移动学习能促进学习绩效吗——基于2011-2017年国际英文期刊92项研究的元分析

2018 年 12 月 31 日 MOOC

| 全文共13769字,建议阅读时28分钟 |


本文由《现代远程教育研究》杂志授权发布

者:郑兰琴 崔盼盼 李欣


♬ 点上方绿标可收听音频

摘要

 

随着移动互联技术的发展,移动设备已经成为支持正式和非正式学习的重要工具。如何利用移动设备更好地辅助学习是当前教育领域广泛关注的话题。然而,对于移动学习是否真正能够促进学习绩效,学界并没有获得一致的结论。基于2011-2017年国际英文期刊92项移动学习实验和准实验研究的元分析表明:利用移动学习确实能够显著提升学习者的认知类学习绩效,总效应量高达0.85;不同类型的移动设备和在不同学科领域的移动应用对于学习绩效的影响具有显著性差异,移动学习更适用于自然科学和医学领域,功能较为单一的手持阅读器的移动学习绩效不理想;不同年龄阶段、不同数量规模、不同学习场所、不同学习时长和学习方式的移动学习绩效间没有显著性差异,教学者应用移动设备时可以根据实际需要和目标自行选择。

关键词:移动学习;学习绩效;实验研究;准实验研究;元分析


一、研究背景


随着移动互联技术的迅猛发展,移动设备如智能手机、平板电脑、iPad等已经成为支持正式学习和非正式学习的重要工具,也因其可携带性、可移动性和强交互性的特点被广泛应用于教育教学中。余胜泉教授(2007)将学习者在任何时间、任何地点通过移动设备获取学习资源、与他人进行交流协作、实现知识建构的过程,称之为移动学习。移动学习的主要特征体现为便捷性、灵活性、自主性、个性化等(黄荣怀等,2009)。

教师开展移动学习,能够与学习者进行实时互动,及时给予反馈;还可以实时搜集、分享信息,从而更快捷、更高效地完成教学任务。学习者通过移动学习的方式可以随时随地的学习,还能够在社交媒体上分享信息、获取领域最新发展动态,并与同伴实时交流,从而提高学习效率。尽管移动学习具有诸多优势,但是对于移动学习是否能够真正提高学习绩效①,学界并没有获得一致的结论。本研究采用元分析方法对2011-2017年发表在国际英文学术期刊的92项实验和准实验研究进行系统分析,重点探索移动学习对于学习者的学习绩效有没有显著性影响以及影响移动学习绩效的因素有哪些。


二、文献述评


关于移动学习对于学习绩效的影响,大致存在三种不同的观点:


第一种观点认为移动学习能够提高学生的学习绩效。例如,有研究者利用RFID和PDA在地理实验室内观察岩石并开展探究性学习,结果表明基于移动设备的探究性学习有利于提高学习者的学习绩效和探究能力(Wu et al.,2013)。还有研究者发现利用移动设备支持协作学习不仅能够提高小组成员的参与度、互动行为频率和交互质量,而且能够显著提升学习绩效(Huang et al.,2014;Joo-Nagata et al.,2017)。王小根等(2014)设计了基于iPad的博物馆实地探访活动,实验组学生在博物馆中进行移动学习,而对照组学生在课堂中采用传统的多媒体教学进行学习,结果表明在场馆中开展移动学习对学生的学习绩效、学习兴趣具有积极影响,并且有助于增强学生对本土传统文化的认同感。Su等(2015)设计了三种不同方式对植物进行学习,即学习者利用智能手机开展基于游戏的学习、仅利用智能手机进行学习、不使用智能手机学习,结果表明,利用智能手机开展基于游戏的学习可以显著提高学习绩效和学习动机。


第二种观点认为采用移动学习对于学习者的绩效有负面影响。例如,有研究者采用移动学习策略引导五年级的小学生在田野中学习本土文化,实验班的学生通过PDA学习本土文化,而控制班采用传统方式即教师的引导来学习本土文化,结果发现实验班学生的学习绩效反而比控制班学生低(Chu,2014)。Doolittle 和Mariano(2008)把84名学生随机分配到传统和移动的学习环境中,实验组的学生采用移动学习,而控制组的学生采用传统的多媒体学习方式,结果表明采用移动学习方式的实验组学生学习绩效低于采用传统学习方式的控制组学生。


