课程 | Andrew Ng 深度学习课程笔记5

2017 年 9 月 24 日 黑龙江大学自然语言处理实验室 黄广海团队

第二周:神经网络的编程基础 (Basics of Neural Network programming)


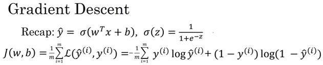
2.4 梯度下降(Gradient Descent)


梯度下降法可以做什么 ?

在你测试集上,通过最小化代价函数(成本函数)J(w,b)来训练的参数 w 和 b



如图,在第二行给出和之前一样的逻辑回归算法的代价函数(成本函数)



在这个图中,横轴表示你的空间参数 w 和 b,在实践中,w 可以是更高的维度,但是为了更好地绘图,我们定义 w 和 b 都是单一实数,代价函数(成本函数)J(w,b)是在水平轴 w和 b 上的曲面,因此曲面的高度就是 J(w,b)在某一点的函数值。我们所做的就是找到使得代价函数(成本函数)J(w,b)函数值是最小值,对应的参数 w 和 b。



如图,代价函数(成本函数)J(w,b)是一个凸函数(convex function),像一个大碗一样。



如图,这就与刚才的图有些相反,因为它是非凸的并且有很多不同的局部最小值。由于逻辑回归的代价函数(成本函数)J(w,b)特性,我们必须定义代价函数(成本函数)J(w,b)为凸函数。


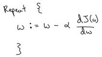
1. 初始化 w 和 和 b



可以用如图那个小红点来初始化参数 w 和 b,也可以采用随机初始化的方法,对于逻辑回归几乎所有的初始化方法都有效,因为函数是凸函数,无论在哪里初始化,应该达到同一点或大致相同的点。



我们以如图的小红点的坐标来初始化参数 w 和 b。


2. 朝最陡的下坡方向走一步,不断地迭代



我们朝最陡的下坡方向走一步,如图,走到了如图中第二个小红点处。



我们可能停在这里也有可能继续朝最陡的下坡方向再走一步,如图,经过两次迭代走到第三个小红点处。


3. 直到走到全局最优解或者接近全局最优解的地方


通过以上的三个步骤我们可以找到全局最优解,也就是代价函数(成本函数)J(w,b)这个凸函数的最小值点。


梯度下降法的细节化说明(仅有一个参数)




假定代价函数(成本函数)J(w)只有一个参数 w,即用一维曲线代替多维曲线,这样可以更好画出图像。



迭代就是不断重复做如图的公式: :=表示更新参数,α表示学习率(learning rate),用来控制步长(step),即向下走一步的长度,dJ(w)/dw 就是函数 J(w)对 w 求导(derivative),在代码中我们会使用 dw 表示这个结果。



对于导数更加形象化的理解就是斜率(slope),如图该点的导数就是这个点相切于 J(w)的小三角形的高除宽。假设我们以如图点为初始化点,该点处的斜率的符号是正的,即dJ(w)/dw>0,所以接下来会向左走一步。



整个梯度下降法的迭代过程就是不断地向左走,直至逼近最小值点。



假设我们以如图点为初始化点,该点处的斜率的符号是负的,即dJ(w)/dw<0,所以接下来会向右走一步。



整个梯度下降法的迭代过程就是不断地向右走,即朝着最小值点方向走。


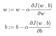
梯度下降法的细节化说明(两个参数)


逻辑回归的代价函数(成本函数)J(w,b)是含有两个参数的。



∂表示求偏导符号,可以读作 round;∂J(w,b)/ ∂w 就是函数 J(w,b)对 w 求偏导,在代码中我们会使用 dw 表示这个结果;∂J(w,b)/ ∂b 就是函数 J(w,b)对 b 求偏导,在代码中我们会使用 db 表示这个结果;小写字母 d 用在求导数(derivative),即函数只有一个参数偏导数符号∂用在求偏导(partial derivative),即函数含有两个以上的参数。



2.5 导数(Derivatives )


