使用 C# 代码实现拓扑排序

2018 年 6 月 22 日 DotNet

(点击上方蓝字,可快速关注我们)


来源:myzony 

cnblogs.com/myzony/p/9201768.html


一、介绍


自己之前并没有接触过拓扑排序,顶多听说过拓扑图。在写前一篇文章的时候,看到 Abp 框架在处理模块依赖项的时候使用了拓扑排序,来确保顶级节点始终是最先进行加载的。


第一次看到觉得很神奇,看了一下维基百科头也是略微大,自己的水平也是停留在冒泡排序的层次。


二、原理


先来一个基本定义:


在图论中,拓扑排序(Topological Sorting)是一个有向无环图(DAG, Directed Acyclic Graph)的所有顶点的线性序列。且该序列必须满足下面两个条件:


  • 每个顶点出现且只出现一次。


  • 若存在一条从顶点 A 到顶点 B 的路径,那么在序列中顶点 A 出现在顶点 B 的前面。


有向无环图(DAG)才有拓扑排序,非DAG图没有拓扑排序一说。


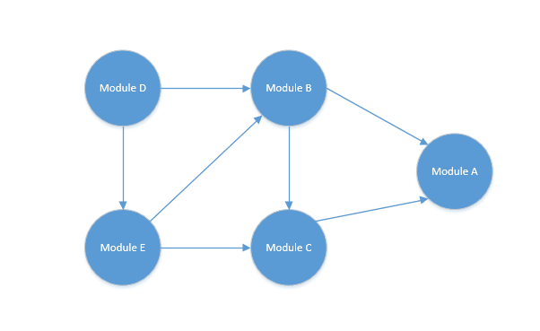
例如,有一个集合它的依赖关系如下图:



可以看到他有一个依赖关系:


  1. Module D 依赖于 Module E 与 Module B 。


  2. Module E 依赖于 Module B 与 Module C 。


  3. Module B 依赖于 Module A 与 Module C 。


  4. Module C 依赖于 Module A 。


  5. Module A 无依赖 。


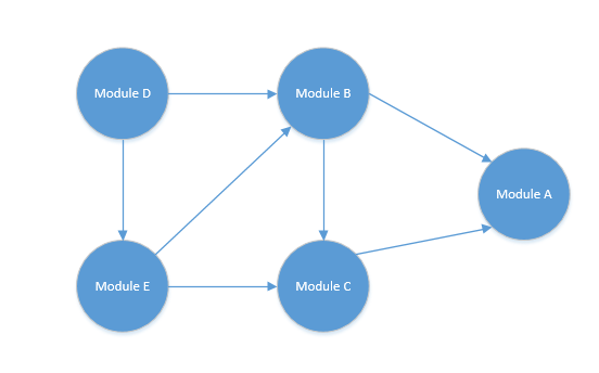
这个就是一个 DAG 图,我们要得到它的拓扑排序,一个简单的步骤如下:


  1. 从 DAG 图中选择一个没有前驱的顶点并输出。


  2. 从 DAG 图中删除该顶点,以及以它为起点的有向边。


  3. 重复步骤 1、2 直到当前的 DAG 图为空,或者当前图不存在无前驱的顶点为止。


按照以上步骤,我们来进行一个排序试试。



最后的排序结果就是:


Module D -> Module E -> Module B -> Module C -> Module A


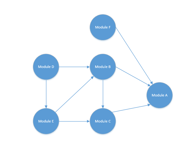
emmmm,其实一个有向无环图可以有一个或者多个拓扑序列的,因为有的时候会存在一种情况,即以下这种情况:



这个时候你就可能会有这两种结果


D->E->B->C->F->A


D->E->B->F->C->A


因为 F 与 C 是平级的,他们初始化顺序即便不同也没有什么影响,因为他们的依赖层级是一致的,不过细心的朋友可能会发现这个顺序好像是反的,我们还需要将其再反转一次。


三、实现


上面这种方法仅适用于已知入度的时候,也就是说这些内容本身就是存在于一个有向无环图之中的,如果按照以上方法进行拓扑排序,你需要维护一个入度为 0 的队列,然后每次迭代移除入度为 0 顶点所指向的顶点入度。


例如有以下图:



按照我们之前的算法,


  1. 首先初始化队列,将 5 与 4 这两个入度为 0 的顶点加入队列当中。


  2. 执行 While 循环,条件是队列不为空。


  3. 之后首先拿出 4 。


  4. 然后针对其指向的顶点 0 与 顶点 1 的入度减去 1。


  5. 减去指向顶点入度的时候同时判断,被减去入度的顶点其值是否为 0 。


  6. 这里 1 入度被减去 1 ,为 0 ,添加到队列。


  7. 0 顶点入度减去 1 ,为 1。


  8. 队列现在有 5 与 1 这两个顶点,循环判断队列不为空。


  9. 5 指向的顶点 0 入度 减去 1,顶点 0 入度为 0 ,插入队列。


这样反复循环,最终队列全部清空,退出循环,得到拓扑排序的结果4, 5, 2, 0, 3, 1 。


四、深度优先搜索实现


在参考资料 1 的代码当中使用的是深度优先算法,它适用于有向无环图。


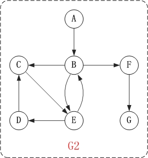
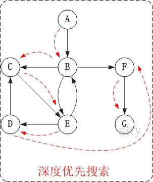
有以下有向环图 G2:



对上图 G2 进行深度优先遍历,首先从入度为 0 的顶点 A 开始遍历:



它的步骤如下:


  1. 访问 A 。


  2. 访问 B 。


  3. 访问 C 。


在访问了 B 后应该是访问 B 的另外一个顶点,这里可以是随机的也可以是有序的,具体取决于你存储的序列顺序,这里先访问 C 。


  1. 访问 E 。


  2. 访问 D 。


这里访问 D 是因为 B 已经被访问过了,所以访问顶点 D 。


  1. 访问 F 。


因为顶点 C 已经被访问过,所以应该回溯访问顶点 B 的另一个有向边指向的顶点 F 。


  1. 访问 G 。


因此最后的访问顺序就是 A -> B -> C -> E -> D -> F -> G ,注意顺序还是不太对哦。


看起来跟之前的方法差不多,实现当中,其 Sort() 方法内部包含一个 visited 字典,用于标记已经访问过的顶点,sorted 则是已经排序完成的集合列表。


在字典里 Key 是顶点的值,其 value 值用来标识是否已经访问完所有路径,为 true 则表示正在处理该顶点,为 false 则表示已经处理完成。


现在我们来写实现吧:


public static IList<T> Sort<T>(IEnumerable<T> source, Func<T, IEnumerable<T>> getDependencies)

{

    var sorted = new List<T>();

    var visited = new Dictionary<T, bool>();


    foreach (var item in source)

    {

        Visit(item, getDependencies, sorted, visited);

    }


    return sorted;

}


public static void Visit<T>(T item, Func<T, IEnumerable<T>> getDependencies, List<T> sorted, Dictionary<T, bool> visited)

{

    bool inProcess;

    var alreadyVisited = visited.TryGetValue(item, out inProcess);


    // 如果已经访问该顶点,则直接返回

    if (alreadyVisited)

    {

        // 如果处理的为当前节点,则说明存在循环引用

        if (inProcess)

        {

            throw new ArgumentException("Cyclic dependency found.");

        }

    }

    else

    {

        // 正在处理当前顶点

        visited[item] = true;


        // 获得所有依赖项

        var dependencies = getDependencies(item);

        // 如果依赖项集合不为空,遍历访问其依赖节点

        if (dependencies != null)

        {

            foreach (var dependency in dependencies)

            {

                // 递归遍历访问

                Visit(dependency, getDependencies, sorted, visited);

            }

        }


        // 处理完成置为 false

        visited[item] = false;

        sorted.Add(item);

    }

}


顶点定义:


// Item 定义

public class Item

{

    // 条目名称

    public string Name { get; private set; }

    // 依赖项

    public Item[] Dependencies { get; set; }


    public Item(string name, params Item[] dependencies)

    {

        Name = name;

        Dependencies = dependencies;

    }


    public override string ToString()

    {

        return Name;

    }

}


调用:


static void Main(string[] args)

