源码解析 | 图像质量损失函数SSIM Loss的原理详解和代码具体实现

2019 年 6 月 2 日 人工智能前沿讲习班


首先,本文解读一篇2004年的文献:Image Quality Assessment: From Error Visibility to Structural Similarity 。该文献提出了一种衡量重建图像和原图的相似性的metric:Structural Similarity (SSIM),这个 metric 被广泛采纳,至今已经有两万多引用量了。然后,本文将提炼论文内容,结合 skimage 下的代码讲解 SSIM metric 的具体实现,并给出 SSIM Loss在pytorch下的代码链接。


作者:SIGAI人工智能平台

出处:SIGAI人工智能平台

公众号:SIGAI


背景

在图像重建、压缩领域,有很多算法可以计算输出图像与原图的差距,其中最常用的一种是 Mean Square Error loss(MSE)。它的计算公式很简单:

就是 element-wise 地计算重建图像与输入图像的像素差的平方,然后在全图上求平均。

但作者认为,传统基于 MSE 的损失不足以表达人的视觉系统对图片的直观感受。例如有时候两张图片只是亮度不同,但是之间的 MSE loss 相差很大。而一幅很模糊与另一幅很清晰的图,它们的 MSE loss 可能反而相差很小。下面举个小例子:

import cv2import numpy as npimport matplotlib.pyplot as plt
origin = cv2.imread('c.png', 0)dark = (origin*0.9).astype('uint8')blur = cv2.GaussianBlur(origin, (5,5), 0)
mse_dark = np.mean((origin-dark)**2)mse_blur = np.mean((origin-blur)**2)
fig, axes = plt.subplots(1, 3)axes[0].imshow(origin, 'gray')axes[0].title.set_text('origin')axes[0].axis('off')
axes[1].imshow(dark, 'gray')axes[1].title.set_text('0.9 dark mse: {:.2f}'.format(mse_dark))axes[1].axis('off')
axes[2].imshow(blur, 'gray')axes[2].title.set_text('blur mse: {:.2f}'.format(mse_blur))axes[2].axis('off')
plt.show()
print('MSE dark : {}'.format(mse_dark))print('MSE blur : {}'.format(mse_blur))

从图中可以看出 MSE 反映的距离和我们人类的直观感受有很大区别

上图左侧为原图,中间为把灰度值调整为原来 0.9 的图,右侧为高斯模糊后的图。我们人眼明显感觉到中间的图比右边的图清晰,然而 MSE 距离显示,右侧的图与原图的距离远小于中间的图与原图的距离,即右侧的图质量比中间的高。

作者结合神经科学的研究,认为我们人类衡量两幅图的距离时,更偏重于两图的结构相似性,而不是逐像素计算两图的差异。因此作者提出了基于 structural similarity 的度量,声称其比 MSE 更能反映人类视觉系统对两幅图相似性的判断。

那么作者是怎么做的呢?



图像的 Structural Similarity

作者把两幅图 xy 的相似性按三个维度进行比较:亮度(luminance)l(x,y),对比度(contrast)c(x,y),和结构(structure)s(x,y)。最终 x 和 y 的相似度为这三者的函数:

作者设计了三个公式定量计算这三者的相似性,公式的设计遵循三个原则:

  1. 对称性:

  2. 有界性:

  3. 极限值唯一: 当且仅当 x = y

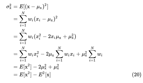
首先研究亮度。如果一幅图有 N 个像素点,每个像素点的像素值为  ,那么该图像的平均亮度为:

作者用如下公式衡量两幅图 x 和 的亮度相似度:

这里  是为了防止分母为零的情况,且:

其中  是一个常数,具体代码中的取值为 0.01,是灰度的动态范围,由图像的数据类型决定,如果数据为 uint8 型,则 L=255。可以看出,公式 (4) 对称且始终小于等于1,当 x = y 时为1。

接下来研究对比度。所谓对比度,就是图像明暗的变化剧烈程度,也就是像素值的标准差。其计算公式为:

对比度的相似度公式和公式 (4) 极为相似,只不过把均值换成了方差,作者定义:

其中:

