,再贵的房子他们都要租,或者他们可以再寻找一处稍远点的房子。


租房的烦恼,相信大家或多或少都有过。独自一人在大都市打拼,找个温暖的小窝实属不易,租个称心又价格公道的房子是件重要的事儿。


站在技术人的角度,今天我就如何从各大租房网的房源里面,找到最称心如意的小窝做些分享,供大家参考。


在找房子的过程中我们最关心是价格和通勤距离这两个因素。关于价格方面,现在很多租房网站都有,但是这些租房网站上没有关于通勤距离的衡量。


对于我这种对帝都不是很熟的人,对各个区域的位置更是一脸懵逼。所以我就想着能不能自己计算距离呢,后来查了查还真可以。


实现思路就是:先抓取房源信息,然后获取房源的经纬度,最后根据经纬度计算公司与具体房源之间的距离。


我们在获取经纬度之前,首先需要获取各个出租房所在地的名称,这里获取的方法是用爬虫爬取链家网上的信息。


Xpath 介绍


在爬取链家网的信息的时候用的是 Xpath 库,这里对 Xpath 库做一个简单的介绍。


Xptah 是什么


Xpath 是一门在 XML 文档中查找信息的语言。Xpath 可用来在 XML 文档中对元素和属性进行遍历。


Xpath 在查找信息的时候,需要先对 requests.get() 得到的内容进行解析,这里是用 lxml 库中的 etree.HTML(html) 进行解析得到一个对象 dom_tree,然后利用 dom_tree.Xpath() 方法获取对应的信息。


Xpath 怎么用


Xpath 最常用的几个符号就是“/”、“//”这两个符号,“/”表示该标签的直接子节点,就比如说一个人的众多子女,而“//”表示该标签的后代,就比如说是一个人的众多后代(包括儿女、外甥、孙子之类的辈分)。

更多详细内容这里就不 Ctrl C/V了。


数据抓取


我们本次抓取数据的流程是先获得目标网页 url,然后利用 requests.get() 获得 html,然后再利用 lxml 库中的 etree.HTML(html) 进行解析得到一个对象 dom_tree,然后利用 dom_tree.Xpath() 方法获取对应的信息。


先分析目标网页 url 的构造,链家网的 url 构造还是很简单的,页码就是 pg 后面的数字,在租房这个栏目下一共有 100 页,所以我们循环 100 次就好啦。

还有就是明确我们要获取的信息,在前面我们说了目标是要研究公司附近的出租房信息,但是我们在租房的时候也不是仅仅考虑距离这一个因素。


这里我准备获取标题、价格、区域(大概在哪一块)、看房人数(说明该房的受欢迎程度),楼层情况(高楼层还是低楼层),房租建筑时间等等。(就是你能看到的信息差不多都要弄下来哈哈)。


开始代码部分:

得到目标网页的 url 后,对其进行解析,采用的方法是先用 lxml 库的 etree 对 response 部分进行解析,然后利用 Xpath 进行信息获取。

通过上图可以看出,我们一共抓取到 2970 条房屋信息,9columns。

经纬度的获取


我们刚刚只是获取了一些出租房的基本信息,但是我们要想计算距离还需要获得这些出租房所在的地理位置,即经纬度信息。


这里的经纬度是获取的区域层级的,即大概属于哪一个片区,本次爬取的 2970 条房屋信息分布在北京的 208 个区域/区域。


关于如何获取对应地点的经纬度信息,这里利用的 XGeocoding_v2 工具:

获取经纬度信息的地址如下:http://www.gpsspg.com/maps.htm


得到如下的结果(LATB 表示维度,LNGB 表示经度):

距离的计算


最后将距离以及区域与对应的小区拼接在一起,得到下面的结果。

进一步分析


通过 df.info() 可以看出,总共有 2454 条数据,这是在爬虫获取的 2970 条数据去重以后得到的。


在这些项中,size(房屋面积)、second_feature 以及 third_feature 均带有单位,为了后续分析方便,这里统一进行去单位(后缀)操作。

我们把后缀去掉了,Size、third_feature 和 Distance 看上去是数字,但是通过 df.info() 看出,这两个指标类型依然是 Object。为了进一步分析,我们要对它们继续进行处理。

再次通过 df.info() 看出,该是数字类型的指标全部变成了 int/float 了,可以进行下一步了。


在文章刚开头就说过,一般租房最看重的两个因素就是距离&价格,价格可以直接在那些租房网上看到,肯定是越低越好,没啥好说的。


主要是距离,关于距离,有两种选择方式,一种是先选出离你上班地最近的几个区域,然后再在该区域内具体选择;另一个是可以设定你可以接受的通勤距离,然后以这个距离作为条件,在小于等于这个距离内进行筛选。


