具有局域巨涨落的超均匀流体 —— 一种新的活性流体态

2019 年 1 月 29 日 知社学术圈

海归学者发起的公益学术平台

分享信息,整合资源

交流学术,偶尔风月

无序超均匀态


物质是由粒子(原子/分子,颗粒)构成的。根据粒子空间的分布,一般可将物质分为有序态和无序态。前者包括周期性排布的晶体以及准晶,后者则包括气态,液体,玻璃态等。有序态,比如晶体,呈现出的是均匀齐整的点阵结构(见图1B),而在无序态中,粒子的位置有很强的随机性,造成了分布的疏密不均(见图1A)。2003年,普林斯顿大学S. Torquato教授提出了一种介于无序和有序之间的一种新的物态,即无序超均匀态。这种物态首先是无序的(粒子的分布显得毫无规律),但是却有着和晶体一样的均匀性(见图1C)。超均匀态作为一种新的物态,虽然缺少平移对称性,但却能像晶体一样产生光子带隙。不仅如此,不同于各向异性的光子晶体带隙,无序超均匀态的光子带隙是各向同性的,而且更容易打开。鸟类视网膜上的视锥细胞也已被发现是无序超均匀态。这种进化得到的超均匀态被认为是鸟类具有异常敏锐视觉的原因。另外,在质数的分布,等离子体,硬球的密堆积,宇宙大尺度结构,软物质胶体等体系中也发现了超均匀态存在的线索。[1,2]


图1:体系均匀性可由窗口内的粒子数涨落(方差) 随着窗口大小 L的改变而改变的快慢程度或者标度率中  的标度指数λ刻画(d为维度)。λ=0意味着体系的粒子数涨落正比于粒子数N~Ld,即泊松过程或随机分布(图A); 而λ=1则意味体系有着晶体般的超均匀性(图B)0λ1都属于超均匀态。(图片编辑自[1])


活性物质体系中是否能产生无序超均匀态?


活性物质是由活性粒子组成的流体。活性粒子是指不依靠外界能量而自发运动的非平衡粒子。常见的活性物质包括鸟群,鱼群,人群,细胞组织,细胞的微管微丝,以及依靠化学反应的自驱动胶体颗粒,他们表现出很强的集体运动行为。活力物质一个显著的特征是不需要吸引就可以通过信息传递或者一些非平衡态机制自发聚集,表现出“巨涨落”,气液相分离等复杂的性质。活力物质的大涨落特性意味着体系密度分布极端地不均匀。这和超均匀性背道而驰。但是最近新加坡南洋理工大学的一个理论研究小组却发现这种看似对立的两种极端涨落现象其实可以在同一个体系同时存在,相关工作近期发表于著名期刊Science Advances

 

图2:几种常见的活性物质体系(按顺序):鸟群,鱼群,细胞微丝,自驱动胶体粒子。极度的不均匀和巨大的密度涨落是活力物质的特性之一。(图片来自网络)


研究模型


作者研究的活力物质是由能在二维平面上做圆周运动的自驱动粒子所构成(见图3A)。作者假设每个粒子的圆周运动具有相同的半径R和手性但初始相位完全随机。并且粒子的运动是由过阻尼(无加速度)并且无噪声的确定性(deterministic)动力学支配。初始时刻,粒子从随机构型出发进行动力学演化,会发生不断的相互碰撞。在密度或者旋转半径都比较小的条件下,碰撞会不断减弱,最终体系会陷入所谓的“吸收态”(absorbing state)(图3D),相当于相空间的吸引子。在这种状态下每个粒子独立地进行圆周运动,粒子旋转中心将始终不变。但是,如果体系密度较高或者粒子旋转半径比较大,由于空间的限制,粒子间的碰撞将不会衰减,体系就会处于一种持续碰撞并扩散的活力流体态(active state),并且自发产生超均匀性(图3C),这是一个非常出乎意料的发现。


图3:(A)研究模型。(B)体系相图(x轴表示密度,y轴旋转半径)(C)活力超均匀态(active state)示意图。(D) 吸收态(absorbing state)示意图。其中粒子颜色代表粒子的运动方向。


超均匀和局域大涨落的共存


作者还发现,超均匀出现的空间尺度是由粒子的旋转半径R控制的,发生在大于R的空间尺度之上。这也解释了为什么在经典的直线运动的驱动粒子体系(对应R无穷大)没有发现这种超均匀性。不经如此,作者发现,在较高密度条件下,体系会在小于R的尺度上发生微观相分离,但在大于R的尺度上仍然保持着超均匀性,从而实现了超均匀和“大”涨落可以在同一个体系,不同尺度下的共存(见图4)。


图4:不同旋转半径R下,(A)粒子的均方位移随时间的变化,其中t2表示扩散运动,t表示弹道运动;(B)密度涨落(方差) 随观察窗口大小的变化, 其中红线表示相分离导致的“大涨落”标度率,底部黑线表示超均匀态标度率;(C)结构因子S(q)随着波矢量q变化,其中q-2代表相分离标度率,q2代表超均匀标度率。