第三种观点则认为采用移动学习对学生的学习绩效并没有显著影响。例如有研究者在历史博物馆中开展了利用移动设备辅助学习的实验研究,他们把知识水平相当的62名学生随机分配到使用平板电脑(嵌入电子学习单)、使用纸质学习单、自由参观(既不使用平板电脑也不使用纸质学习单)三个小组中,结果显示三个小组的学习绩效并没有显著性差异(Sung et al.,2010)。另外,Lai(2016)的研究也发现采用移动学习方式对于学习者的英语词汇绩效没有显著影响。


综上所述,利用移动设备辅助学习对于学习者的学习绩效有没有显著影响,学术界并没有获得一致的结论。事实上,良好的学习绩效受多种因素影响,如学习者特征、学习内容、样本大小、持续时间、学习方法等。基于此,本文对92项开展移动学习的实验和准实验研究进行元分析,探索移动学习对于学习绩效的影响,并考察哪些因素会影响移动学习的绩效。


三、研究方法


1.元分析方法


元分析方法是一种综合多个实验或准实验研究结果并通过平均效应量(Effect Size,ES)来考察总体效应的统计分析方法(Cooper et al.,2009)。元分析主要通过相同的标准来比较不同研究的结果并提供总体效应量。元分析与传统的文献综述有所不同。传统的文献综述主要对同一研究主题的文献进行描述性分析或者定量分析。然而,传统的文献综述应用定量分析时,通常采用频次分析的方法进行简单统计,但频次的统计与样本量的大小有直接关系,样本量较大则出现的频次相对较高;反之,频次的统计量则较小。然而元分析方法却有效克服了这种局限。元分析方法从同类研究中组织和抽取信息,整合研究结果,并以平均效应量的形式表示整合后的结果,效应量的生成是经过加权平均处理得到的,受样本量大小的影响较小,因此研究结果更加完整、客观和科学(毛良斌等,2005)。元分析作为一种定性和定量分析相结合的方法,能够综合分析同一研究主题研究结果不一致的单项研究之间的共性,并通过整合单项研究最终形成一致性、普适性、更为精准的研究结论(陈鹤阳等,2015)。另外,元分析的样本量比单项研究的样本量大,因此通过元分析得出的研究结论更具有客观性和全面性(Zimmerman et al.,2011)。


Cooper等认为,元分析的研究过程一般包括7个步骤:确定研究问题;制定文献的选择和排除标准;筛选满足元分析标准的文献;依据编码表对筛选好的文献进行内容分析;计算干预变量的总效应量;分析调节变量的效应;最后,展现元分析结果并进行深度剖析(Cooper et al.,2009)。本文按照以上7个步骤对移动学习的92项实证类研究开展了系统的元分析。


2.研究样本


为了获得高质量的研究,笔者搜集源自Web of Science TM核心合集数据库的文献。文献检索时,选取与“Mobile Learning”相关的一系列关键词,包括“Mobile Learning”“Ubiquitous Learning”“Mobile Device+Learning”“Tablet PC+Learning”“Digital Pen+Learning”“E-book+Learning”“iPad+Learning”“Wireless+Learning”“Wearable+Learning” “Handheld+Learning”。时间跨度为2011年至2017年,文献类型为“Article”,语种为“English”。通过检索,最初查询到文献529篇。为了挑选满足元分析的文献,研究制定了如下标准进行筛选:第一,研究必须利用各种不同类型的移动设备进行学习,可以在课堂中进行,也可以在非正式的场所比如科技馆、博物馆等开展;第二,实验设计的类型属于准实验设计或者真实验设计;第三,研究包括实验组和控制组,即实验组使用移动设备进行学习,控制组不利用移动设备进行学习或者控制组利用移动设备开展不同方式的学习;第四,研究报告实验组和控制组的学习绩效;第五,研究中提供计算效应量的完整数据,如平均值、标准差、F值或者t值。


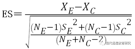
根据以上标准,通过阅读529篇文章的全文,最终获得92篇满足筛选标准的文章,因此后续只对这92篇文章进行元分析。研究采用Cohen提出的效应量计算方法(Cooper et al.,2009),如式1所示:


              (1)


其中,XE和XC分别代表实验组和控制组学习绩效的平均值,NE和NC分别代表实验组和控制组的样本大小,SE和SC分别代表实验组和控制组学习绩效的标准差。


3.编码表


为了考察移动学习对学习绩效的影响,笔者对纳入元分析的92篇文章进行了内容分析。在参考已有编码表(Zheng et al.,2014;Sung et al.,2016)和研究问题的基础上,笔者自主开发了新的编码体系,最终编码表如表1所示。