 一般在代码中取 0.03。公式 (7) 也对称且小于等于1,当 x = y 时等号成立。

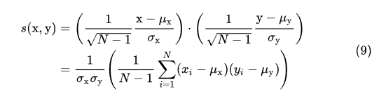
最后研究结构相似度。需要注意的是,对一幅图而言,其亮度和对比度都是标量,而其结构显然无法用一个标量表示,而是应该用该图所有像素组成的向量来表示。同时,研究结构相似度时,应该排除亮度和对比度的影响,即排除均值和标准差的影响。归根结底,作者研究的是归一化的两个向量: 和  之间的关系。根据均值与标准差的关系,可知这两个向量的模长均为  。因此它们的余弦相似度为:

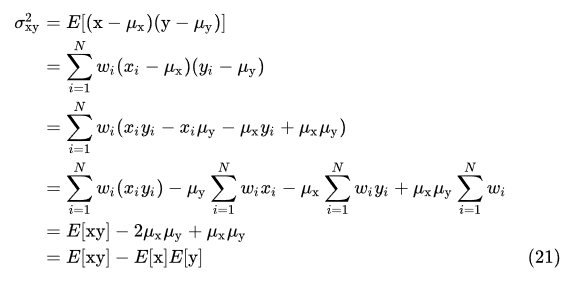
上式中第二行括号内的部分为协方差公式:

同样为了防止分母为0,分子分母同时加 

结合 (4) (7) (11),作者定义两图的相似度公式为:

令  ,  的分子和  的分母可以约分,最终得到 SSIM 的公式:

因此,可以结合公式 (3) (6) (10) (13) 计算两个向量 xy 的 structural similarity,。



Mean Structural Similarity

然而,上面的 SSIM 不能用于一整幅图。因为在整幅图的跨度上,均值和方差往往变化剧烈;同时,图像上不同区块的失真程度也有可能不同,不能一概而论;此外类比人眼睛每次只能聚焦于一处的特点。作者采用 sliding window 以步长为 1 计算两幅图各个对应 sliding window 下的 patch 的 SSIM,然后取平均值作为两幅图整体的 SSIM,称为 Mean SSIM。简写为 MSSIM(注意和后续出现的 multi-scale SSIM:MS-SSIM 作区分)。

代码中,计算每个 patch 的均值和方差时,作者采用了方差为 1.5 的高斯卷积核作加权平均,滑窗大小为 11*11 。

如果像素  对应的高斯核权重为  。那么加权均值,方差,协方差的公式为:

假如整幅图有 M 个 patch,那么 MSSIM 公式为:

在具体研究代码之前,我们先调用一下  skimage.measure 下的 compare_ssim 看看 MSSIM 的效果是不是比 MSE 好。同样以开头的两图为例:

import cv2import numpy as npimport matplotlib.pyplot as pltfrom skimage.measure import compare_ssim
origin = cv2.imread('c.png', 0)dark = (origin*0.9).astype('uint8')blur = cv2.GaussianBlur(origin, (5,5), 0)
# mse_dark = np.mean((origin-dark)**2)# mse_blur = np.mean((origin-blur)**2)ssim_dark = compare_ssim(origin, dark)ssim_blur = compare_ssim(origin, blur)
fig, axes = plt.subplots(1, 3)axes[0].imshow(origin, 'gray')axes[0].title.set_text('origin')axes[0].axis('off')
axes[1].imshow(dark, 'gray')axes[1].title.set_text('0.9 dark ssim: {:.2f}'.format(ssim_dark))axes[1].axis('off')
axes[2].imshow(blur, 'gray')axes[2].title.set_text('blur ssim: {:.2f}'.format(ssim_blur))axes[2].axis('off')
plt.show()
print('SSIM dark : {}'.format(ssim_dark))print('SSIM blur : {}'.format(ssim_blur))

运行结果如下图所示:

中间单纯调节亮度的图片和原图的相似性大于高斯模糊后的图,符合人类的感受

我们发现单纯调节亮度后,中间的图和原图的相似度仍然是 0.99 ,而高斯模糊后的图,和原图的相似性只有 0.85,果然 MSSIM 比 MSE 效果要好。



skimage 代码实现

详细代码请直接看 skimage 的源码,这里限于篇幅只复制粘贴本人认为重要的部分。此外由于 pytorch 自带的自动求导机制,我们不必手推求导公式,本文将忽略 skimage 代码中 MSSIM 对输入图像求梯度的部分。感兴趣的可以参考 skimage 给出的文献[2]:Avanaki, A. N. (2009). Exact global histogram specification optimized for structural similarity.

