费米能级

2018 年 7 月 20 日 中科院高能所

撰文 | 张天蓉

本文为 张天蓉《硅火燎原》半导体的人和事 系列科普文章之一,经作者授权转载,如需二次转载请联系作者获取授权。

费米能级(Fermi Level)是半导体物理中的重要概念,不可不知。

前面几节中介绍的能带图,描述了晶体中的电子所可能具有的能量值。打个不十分恰当的比喻,能带图就好比是在一个蜿蜒连绵的山区中,沿着高高低低、层层重叠的山坡谷底,建造了许许多多的房子。每种晶体有各自独特的建房方案。所有这些房子都是单间房,因为电子绝不与别人同居。每间房子,电子可能住进去了,也可能还没住。电子到底住没住?住进某个房间的几率是多少?一定的条件下,电子是如何分布在这些房间中的?很遗憾,这些从能带图上看不出来。那么,哪一个参数才会告诉我们这些信息呢?这个参数就是费米能级。

所以,费米能级并不高深神秘,只是具有能量量纲的某个数值而已。不过,一个参数就能供给我们这么多的信息,这个数值也还是挺神的。

费米能级可以告诉我们电子的分布情况,所以应该和统计现象有关。

物理学中有3种不同的统计规律:波尔兹曼统计、波色爱因斯坦统计、和费米狄拉克统计。它们分别适用于三种不同性质的微观粒子:经典粒子、玻色子、和费米子。相对于经典粒子而言,玻色子和费米子服从量子力学的规律。从统计观点来看,它们和经典粒子的不同之处是在于它们的不可区分性,或者说,玻色子和费米子是全同粒子。

什么是全同粒子呢?所谓全同粒子就是质量、电荷、自旋等内在性质完全相同的粒子。以经典力学的观点,即使两个粒子的上述性质全同,它们也仍然可以从运动的不同轨道而被区分。但在量子力学中,由于测不准原理,粒子没有确定的轨道,因而当两个粒子间距大大小于它们的德布罗意波长时,就无法区分了。至于费米子和玻色子的不同秉性,我们曾经描述过一点点儿:费米子是独行侠,就像电子那样,必须每人单独住一间房,而玻色子呢,则可以群居。

3种粒子本性的不同,又如何影响它们的统计分配规律呢?让我们从一个简单的例子:两个粒子(A、B)分住三间房子(F1、F2、F3)的情况,来体会这点。


10.1

我们最熟悉的是经典粒子,就是等同于两个‘人’住3间房子的情况,可能的方案有图10中所示的9种。因此,两个经典粒子入住的方法共有9种。如果这两个粒子是费米子,则入住的方式只有1、2、3这三种。这是因为费米子遵循泡利不相容原理而排除了方案4、5、6;又因为它们无法被区分而使得7、8、9完全等同于1、2、3。对两个玻色子来说,它们也不能被区分,但可以同住一间,所以便有1到6六种分配方法。

有的读者可能会问:“一间房是什么意思呢?是不是一个能级呢?”其实不是这样,这也是从能带图上看不出来的。更确切地说,一间房是指一个量子态。不同的量子态由不同的量子数来决定。同样的能量数值,还可以有多个量子态,因为还可以有诸如角动量、自旋等等的不同。

另外,这三种粒子,还有一个共同具有的有趣性质:大家都喜欢住在低处,即能量更小的地方。特别是在温度接近绝对零度左右时,这些小粒子们的运动几乎停止了,一个个疲惫不堪,苟延残喘,只要有可能,便都拼命想往低处靠,好像越低越保险似的。所以,经典粒子和玻色子在接近00T时,全部都挤在那个最底层的大房子里,就像无家可归者挤在难民营里一样,反正又没有什么‘泡利不相容原理’来限制它们。

这时,费米子倒显出一点骨气,它们仍然坚持自己要独居的风格,井井有条地一个一个排队入住到给它们打造的‘单间’量子态中。由于它们要遵循泡利不相容原理,所以就不可能所有的电子都住在底层,底层住满后便第1、2、……地排上去。粗略地说,最后那个电子入住的房间的高度(能量)的数值,便是费米能级。为什么这儿加上个‘粗略地说’呢,这是因为要精确地定义费米能级,是需要用点不怎么讨人喜欢的公式的。

总之,大家现在明白了,费米能级的概念的确很简单,不就是一个能量数值的标准吗。从刚才所说的意思,假设任何高度都连续地建有房间的话,那么,在这个标准之下,房间全被住满了;而在这个标准之上的房间则全部空着。

以上的理解完全正确。不过,刚才所说的是接近绝对零度时的情况。如果温度升高一些,情况则略有不同。温度升高了,电子的动能增加了,它们不像原来那么老实了,而是在房间里跳来跳去,也不太屑于那种要‘住得低一些’的老观念,而是四处窥探有无可乘之机!住在比较下面的电子伸头一看,周围房间上上下下全都住满了,太高的地方又跳不上去,所以,只好仍然规规矩矩地在原处待着,集聚更多的内力,等待温度再升高。而那些靠近费米能级、原来就住得比较高的电子就有所希望啦。它们有的已经蹦到比费米能级还高的地方去了。温度越高,电子上蹦成功的可能性就越大。