研究选取两位具有教育技术专业背景的研究生对92篇文章进行内容分析。首先,对编码体系的含义和编码方法进行培训。然后,随机选择10篇文章进行预编码,针对不一致的编码进行讲解和分析,从而对编码体系达成一致的理解。最后,由两位研究生独立对所有文章进行背对背编码。编码结束后,再次核对两位研究生的编码结果,并计算评分者信度。对于不一致的编码,选取两人商量后的结果。本研究采用Cohen Kappa系数计算编码结果的一致性,一致性系数为0.85,表明编码结果可信。


表1    编码体系


四、研究结果


本研究采用Biostat公司开发的Comprehensive Meta-Analysis(CMA)Version 3软件进行数据分析,包括效应量的计算、异质性检验、发表偏倚和敏感性分析。


1.利用移动设备辅助学习对学习绩效的总体效应


为了考察移动设备是否对学生的学习绩效产生显著性影响,本文首先进行异质性检验。异质性检验的目的是检验所有的效应量是否来自同一整体。如果研究间存在异质性,则采用随机效应模型,反之采用固定效应模型(Rücker et al.,2008)。如表2所示,异质性检验结果表明92项研究的效应量分布存在显著异质性(Q=983.307,p=0.000),因此采用随机效应模型对这92项研究进行合并。Cohen把效应量分成小效应(ES<=0.2)、中效应(0.2<ES<=0.8)和大效应(ES>0.8)(Cohen,1988)。效应量小,表明实验组与对照组差异小;效应量大,表明二者差异大。本研究发现,92项研究的总效应量为0.85,大于0.8。因此,利用移动设备辅助学习能够显著提升学习者的学习绩效。这一发现与 Cheung和Slavin(2013)的元分析结论保持一致。另外,本文选取92项研究的总样本为7288人,所以,大样本量更加保证了研究结论的客观性和准确性(Cheung et al.,2013)。


表2     总效应量


为了更加深入地分析92项研究的特征,笔者计算出了每项研究的效应值。表3呈现了每项研究的样本大小、效应量、Z值和P值。根据Cohen对效应值大小的划分标准,92项研究中效应值在0.8及以上的有35项,且效应值均达到统计上的显著性(p<0.05);效应值介于0.2~0.8的有46项,其中仅有15项效应值未达到统计上的显著性;效应值在0.2以下的有11项,其中9项研究的效应值未达到统计上的显著性。由此可见,68项研究表明移动学习对学习绩效的提升具有显著性影响。


表3    各研究计算结果


2.不同类型移动设备对移动学习绩效的影响


前面已经论证了移动学习对学生学习绩效具有显著的正向影响作用,那么这种影响作用对于应用不同类型移动设备的学习绩效是否也同样适用呢?异质性检验结果(见表4)表明,5种不同类型的移动设备的效应量具有显著性差异(Q=15.441,p=0.004),说明使用不同类型的移动设备对学生的学习绩效产生了不同的影响。从表4可以看出,移动手机的效应量大于0.4,说明移动手机对学生学习绩效有中度的影响;手持阅读器、笔记本电脑、掌上电脑、平板电脑的效应量大于0.8,说明这四种设备均对学生学习绩效具有高度影响。同时笔记本电脑、掌上电脑、平板电脑、移动手机的效应量都达到了统计显著水平(p<0.001),说明它们均对学生的学习绩效具有正向的促进作用。手持阅读器的效应量没有达到统计显著水平,可能因为手持阅读器的功能相对于其他四种设备的功能比较简单,对学生提供的支持和帮助比较少,所以对学生的学习绩效影响效果不显著。


表4   不同类型移动设备对移动学习绩效的影响


3.不同层次学习对象对移动学习绩效的影响


为了检验不同层次学习对象对移动学习绩效的影响,笔者计算了幼儿园小朋友、小学生、中学生、大学生、成人等不同层次的学习对象所对应的效应值、数量、标准误、方差、95%置信区间和异质性检验结果。从表5可以看出,异质性检验结果不显著(Q=4.527,p=0.339),说明不同的学习对象使用移动设备对学生的学习绩效不会产生不同的影响效果。进一步分析可以发现,幼儿园小朋友、大学生和成人的效应量都大于0.8,说明移动学习对幼儿园小朋友、大学生和成人的学习绩效具有高度的影响;小学生和中学生的效应量介于0.4~0.8,说明移动学习对小学生和中学生的学习绩效具有中度的影响。同时小学生、中学生、大学生和成人的效应量都达到了统计显著水平(p<0.05),说明移动学习对小学生、中学生、大学生和成人的学习有正向的促进作用。幼儿园小朋友的效应量没有达到统计显著水平,主要原因是幼儿园小朋友年龄比较小,并不具有独立使用移动设备的能力,所以对其学习绩效的影响不显著。