这个视频我主要是想帮你获得对微积分和导数直观的理解。或许你认为自从大学毕业以后再也没有接触微积分。这取决于你什么时候毕业,也许有一段时间了,如果你顾虑这点,请不要担心。为了高效应用神经网络和深度学习,你并不需要非常深入理解微积分。因此如果你观看这个视频或者以后的视频时心想:“哇哦,这些知识、这些运算对我来说很复杂。”我给你的建议是:坚持学习视频,最好下课后做作业,成功的完成编程作业,然后你就可以使用深度学习了。在第四周之后的学习中,你会看到定义的很多种类的函数,通过微积分他们能够帮助你把所有的知识结合起来,其中有的叫做前向函数和反向函数,因此你不需要了解所有你使用的那些微积分中的函数。所以你不用担心他们,除此之外在对深度学习的尝试中,这周我们要进一步深入了解微积分的细节。所有你只需要直观地认识微积分,用来构建和成功的应用这些算法。最后,如果你是精通微积分的那一小部分人群,你对微积分非常熟悉,你可以跳过这部分视频。其他同学让我们开始深入学习导数。


我在这里画了一个函数 f(a)=3a,它是一条直线。下面我们来简单理解下导数。让我们看看函数中几个点,假定 a=2,那么 f(a) 是 a 的 3 倍等于 6,也就是说如果 a=2,那么函数 f(a)=6 。假定稍微改变一点点 a 的值,只增加一点,变为 2.001,这时 a 将向右做微小的移动。0.001 的差别实在是太小了,不能在图中显示出来,我们把它右移一点,现在 f(a) 等于 a 的 3 倍是 6.003,画在图里,比例不太符合。请看绿色高亮部分的这个小三角形,如果向右移动 0.001,那么 f(a) 增加 0.003, f 的值增加 3 倍于右移的 a ,因此我们说函数 f(a) 在 a=2,是这个导数的斜率,或者说,当 a=2 时,斜率是 3。导数这个概念意味着斜率,导数听起来是一个很可怕、很令人惊恐的词,但是斜率以一种很友好的方式来描述导数这个概念。所以提到导数,我们把它当作函数的斜率就好了。更正式的斜率定义为在这个绿色的小三角形中,高除以宽。即斜率等于 0.003 除以 0.001,等于 3。或者说导数等于3,这表示当你将 a 右移 0.001,f(a) 的值增加 3 倍水平方向的量。



现在让我们从不同的角度理解这个函数。假设 a=5 ,此时 f(a)=3*a =15 。我再一次把 a 右移一个很小的幅度,增加到 5.001,f(a) 等于 15.003。再一次当 a 向右移 0.001,f(a) 增加 3 倍。所以在 a 等于 5 时,斜率是 3。所以我们将函数 f 等于 3 的斜率表示为,这就是表示,当微小改变变量 a 的值,等于 3。一个等价的导数表达式可以这样写,不管你是否将 f(a) 放在上面或者放在右边都没有关系。这些等式表示,如果将a 右移一点,那么 f(a) 增加 3 倍。在这个视频中,我讲解导数讨论的情况是我们将 a 偏移0.001,如果你想知道导数的数学定义,导数是你右移很小的 a 值(不是 0.001,而是一个非常非常小的值)。通常导数的定义是你右移 a (可度量的值)一个无限小的值,f(a) 增加 3 倍(增加了一个非常非常小的值)。也就是这个三角形右边的高度。那就是导数的正式定义。但是为了直观的认识,我们将探讨右移 a=0.001 这个值,即使 0.001 并不是无穷小的可测数据。导数的一个特性是:这个函数任何地方的斜率总是等于 3,不管 a=2 或 a=5,这个函数的斜率总等于 3,也就是说不管 a 的值如何变化,如果你增加 0.001, f(a) 的值就增加3 倍。这个函数在所有地方的斜率都相等。一种证明方式是无论你将小三角形画在哪里,它的高除以宽总是 3。


