RSGAN:对抗模型中的“图灵测试”思想

2018 年 10 月 29 日 PaperWeekly


作者丨苏剑林

单位丨广州火焰信息科技有限公司

研究方向丨NLP,神经网络

个人主页丨kexue.fm


这两天无意间发现一个非常有意义的工作,称为“相对GAN”,简称 RSGAN,来自文章 The relativistic discriminator: a key element missing from standard GAN,据说该文章还得到了 GAN 创始人 Goodfellow 的点赞。这篇文章提出了用相对的判别器来取代标准 GAN 原有的判别器,使得生成器的收敛更为迅速,训练更为稳定。 




可惜的是,这篇文章仅仅从训练和实验角度对结果进行了论述,并没有进行更深入的分析,以至于不少人觉得这只是 GAN 训练的一个 trick。但是在笔者看来,RSGAN 具有更为深刻的含义,甚至可以看成它已经开创了一个新的 GAN 流派。所以,笔者决定对 RSGAN 模型及其背后的内涵做一个基本的介绍。不过需要指出的是,除了结果一样之外,本文的介绍过程跟原论文相比几乎没有重合之处。


“图灵测试”思想


SGAN


SGAN 就是标准的 GAN(Standard GAN)。就算没有做过 GAN 研究的读者,相信也从各种渠道了解到 GAN 的大概原理:“造假者”不断地进行造假,试图愚弄“鉴别者”;“鉴别者”不断提高鉴别技术,以分辨出真品和赝品。两者相互竞争,共同进步,直到“鉴别者”无法分辨出真、赝品了,“造假者”就功成身退了。 


在建模时,通过交替训练实现这个过程:固定生成器,训练一个判别器(二分类模型),将真实样本输出 1,将伪造样本输出 0;然后固定判别器,训练生成器让伪造样本尽可能输出 1,后面这一步不需要真实样本参与。


问题所在


然而,这个建模过程似乎对判别器的要求过于苛刻了,因为判别器是孤立运作的:训练生成器时,真实样本没有参与,所以判别器必须把关于真实样本的所有属性记住,这样才能指导生成器生成更真实的样本。


在生活实际中,我们并不是这样做的,所谓“没有对比就没有伤害,没有伤害就没有进步”,我们很多时候是根据真、赝品的对比来分辨的。比如识别一张假币,可能需要把它跟一张真币对比一下;识别山寨手机,只需要将它跟正版手机对比一下就行了;等等。类似地,如果要想把赝品造得更真,那么需要把真品放在一旁不断地进行对比改进,而不是单单凭借“记忆”中的真品来改进。


“对比”能让我们更容易识别出真、赝品出来,从而更好地制造赝品。而在人工智能领域,我们知道有非常著名的“图灵测试”,指的是测试者在无法预知的情况下同时跟机器人和人进行交流,如果测试者无法成功分别出人和机器人,那么说明这个机器人已经(在某个方面)具有人的智能了。“图灵测试”也强调了对比的重要性,如果机器人和人混合起来后就无法分辨了,那么说明机器人已经成功了。


接下来我们将会看到,RSGAN 就是基于“图灵测试”的思想的:如果鉴别器无法鉴别出混合的真假图片,那么生成器就成功了;而为了生成更好的图片,生成器也需要直接借助于真实图片。


RSGAN基本框架


SGAN分析


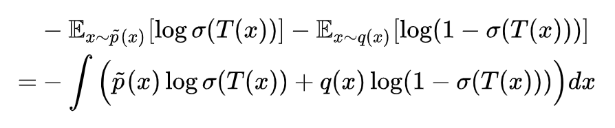
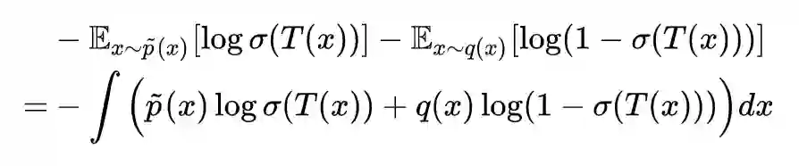
首先,我们来回顾一下标准 GAN 的流程。设真实样本分布为 p̃(x),伪造样本分布为 q(x),那么固定生成器后,我们来优化判别器 T(x):