{

    var moduleA = new Item("Module A");

    var moduleC = new Item("Module C", moduleA);

    var moduleB = new Item("Module B", moduleC);

    var moduleE = new Item("Module E", moduleB);

    var moduleD = new Item("Module D", moduleE);


    var unsorted = new[] { moduleE, moduleA, moduleD, moduleB, moduleC };


    var sorted = Sort(unsorted, x => x.Dependencies);


    foreach (var item in sorted)

    {

        Console.WriteLine(item.Name);

    }

    Console.ReadLine();

}


结果:



看完本文有收获?请转发分享给更多人

关注「DotNet」,提升.Net技能 

登录查看更多
0

相关内容

【实用书】学习用Python编写代码进行数据分析,103页pdf
专知会员服务
198+阅读 · 2020年6月29日
【2020新书】使用高级C# 提升你的编程技能,412页pdf
专知会员服务
60+阅读 · 2020年6月26日
最新《自动微分手册》77页pdf
专知会员服务
103+阅读 · 2020年6月6日
【实用书】Python技术手册,第三版767页pdf
专知会员服务
240+阅读 · 2020年5月21日
《代码整洁之道》:5大基本要点
专知会员服务
50+阅读 · 2020年3月3日
专知会员服务
42+阅读 · 2020年2月20日
Transformer文本分类代码
专知会员服务
118+阅读 · 2020年2月3日
5大必知的图算法,附Python代码实现
AI100
4+阅读 · 2019年9月10日
使用 C# 和 Blazor 进行全栈开发
DotNet
6+阅读 · 2019年4月15日
从零开始一起学习SLAM | 掌握g2o边的代码套路
计算机视觉life
5+阅读 · 2019年3月6日
使用 Canal 实现数据异构
性能与架构
20+阅读 · 2019年3月4日
Python3.8新特性概览
Python程序员
4+阅读 · 2018年12月8日
教你实现超流行的骨架屏预加载动态效果
IMWeb前端社区
73+阅读 · 2018年11月27日
利用 TensorFlow 实现排序和搜索算法
机器学习研究会
5+阅读 · 2017年11月23日
GAFT:一个使用 Python 实现的遗传算法框架
Python开发者
10+阅读 · 2017年8月1日
机器学习(7)之感知机python实现
机器学习算法与Python学习
4+阅读 · 2017年7月23日
Arxiv
17+阅读 · 2018年4月2日
Arxiv
5+阅读 · 2018年3月28日
Arxiv
4+阅读 · 2018年1月29日
VIP会员
相关VIP内容
【实用书】学习用Python编写代码进行数据分析,103页pdf
专知会员服务
198+阅读 · 2020年6月29日
【2020新书】使用高级C# 提升你的编程技能,412页pdf
专知会员服务
60+阅读 · 2020年6月26日
最新《自动微分手册》77页pdf
专知会员服务
103+阅读 · 2020年6月6日
【实用书】Python技术手册,第三版767页pdf
专知会员服务
240+阅读 · 2020年5月21日
《代码整洁之道》:5大基本要点
专知会员服务
50+阅读 · 2020年3月3日
专知会员服务
42+阅读 · 2020年2月20日
Transformer文本分类代码
专知会员服务
118+阅读 · 2020年2月3日
相关资讯
5大必知的图算法,附Python代码实现
AI100
4+阅读 · 2019年9月10日
使用 C# 和 Blazor 进行全栈开发
DotNet
6+阅读 · 2019年4月15日
从零开始一起学习SLAM | 掌握g2o边的代码套路
计算机视觉life
5+阅读 · 2019年3月6日
使用 Canal 实现数据异构
性能与架构
20+阅读 · 2019年3月4日
Python3.8新特性概览
Python程序员
4+阅读 · 2018年12月8日
教你实现超流行的骨架屏预加载动态效果
IMWeb前端社区
73+阅读 · 2018年11月27日
利用 TensorFlow 实现排序和搜索算法
机器学习研究会
5+阅读 · 2017年11月23日
GAFT:一个使用 Python 实现的遗传算法框架
Python开发者
10+阅读 · 2017年8月1日
机器学习(7)之感知机python实现
机器学习算法与Python学习
4+阅读 · 2017年7月23日
Top
微信扫码咨询专知VIP会员