我们这里着重以第一种为主,先选择距离最近的几个区域,然后在这几个区域内进行选择。


因为距离是按 Region 来进行计算的,而表是按 Name 来统计的,所以要想计算出距离最近的 Region,需要先把 Region 和 Distance 部分提取出来,并合并成一个 DataFrame。

可以看到,Region=“望京”距离最近,所以我们重点在该区域内选择,接下来具体看看该区域内租房情况。

通过上表可以看到在望京区域总共有 101 套房源,接下来对这 101 套房源进行深入分析。

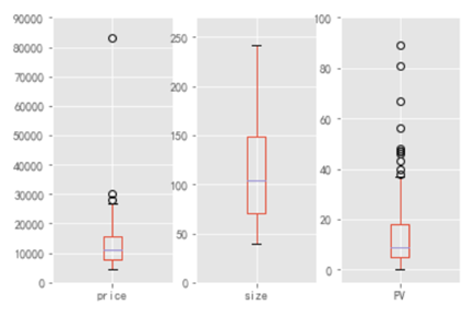
数据概览,先对该区域的租房整体情况有个认识,看到 Price 指标的下界为 5000 左右,上界接近于 30000,中位数为 10000 出头(有没有感觉到好贵哈哈哈哈),但是我们也看到有一个大于 80000 的超级异常值,我们利用截尾均值对他进行替代。


关于房屋大小,中位数为 100 平,这与 Price 中位数正好可以对应,折算下来相当于 1 平 100 大洋,在与那些 10 平左右的合租房需要 2000+ 大洋比一比,是不是觉得还是 100 平 10000 大洋便宜哈。


所以论一平米的价格的话还是整租更便宜。


先找出那个大于 80000 的异常值具体值是多少,然后进行值替换。

这是将 Price 异常值处理以后得到的箱型图,看起来就比较规范了哈。

通过上图可以看出:中楼层和高楼层的房源绝对数量基本持平,高出低楼层数量一半。


房屋修建时间也是 2003 年以后的居多,这就和前面的楼层类型可以对应上了,在刚开始的时候(2003 年以前)大部分房子都是低楼层,随着时代的进步,科技的发展,人员的增多,楼层的数量和房屋的数量也随之增加。


房屋类型上的 Top3 类型分别为:2 室 1 厅、3 室 2 厅和 1 室 1 厅。

通过上图可以看出,随着时间的推移,2003 年以后的房子的 Price 要明显高于 2003 年以前的,如果要是对价格比较敏感,可以考虑 2003 年以前的房子。

随着房屋类型的升级,价格也是随之升高,但是我们也发现,有一些三室房子的价格(下边界)要低于两室的价格的,如果对房间数量和价格都有要求的可以考虑这部分房源。

通过上图可以看到三个楼层的价格下界基本持平,但是中楼层的中位数和上界价格是要明显高于其他两个房型的,这也很正常,中楼层相比于其他两个楼层的房屋是最宜居的啦,价格贵也正常。


当然了,对于现在租房都很困难的环境下,哪还考虑什么宜居,当然是挑价格低的房型。

按 PV 进行降序,我们可以看出哪些房源是比较受欢迎,这些房源都有啥特征。

从图中可以看到,低楼层的房源数量不是最多的,但是看房次数却是最多的(最受欢迎的),可能是低楼层价格低的原因吧。


2003 年和 2007 的房源 PV 最高,这和该年代的房源绝对数量基本维持一致;两室一厅的户型最为火爆;在价格方面 10000 以下的房源比较受欢迎。

结论


通过上面的分析我们可以得出一些参考:

  • 2003 年以前的房源的价格是要低于 2003 年之后的,对价格敏感的可以考虑 2003 年以前的房源。

  • 有一些三室的房子价格是低于两室的,如果对房间数量和价格都有要求的可以考虑这部分。

  • 中楼层的价格整体上是要高于低楼层的,但是还有一部分是要比低楼层低,而且通过从 PV 最高的楼层来看,低楼层的火爆程度要比中楼层高,所以可以寻找那些不那么火爆但是价格还低的中楼层。

  • 如果希望单位面积价格最低,还是整租比较合适。


注:本次的数据为链家网的整租房源信息,非合租信息,所以你会看到价格都很高。


作者:张俊红

编辑:陶家龙、孙淑娟

投稿:有投稿、寻求报道意向技术人请联络 editor@51cto.com


张俊红,中国统计网专栏作者,个人公众号ID:zhangjunhong0428,数据分析路上的学习者与实践者,与你分享我的所见、所学、所想。

精彩文章推荐:

IT运维笔记:操着卖白粉的心,赚着卖白菜的钱!