这里的 σ 就是 sigmoid 激活函数。然后固定判别器,我们优化生成器 G(z): 



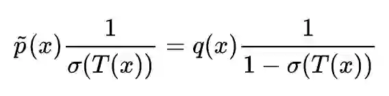
注意这里我们有个不确定 h,我们马上就来分析它。从 (1) 我们可以解出判别器的最优解满足(后面有补充证明):



代入 (2),可以发现结果为:



写成最后一个等式,是因为只需要设 f(t)=h(log(t)),就能够看出它具有 f 散度的形式。也就是说,最小化 (2) 就是在最小化对应的 f 散度。关于 f 散度,可以参数我之前写的 f-GAN 简介:GAN 模型的生产车间 [1]


f 散度中的 f 的本质要求是 f 是一个凸函数,所以只需要选择 h 使得 h(log(t)) 为凸函数就行。最简单的情况是 h(t)=−t,对应 h(log(t))=−logt 为凸函数,这时候 (2) 为:



类似的选择有很多,比如当 h(t)=−logσ(t) 时,也是凸函数(t>0 时),所以:



也是一个合理的选择,它便是 GAN 常用的生成器 loss 之一。类似地还有 h(t)=log(1−σ(t)),这些选择就不枚举了。


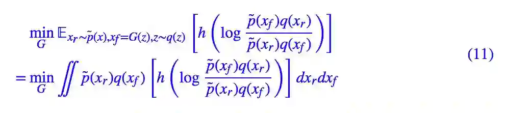
RSGAN目标


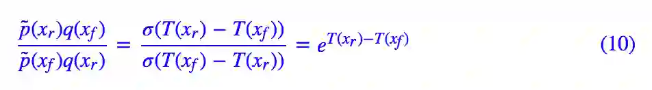
这里,我们先直接给出 RSGAN 的优化目标:固定生成器后,我们来优化判别器 T(x):



这里的 σ 就是 sigmoid 激活函数。然后固定判别器,我们优化生成器 G(z):



跟 SGAN 一样,我们这里保留了一般的 h,h 的要求跟前面的 SGAN 的讨论一致。而 RSGAN 原论文的选择是:



看上去就是把 SGAN 的判别器的两项换成一个相对判别器了,相关的分析结果有什么变化呢?


理论结果


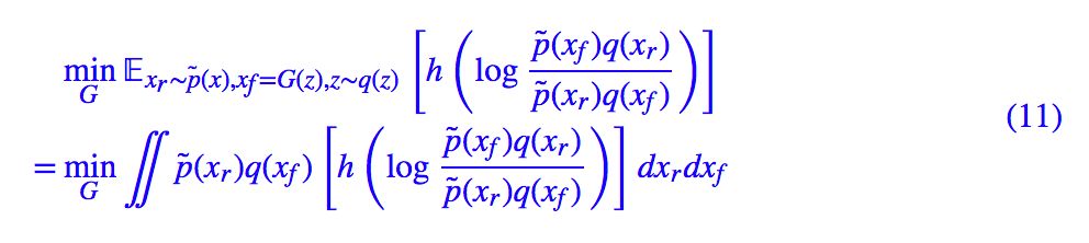
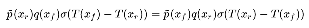
通过变分法(后面有补充证明)可以得到,(7) 的最优解为:



代入到 (8),结果是:



这个结果便是整个 RSGAN 的精华所在了,它优化的是 p̃(Xr)q(Xf) 与 p̃(Xf)q(Xr) 的 f 散度! 


这是什么意思呢?它就是说,假如我从真实样本采样一个 Xr 出来,从伪造样本采样一个 Xf 出来,然后将它们交换一下,把假的当成真,真的当成假,那么还能分辨出来吗?换言之:p̃(Xf)q(Xr) 有大变化吗? 


假如没有什么变化,那就说明真假样本已经无法分辨了,训练成功,假如还能分辨出来,说明还需要借助真实样本来改善伪造样本。所以,式 (11) 就是 RSGAN 中的“图灵测试”思想的体现:打乱了数据,是否还能分辨出来?