import numpy as npfrom scipy.ndimage import uniform_filter, gaussian_filter
from skimage.util.dtype import dtype_rangefrom skimage.util.arraypad import crop

def compare_ssim(X, Y, win_size=None, dynamic_range=None, gaussian_weights=False, full=False, **kwargs):
# 下面三个参数都是原始论文中给定的 K1 = 0.01 K2 = 0.03 sigma = 1.5
# 计算方差和协方差时,采用无偏估计(除以 N-1) # 数学上虽然好看,但其实影响不大 use_sample_covariance = True
if win_size is None: # 两种计算均值的方式,第一种是计算高斯加权后的均值和方差、协方差 # 第二种是直接计算这三个统计量 # 两种方式对应的滑窗尺寸不同 if gaussian_weights: win_size = 11 # 11 to match Wang et. al. 2004 else: win_size = 7 # backwards compatibility
if not (win_size % 2 == 1): # 滑窗边长必须是奇数,保证有中心像素 raise ValueError('Window size must be odd.')
if dynamic_range is None: # 根据图像数据类型确定动态范围 # 如果是 uint8 型则为 0 到 255 # 如果是 float 型则为 -1 到 1 dmin, dmax = dtype_range[X.dtype.type] dynamic_range = dmax - dmin
# 灰度图像为 2,彩色图像为3, # 但计算彩色图像的 MSSIM 时,其实是把它分解为各个通道的灰度图像分别计算,然后再求平均 ndim = X.ndim
# 确定到底采用哪种类型的滑窗 if gaussian_weights: # sigma = 1.5 to approximately match filter in Wang et. al. 2004 # this ends up giving a 13-tap rather than 11-tap Gaussian filter_func = gaussian_filter filter_args = {'sigma': sigma}
else: filter_func = uniform_filter filter_args = {'size': win_size}
# ndimage filters need floating point data # 把 uint8 型数据转为 float 型 X = X.astype(np.float64) Y = Y.astype(np.float64) # 滑窗所覆盖的像素点的个数 NP = win_size ** ndim
# filter has already normalized by NP if use_sample_covariance: # filter 函数求的是在 NP 个点上的平均 # 现在想要无偏估计,则需要乘以 NP 再重新除以 NP-1 cov_norm = NP / (NP - 1) # sample covariance else: cov_norm = 1.0 # population covariance to match Wang et. al. 2004
# compute (weighted) means # 计算两幅图的平均图,ux,uy 的每个像素代表以它为中心的滑窗下所有像素的均值(加权) E(X), E(Y) ux = filter_func(X, **filter_args) uy = filter_func(Y, **filter_args)
# compute (weighted) variances and covariances # 计算 E(X^2), E(Y^2) uxx = filter_func(X * X, **filter_args) uyy = filter_func(Y * Y, **filter_args) # 计算 E(XY) uxy = filter_func(X * Y, **filter_args) # sigma_x^2 = E(x^2)-E(x)^2,下文会给出推导 vx = cov_norm * (uxx - ux * ux) # sigma_y^2 = E(y^2)-E(y)^2 vy = cov_norm * (uyy - uy * uy) # cov(x,y) = E(xy)-E(x)E(y),下文会给出推导 vxy = cov_norm * (uxy - ux * uy)
R = dynamic_range # paper 中的公式 C1 = (K1 * R) ** 2 C2 = (K2 * R) ** 2 # paper 中的公式 A1, A2, B1, B2 = ((2 * ux * uy + C1, 2 * vxy + C2, ux ** 2 + uy ** 2 + C1, vx + vy + C2)) D = B1 * B2 S = (A1 * A2) / D
# to avoid edge effects will ignore filter radius strip around edges # 截去边缘部分,因为卷积得到的边缘部分的均值并不准确,是靠扩充边缘像素的方式得到的。 pad = (win_size - 1) // 2
# compute (weighted) mean of ssim # 计算 SSIM 的均值 mssim = crop(S, pad).mean()
if full: return mssim, S else: return mssim

skimage 的源码十分简洁明了,唯一需要知道的数学公式大概是:

非加权平均包含在加权平均的情况之下,因此这里只推导加权的情况,若  为权重,根据 (15):

想求图像的方差,只需做两次卷积,一次是对原图卷积,一次是对原图的平方卷积,然后用后者减去前者的平方即可。

根据 (16):

求两图的协方差,只需做三次卷积,第一次是对两图的乘积卷积,第二次和第三次分别对两图本身卷积,然后用第一次的卷积结果减去第二、三次卷积结果的乘积。



Pytorch 实现

下面的链接是计算 SSIM 的 pytorch 代码:https://github.com/Po-Hsun-Su/pytorch-ssim/blob/master/pytorch_ssim/__init__.py如果看懂了 skimage 的代码,相信你肯定也能理解这个代码。该代码只实现了高斯加权平均,没有实现普通平均,但后者也很少用到。

对比 SSIM 损失与 MSE 损失,SSIM 收敛更快,而且初期就能捕捉到图片的结构信息,随着迭代次数的增加,随机噪声很快消失了。而 MSE 只是单纯独立地优化每个像素点,导致即使到后期,画面上仍然出现很多噪点。


-----END-----



点击文末阅读原文 或 扫描上方二维码报名

历史文章推荐



你正在看吗?👇

登录查看更多
7

相关内容

《深度学习》圣经花书的数学推导、原理与Python代码实现
必读的10篇 CVPR 2019【生成对抗网络】相关论文和代码
专知会员服务
33+阅读 · 2020年1月10日
【ICIP2019教程-NVIDIA】图像到图像转换,附7份PPT下载
专知会员服务
55+阅读 · 2019年11月20日
【书籍】深度学习框架:PyTorch入门与实践(附代码)
专知会员服务
167+阅读 · 2019年10月28日
如何选择合适的损失函数,请看......
算法与数学之美
5+阅读 · 2019年9月8日
度量学习中的pair-based loss
极市平台
65+阅读 · 2019年7月17日
人脸识别损失函数综述(附开源实现)
极市平台
29+阅读 · 2019年3月12日
详解常见的损失函数
七月在线实验室
20+阅读 · 2018年7月12日
CNN图像风格迁移的原理及TensorFlow实现
数据挖掘入门与实战
5+阅读 · 2018年4月18日
风格迁移原理及tensorflow实现-附代码
机器学习研究会
19+阅读 · 2018年3月25日
实战 | 40行代码实现人脸识别
七月在线实验室
3+阅读 · 2018年3月7日
tensorflow系列笔记:流程,概念和代码解析
北京思腾合力科技有限公司
30+阅读 · 2017年11月11日
SAR成像原理及图像鉴赏
无人机
21+阅读 · 2017年8月14日
Arxiv
8+阅读 · 2018年5月1日
Arxiv
8+阅读 · 2018年4月8日
Arxiv
4+阅读 · 2018年2月13日
Arxiv
5+阅读 · 2018年1月30日
VIP会员
相关资讯
如何选择合适的损失函数,请看......
算法与数学之美
5+阅读 · 2019年9月8日
度量学习中的pair-based loss
极市平台
65+阅读 · 2019年7月17日
人脸识别损失函数综述(附开源实现)
极市平台
29+阅读 · 2019年3月12日
详解常见的损失函数
七月在线实验室
20+阅读 · 2018年7月12日
CNN图像风格迁移的原理及TensorFlow实现
数据挖掘入门与实战
5+阅读 · 2018年4月18日
风格迁移原理及tensorflow实现-附代码
机器学习研究会
19+阅读 · 2018年3月25日
实战 | 40行代码实现人脸识别
七月在线实验室
3+阅读 · 2018年3月7日
tensorflow系列笔记:流程,概念和代码解析
北京思腾合力科技有限公司
30+阅读 · 2017年11月11日
SAR成像原理及图像鉴赏
无人机
21+阅读 · 2017年8月14日
Top
微信扫码咨询专知VIP会员