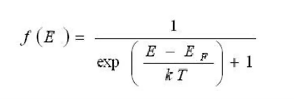
所以,当绝对温度T不为0的时候,费米能级并不是‘住了电子’,还是‘没住电子’的分界线。但是,对这种情况,物理学家费米和狄拉克,各自独立地导出了一个同样的公式。看,公式终于出现了,这就是我们现在称之为费米狄拉克统计分布的公式:

        (10.1)

公式(10.1)中的EF就是费米能级,f(E)是占据能量为E量子态的电子数目。所以说,费米能级虽然只是一个数,但是,知道了这个数,就知道了在某一个温度下,电子入住各个房间的分配情况。这些房间的高度(E)可以低于费米能级,也可以高于费米能级,只是电子住或不住的几率有所不同而已。这儿的‘几率’便与表达式(10.1)有关。

综上所述,温度升高时,只有费米能级附近的电子才容易跳来蹦去,参与热跃迁,或产生电荷的输运过程。而这也正是固体表现导电或不导电,决定各种物理性质的机制所在。所以,在能带图中,我们感兴趣的也只是费米能级附近的能带结构,因为它们决定了电子(或空穴)的输运性质。


10.2:费米能级在不同材料能带图中的位置

在上一节中我们描述了第一布里渊区,它是波矢空间中的一块区域。在波矢空间中还定义了另一个与费米能级有关的区域,叫做费米面。

又有点迷惑吧?费米能级不是一个数吗,怎么又变成一个面了呢?一个数变成一个面其实不难,比如说,给你一个数作为半径,你立刻可以在三维空间中画出一个球面来。费米面也是用这样类似方法画出来的,只不过不是在真实的三维坐标空间中画,而是在三维的波矢空间(k空间)里画的。换句话说,费米面是在k空间中的一个等能量面,这个面上的点的k值(kx,ky,kz)不同,但对应的能量数值却是相同的,等于费米能级与最低能量态的差别,或称‘费米能’。

这里需要提醒读者注意:我们从费米狄拉克统计规律(10.1),定义了‘费米能级(FermiLevel)’,刚才又提到‘费米能(Fermi Energy)’。这在某些场合,比如处理费米气体的情况,是相关但不完全相同的两个概念。不过在半导体文献中却经常被混淆地用作同义词。因此,我们也不严格区分它们,只不过一般只说‘费米能级’。

现在,考察一下第7节中讨论过的自由电子,也就是忽略晶格离子作用时,能带为抛物线的那种情况。这时,能量正比于k矢量绝对值的平方,因此,等能量面都是球面,自由电子的费米面没有例外,当然也是球面。既然自由电子的费米面是球面,也就有了费米球、费米海、费米半径之类的相应定义。


《硅火燎原》系列

  1. 半导体的人和事

  2. 电光闪烁的物理世家

  3. 猫胡子侦测器

  4. 闪电大师特斯拉

  5. 点石成金——半导体的掺杂性

  6. 从道尔顿到原子电影

  7. 能级和能带

  8. 倒格子空间

  9. 布洛赫波和布里渊区



登录查看更多
0

相关内容

物理学(Physics)是一门形式科学,主要研究的是时空中的物质及其运动的模型,包括能量和作用力等所有相关概念。更广义地说,物理学探索分析大自然所发生的现象,目的是要了解其规则。 话题图片由 张明明 知友制作。
AI创新者:破解项目绩效的密码
专知会员服务
35+阅读 · 2020年6月21日
【元图(Meta-Graph):元学习小样本连接预测】
专知会员服务
65+阅读 · 2020年5月31日
最新《机器学习理论初探》概述
专知会员服务
48+阅读 · 2020年5月19日
【干货书】数值计算C编程,319页pdf,Numerical C
专知会员服务
72+阅读 · 2020年4月7日
阿里巴巴达摩院发布「2020十大科技趋势」
专知会员服务
108+阅读 · 2020年1月2日
物理学家终于找到了一种拯救薛定谔猫的方法
中科院物理所
8+阅读 · 2019年6月10日
可能是讲分布式系统最到位的一篇文章
InfoQ
8+阅读 · 2018年11月19日
为什么“高大上”的算法工程师变成了数据民工?
数据挖掘入门与实战
5+阅读 · 2018年2月25日
关于医学影像背后的科学,你都知道多少?
中科院物理所
3+阅读 · 2017年12月14日
酒鬼漫步的数学——随机过程 | 张天蓉专栏
知识分子
10+阅读 · 2017年8月13日
这位程序员为什么要弃用Facebook?
CSDN
5+阅读 · 2017年7月14日
VIP会员
相关VIP内容
AI创新者:破解项目绩效的密码
专知会员服务
35+阅读 · 2020年6月21日
【元图(Meta-Graph):元学习小样本连接预测】
专知会员服务
65+阅读 · 2020年5月31日
最新《机器学习理论初探》概述
专知会员服务
48+阅读 · 2020年5月19日
【干货书】数值计算C编程,319页pdf,Numerical C
专知会员服务
72+阅读 · 2020年4月7日
阿里巴巴达摩院发布「2020十大科技趋势」
专知会员服务
108+阅读 · 2020年1月2日
Top
微信扫码咨询专知VIP会员