理论解释


为了解释这种奇特的共存现象,作者构建了一套描述圆周自驱动粒子的流体力学方程:



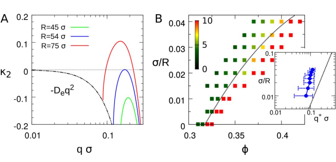
通过对方程的线性稳定性分析,作者发现在小于R尺度上的大涨落的原因来源于活性粒子“自锁效应”导致的微观相分离,而在大于R尺度上超均匀性,则是粒子在该尺度的扩散运动和粒子间的相互碰撞满足质心守恒共同造成的。后一种机制用简单的扩散方程就可以解释。作者的理论分析得到了模拟结果的有效验证(见图5)。


图5:(A)不同旋转半径下,不同波长下微扰的成长速率(growth rate)和波矢量q的关系。q不为零处正的成长速率表示体系在有限尺度发生失稳(微观相分离)。(B)理论预测(虚线)的失稳密度(大图)和失稳波矢量q*(小图)随着粒子旋转半径R的变化与模拟数据(实点)的对比。

 

结语——和宇宙学的联系


总之,作者通过研究圆周运动的活性粒子的集体行为,发现了一种新型的超均匀活性流体态,这种流体态的特殊之处在于在大尺度上具有和晶体相似的超均匀性,但在小尺度上却可以永不停歇的聚集消散,表现出大涨落。作者提出的活性粒子模型简单,物理机制清晰,已有相关实验小组进行跟进验证。从材料学角度上看,这种超均匀流体有望成为和光子晶体对应的“光子液体”(photonic liquids),在光子器件和量子计算领域具有广泛的潜在应用价值。不仅如此,通过文献调研,作者发现这种微观活性物质体系中出现大涨落和超均匀的共存态与宇宙的大尺度结构有着深刻的相似性。根据宇宙的标准模型[3],在大爆炸(Big Bang)后很短的时间,宇宙的物质分布也是处于一种超均匀态,但是随着宇宙的逐渐降温,在相对较小尺度下(星系尺度),物质在重力的作用下开始聚集,并形成星系,物质分布变得极不均匀性。但在整个宇宙尺度,原始的超均匀性仍然得以保存。这种不同尺度下的大涨落和超均匀的共存,反映在标准理论预测的宇宙的结构因子的两段相反的标度率上(图6B)。可以看到它其与图4C非常相似。

 

图6:(A)宇宙微波背景辐射示意图和其观察到的宇宙涨落强度。(B) 标准宇宙模型预测宇宙结构因子S(k),k为波矢量。

 

论文的发表和致谢


该工作于美国东部时间2019年1月25日发表于著名学术期刊Science  Advances上。 新加坡南洋理工大学雷群利博士为论文第一作者,同校的Massimo Pica Ciamarra教授和倪冉教授为文章通讯作者。该研究得到了新加坡政府教育部、新加坡科技研究局、南洋理工大学以及新加坡国家超算中心(NSCC)的支持。


文章信息

Qun-Li Lei, Massimo Pica Ciamarra, and Ran Ni; Non-Equilibrium Strongly Hyperuniform Fluids of Circle Active Particles with Large Local Density Fluctuations, Science Advances, 5,eaau7423 (2019)

 

倪冉教授课题组网站:

http://www.ntu.edu.sg/home/r.ni/


参考文献



[1]. ABird’s-Eye View of Nature’s Hidden Order,Quanta Magazine(July 12, 2016)

https://www.quantamagazine.org/hyperuniformity-found-in-birds-math-and-physics-20160712/

[2]. 从鸟眼看见大自然的隐藏秩序——漫步于秩序与随机之间的超均匀性,《数理人文》杂志2017第12期https://mp.weixin.qq.com/s/GxsaR_bU4LLd9Y1Zrn0wvg

[3].A. Gabrielli et alPhys. Rev. D 2002, 65, 083523


点击左下角“阅读原文”链接可查看论文原文。

扩展阅读

 

Science Advances:激光驱动宏观流体

压电薄膜自驱动三维结构实现液体流变检测

舌尖上的非牛顿流体

用铁电“场效应”拓扑绝缘体

本文系网易新闻·网易号“各有态度”特色内容

媒体转载联系授权请看下方

登录查看更多
1

相关内容

【ICML2020-哈佛】深度语言表示中可分流形
专知会员服务
13+阅读 · 2020年6月2日
【CVPR2020】MSG-GAN:用于稳定图像合成的多尺度梯度GAN
专知会员服务
29+阅读 · 2020年4月6日
专知会员服务
29+阅读 · 2020年3月6日
Science:脂肪细胞外泌体对巨噬细胞发挥调节功能
外泌体之家
19+阅读 · 2019年3月7日
浅谈外泌体抑制剂——鞘磷脂酶抑制剂GW4869
外泌体之家
8+阅读 · 2018年12月19日
W-net: Bridged U-net for 2D Medical Image Segmentation
Arxiv
20+阅读 · 2018年7月12日
VIP会员
相关VIP内容
Top
微信扫码咨询专知VIP会员