模型效果分析


作者在原论文中还提出了一个 RaSGAN,a 是 average 的意思,就是用整个 batch 的平均来代替单一的真/伪样本。但我觉得这不是一个特别优雅的做法,而且论文也表明 RaSGAN 的效果并非总是比 RSGAN 要好,所以这就不介绍了,有兴趣的读者看看原论文即可。 


至于效果,论文中的效果列表显示,RSGAN 在不少任务上都提升了模型的生成质量,但这并非总是这样,平均而言有轻微的提升吧。作者特别指出的是 RSGAN 能够加快生成器的训练速度,我个人也实验了一下,比 SGAN、SNGAN 都要快一些。


我的参考代码:


https://github.com/bojone/gan/blob/master/keras/rsgan_sn_celeba.py


借用 MingtaoGuo [2] 的一张图来对比 RSGAN 的收敛速度:


 RSGAN收敛速度对比


从直观来看,RSGAN 更快是因为在训练生成器时也借用了真实样本的信息,而不仅仅通过判别器的“记忆”;从理论上看,通过 T(Xr)、T(Xf) 作差的方式,使得判别器只依赖于它们的相对值,从而简单地改善了判别器 T 可能存在的偏置情况,使得梯度更加稳定。甚至我觉得,把真实样本也引入到生成器的训练中,有可能(没仔细证明)提升伪造样本的多样性,因为有了各种真实样本来对比,模型如果只生成单一样本,也很难满足判别器的对比判别标准。


相关话题讨论


简单总结


总的来说,我觉得 RSGAN 是对 GAN 的改进是从思想上做了改变的,也许 RSGAN 的作者也没有留意到这一点。 


我们经常说,WGAN 是 GAN 之后的一大突破,这没错,但这个突破是理论上的,而在思想上还是一样,都是在减少两个分布的距离,只不过以前用 JS 散度可能有各种问题,而 WGAN 换用了 Wasserstein 距离。


我觉得 RSGAN 更像是一种思想上的突破——转化为真假样本混淆之后的分辨——尽管效果未必有大的进步。(当然你要是说大家最终的效果都是拉近了分布距离,那我也没话说)。 


RSGAN 的一些提升是容易重现的,当然由于不是各种任务都有提升,所以也有人诟病这不过是 GAN 训练的一个 trick。这些评论见仁见智吧,不妨碍我对这篇论文的赞赏和研究。 


对了,顺便说一下,作者 Alexia Jolicoeur-Martineau [3] 是犹太人总医院(Jewish General Hospital)的一名女生物统计学家,论文中的结果是她只用一颗 1060 跑出来的 [4]。我突然也为我只有一颗 1060 感到自豪了,然而我有 1060 但我并没有 paper。


延伸讨论


最后胡扯一些延伸的话题。 


首先,可以留意到,WGAN 的判别器 loss 本身就是两项的差的形式,也就是说 WGAN 的判别器就是一个相对判别器,作者认为这是 WGAN 效果好的重要原因。 


这样看上去 WGAN 跟 RSGAN 本身就有一些交集,但我有个更进一步的想法,就是基于 p̃(xr)q(xf) 与p̃(xf)q(xr) 的比较能否完全换用 Wasserstein 距离来进行?我们知道 WGAN 的生成器训练目标也是跟真实样本没关系的,怎么更好地将真实样本的信息引入到 WGAN 的生成器中去? 


还有一个问题,就是目前作差仅仅是判别器最后输出的标量作差,那么能不能是判别器的某个隐藏层作差,然后算个 mse 或者再接几层神经网络?总之,我觉得这个模型的事情应该还没完。


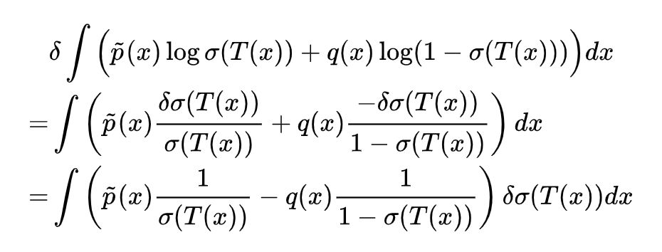
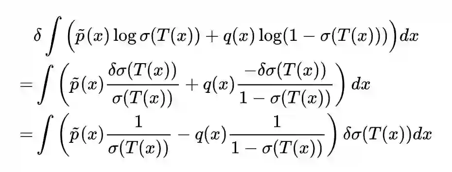
补充证明