我希望带给你一种感觉:什么是斜率?什么是导函数?对于一条直线,在例子中函数的斜率,在任何地方都是 3。在下一个视频让我们看一个更复杂的例子,这个例子中函数在不同点的斜率是可变的。




         欢迎关注公众号学习交流~          


登录查看更多
0

相关内容

在数学优化,统计学,计量经济学,决策理论,机器学习和计算神经科学中,代价函数,又叫损失函数或成本函数,它是将一个或多个变量的事件阈值映射到直观地表示与该事件。 一个优化问题试图最小化损失函数。 目标函数是损失函数或其负值,在这种情况下它将被最大化。
Yann Lecun 纽约大学《深度学习(PyTorch)》课程(2020)PPT
专知会员服务
184+阅读 · 2020年3月16日
【课程推荐】 深度学习中的几何(Geometry of Deep Learning)
专知会员服务
59+阅读 · 2019年11月10日
【课程】纽约大学 DS-GA 1003 Machine Learning
专知会员服务
46+阅读 · 2019年10月29日
7个实用的深度学习技巧
机器学习算法与Python学习
16+阅读 · 2019年3月6日
深度学习面试100题(第71-75题)
七月在线实验室
5+阅读 · 2018年8月2日
深度学习面试100题(第41-45题)
七月在线实验室
15+阅读 · 2018年7月18日
吴恩达机器学习课程
平均机器
9+阅读 · 2018年2月5日
干货|深度神经网络(DNN)反向传播算法(BP)
全球人工智能
7+阅读 · 2018年1月12日
深度学习超参数简单理解
计算机视觉战队
4+阅读 · 2017年11月28日
课程笔记|吴恩达Coursera机器学习 Week1 笔记-机器学习基础
机器学习研究会
4+阅读 · 2017年10月18日
课程 | Andrew Ng 深度学习课程笔记3
黑龙江大学自然语言处理实验室
3+阅读 · 2017年9月15日
Arxiv
4+阅读 · 2020年3月27日
On Feature Normalization and Data Augmentation
Arxiv
15+阅读 · 2020年2月25日
Generalization and Regularization in DQN
Arxiv
6+阅读 · 2019年1月30日
Logically-Constrained Reinforcement Learning
Arxiv
3+阅读 · 2018年12月6日
Arxiv
22+阅读 · 2018年8月30日
Arxiv
11+阅读 · 2018年7月8日
Arxiv
11+阅读 · 2018年4月25日
Arxiv
3+阅读 · 2017年12月14日
VIP会员
相关资讯
7个实用的深度学习技巧
机器学习算法与Python学习
16+阅读 · 2019年3月6日
深度学习面试100题(第71-75题)
七月在线实验室
5+阅读 · 2018年8月2日
深度学习面试100题(第41-45题)
七月在线实验室
15+阅读 · 2018年7月18日
吴恩达机器学习课程
平均机器
9+阅读 · 2018年2月5日
干货|深度神经网络(DNN)反向传播算法(BP)
全球人工智能
7+阅读 · 2018年1月12日
深度学习超参数简单理解
计算机视觉战队
4+阅读 · 2017年11月28日
课程笔记|吴恩达Coursera机器学习 Week1 笔记-机器学习基础
机器学习研究会
4+阅读 · 2017年10月18日
课程 | Andrew Ng 深度学习课程笔记3
黑龙江大学自然语言处理实验室
3+阅读 · 2017年9月15日
相关论文
Arxiv
4+阅读 · 2020年3月27日
On Feature Normalization and Data Augmentation
Arxiv
15+阅读 · 2020年2月25日
Generalization and Regularization in DQN
Arxiv
6+阅读 · 2019年1月30日
Logically-Constrained Reinforcement Learning
Arxiv
3+阅读 · 2018年12月6日
Arxiv
22+阅读 · 2018年8月30日
Arxiv
11+阅读 · 2018年7月8日
Arxiv
11+阅读 · 2018年4月25日
Arxiv
3+阅读 · 2017年12月14日
Top
微信扫码咨询专知VIP会员