“爆款”游戏吃鸡是如何诞生的?聊聊游戏服务器的架构演进

我用Python爬了22440条热门短评,网播60亿的《猎场》到底值不值得看?

登录查看更多
0

相关内容

XPath即为XML路径语言,它是一种用来确定XML(标准通用标记语言的子集)文档中某部分位置的语言。XPath基于XML的树状结构,提供在数据结构树中找寻节点的能力。起初 XPath 的提出的初衷是将其作为一个通用的、介于XPointer与XSLT间的语法模型。但是 XPath 很快的被开发者采用来当作小型查询语言。
【实用书】学习用Python编写代码进行数据分析,103页pdf
专知会员服务
198+阅读 · 2020年6月29日
【实用书】Python爬虫Web抓取数据,第二版,306页pdf
专知会员服务
122+阅读 · 2020年5月10日
【干货书】流畅Python,766页pdf,中英文版
专知会员服务
227+阅读 · 2020年3月22日
【经典书】Python数据数据分析第二版,541页pdf
专知会员服务
197+阅读 · 2020年3月12日
算法与数据结构Python,369页pdf
专知会员服务
166+阅读 · 2020年3月4日
【经典书】Python计算机视觉编程,中文版,363页pdf
专知会员服务
143+阅读 · 2020年2月16日
【书籍推荐】简洁的Python编程(Clean Python),附274页pdf
专知会员服务
183+阅读 · 2020年1月1日
手把手教你用R语言制作网络爬虫机器人(一)
R语言中文社区
4+阅读 · 2019年1月26日
我是一个爬虫
码农翻身
12+阅读 · 2018年6月4日
干货 | Python 爬虫的工具列表大全
机器学习算法与Python学习
11+阅读 · 2018年4月13日
为什么你应该学 Python ?
计算机与网络安全
4+阅读 · 2018年3月24日
Python 爬虫实践:《战狼2》豆瓣影评分析
数据库开发
5+阅读 · 2018年3月19日
你用 Python 做过什么有趣的数据挖掘项目?
计算机与网络安全
4+阅读 · 2018年2月11日
教你用Python爬虫股票评论,简单分析股民用户情绪
数据派THU
10+阅读 · 2017年12月12日
如何从Python起步学习AI
七月在线实验室
5+阅读 · 2017年11月28日
使用 Python 绘制《星战》词云
Datartisan数据工匠
3+阅读 · 2017年8月31日
【宁波站】网络爬虫与文本挖掘
数萃大数据
5+阅读 · 2017年7月19日
Arxiv
7+阅读 · 2019年10月6日
Music Transformer
Arxiv
5+阅读 · 2018年12月12日
Arxiv
9+阅读 · 2018年4月12日
Arxiv
7+阅读 · 2018年3月19日
VIP会员
相关VIP内容
【实用书】学习用Python编写代码进行数据分析,103页pdf
专知会员服务
198+阅读 · 2020年6月29日
【实用书】Python爬虫Web抓取数据,第二版,306页pdf
专知会员服务
122+阅读 · 2020年5月10日
【干货书】流畅Python,766页pdf,中英文版
专知会员服务
227+阅读 · 2020年3月22日
【经典书】Python数据数据分析第二版,541页pdf
专知会员服务
197+阅读 · 2020年3月12日
算法与数据结构Python,369页pdf
专知会员服务
166+阅读 · 2020年3月4日
【经典书】Python计算机视觉编程,中文版,363页pdf
专知会员服务
143+阅读 · 2020年2月16日
【书籍推荐】简洁的Python编程(Clean Python),附274页pdf
专知会员服务
183+阅读 · 2020年1月1日
相关资讯
手把手教你用R语言制作网络爬虫机器人(一)
R语言中文社区
4+阅读 · 2019年1月26日
我是一个爬虫
码农翻身
12+阅读 · 2018年6月4日
干货 | Python 爬虫的工具列表大全
机器学习算法与Python学习
11+阅读 · 2018年4月13日
为什么你应该学 Python ?
计算机与网络安全
4+阅读 · 2018年3月24日
Python 爬虫实践:《战狼2》豆瓣影评分析
数据库开发
5+阅读 · 2018年3月19日
你用 Python 做过什么有趣的数据挖掘项目?
计算机与网络安全
4+阅读 · 2018年2月11日
教你用Python爬虫股票评论,简单分析股民用户情绪
数据派THU
10+阅读 · 2017年12月12日
如何从Python起步学习AI
七月在线实验室
5+阅读 · 2017年11月28日
使用 Python 绘制《星战》词云
Datartisan数据工匠
3+阅读 · 2017年8月31日
【宁波站】网络爬虫与文本挖掘
数萃大数据
5+阅读 · 2017年7月19日
相关论文
Top
微信扫码咨询专知VIP会员