(1) 的最优解



变分用 δ 表示,跟微分基本一样:



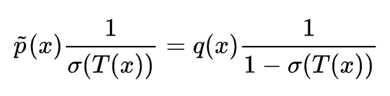
极值在变分为 0 时取到,而 δσ(T(x)) 代表任意增量,所以如果上式恒为 0,意味着括号内的部分恒为 0,即:



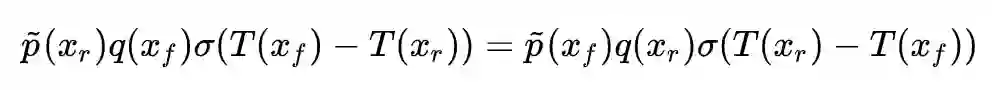
(7) 的最优解



变分上式:



极值在变分为 0 时取到,所以方括号内的部分恒为 0,即:



相关链接


[1]. https://kexue.fm/archives/6016

[2]. https://github.com/MingtaoGuo/DCGAN_WGAN_WGAN-GP_LSGAN_SNGAN_RSGAN_RaSGAN_TensorFlow

[3]. https://scholar.google.com/citations?user=0qytQ1oAAAAJ&hl=en

[4]. https://www.reddit.com/r/MachineLearning/comments/8vr9am/r_the_relativistic_discriminator_a_key_element/e1ru76p




点击以下标题查看作者其他文章: 



关于PaperWeekly


PaperWeekly 是一个推荐、解读、讨论、报道人工智能前沿论文成果的学术平台。如果你研究或从事 AI 领域,欢迎在公众号后台点击「交流群」,小助手将把你带入 PaperWeekly 的交流群里。


▽ 点击 | 阅读原文 | 查看作者博客

登录查看更多
0

相关内容

专知会员服务
109+阅读 · 2020年5月21日
注意力机制模型最新综述
专知会员服务
271+阅读 · 2019年10月20日
GANs最新综述论文: 生成式对抗网络及其变种如何有用
专知会员服务
72+阅读 · 2019年10月19日
生成式对抗网络GAN异常检测
专知会员服务
118+阅读 · 2019年10月13日
能生成逼真图像的不只有 GAN
机器学习算法与Python学习
8+阅读 · 2019年6月6日
万字综述之生成对抗网络(GAN)
PaperWeekly
43+阅读 · 2019年3月19日
【学界】生成式对抗网络:从生成数据到创造智能
GAN生成式对抗网络
6+阅读 · 2018年6月14日
【简介】生成式对抗网络简介
GAN生成式对抗网络
8+阅读 · 2017年9月16日
手把手 | 生成式对抗网络(GAN)之MNIST数据生成
数说工作室
10+阅读 · 2017年7月31日
GAN猫的脸
机械鸡
11+阅读 · 2017年7月8日
GAN | GAN介绍(2)
KingsGarden
27+阅读 · 2017年3月14日
Generative Adversarial Networks: A Survey and Taxonomy
Arxiv
4+阅读 · 2018年9月25日
Arxiv
4+阅读 · 2018年3月23日
Arxiv
7+阅读 · 2018年3月12日
VIP会员
相关资讯
能生成逼真图像的不只有 GAN
机器学习算法与Python学习
8+阅读 · 2019年6月6日
万字综述之生成对抗网络(GAN)
PaperWeekly
43+阅读 · 2019年3月19日
【学界】生成式对抗网络:从生成数据到创造智能
GAN生成式对抗网络
6+阅读 · 2018年6月14日
【简介】生成式对抗网络简介
GAN生成式对抗网络
8+阅读 · 2017年9月16日
手把手 | 生成式对抗网络(GAN)之MNIST数据生成
数说工作室
10+阅读 · 2017年7月31日
GAN猫的脸
机械鸡
11+阅读 · 2017年7月8日
GAN | GAN介绍(2)
KingsGarden
27+阅读 · 2017年3月14日
Top
微信扫码咨询专知VIP会员