表5    不同层次学习对象对移动学习绩效的影响


4.不同样本大小对移动学习绩效的影响


移动学习到底在多大样本量上对学生的学习绩效有影响呢?为了回答这个问题,表6列出了不同样本大小对移动学习绩效的影响。从表6可以看出,1~50、51~100和101~400这三类样本的效应量均大于0.8,同时效应量也都达到了统计显著要求(p<0.001),说明不同大小的样本量对学生的学习绩效都具有积极影响。但是,异质性检验结果不显著(Q=0.140,p=0.932),这表明不同的样本大小之间没有显著性差异,即选用不同类型的样本数量进行移动学习时都可以提高学生的学习绩效。


表6    不同样本大小对移动学习绩效的影响

5.不同学科领域对移动学习绩效的影响


为了检验不同学科领域对移动学习绩效的影响,笔者分别对工程技术、医学、自然科学、社会科学四大类学科进行了分析。表7列出了移动学习绩效在不同学科领域的相关参数。从表7可以看出,四个学科的效应量都达到统计显著要求(p<0.05),说明在这四个学科领域采用移动学习对于学生的学习绩效都具有显著的正向影响。异质性检验结果也显著(Q=8.231,p=0.041),说明不同学科的效应量存在显著性差异,也就是说移动学习应用于不同学科对学生的学习绩效会产生不同的影响。其中,工程技术、社会科学的效应量大于0.4,说明在工程技术和社会科学学科中使用移动学习对学习绩效有中等程度的影响,而工程技术学科的效应量仅是0.441,主要原因是工程技术领域需要学习者动手操作,仅仅采用移动学习的方式很难实现较好的学习效果。而医学和自然科学的效应量均大于0.8,说明在这两个领域使用移动学习对学习绩效具有高度的影响。


表7   不同学科领域对移动学习绩效的影响


6.不同学习场所对移动学习绩效的影响


学生在不同的场所使用移动设备进行学习会产生不同的学习绩效吗?为了回答这一问题,笔者对正式学习场所、非正式学习场所和混合学习场所三种不同学习场所中进行移动学习的绩效进行了分析。从表8可以看出,混合学习场所的效应量大于0.4,说明混合学习场所对移动学习的绩效有中等程度的影响;正式学习场所和非正式学习场所的效应量均大于0.8,说明正式学习场所和非正式学习场所对移动学习的绩效均具有高度影响。同时这三种学习场所的效应量都达到统计显著要求(p<0.001),说明这三种学习场所均对学生的学习绩效具有显著的正向影响。然而,异质性检验结果不显著(Q=2.206,p=0.363),说明这三种学习场所的效应量没有显著性差异,即在三种不同学习场所使用移动设备进行学习都有助于提高学生的学习绩效。


表8    不同学习场所对移动学习绩效的影响


7.不同的持续时间对移动学习绩效的影响


为了检验不同持续时间对移动学习绩效的影响,笔者计算了少于1天、1~7天、2~4周、5~8周、9~35周不同持续时间的效应量。从表9可以看出,1~7天、2~4周、5~8周的效应量大于0.4,说明这三种持续时间对移动学习绩效有中等程度的影响;而少于1天和9~35周的效应量大于0.8,说明这两种持续时间对移动学习绩效均具有高度影响。同时这5种持续时间的效应量都达到统计显著要求(p<0.05),说明移动学习的时长达到这5种持续时间都能够对学生的学习绩效产生显著的正向影响。然而,异质性检验结果不显著(Q=4.018,p=0.404),说明这5种持续时间的效应量之间没有显著性差异,也就是说使用移动设备进行不同时长的学习都有助于提高学生的学习绩效。


表9    不同持续时间对移动学习绩效的影响


8.不同的学习方式对移动学习绩效的影响


在实际教学过程中,移动学习常常与其他学习方式结合使用。为了检验不同学习方式与移动学习结合使用的学习绩效,笔者重点比较了4种学习方式(即协作学习、基于游戏的学习、探究性学习和自主学习)的绩效,如表10 所示。其中,协作学习的效应量大于0.4,说明协作学习与移动学习结合使用对学习绩效有中等程度的影响;而基于游戏的学习、探究性学习和自主学习的效应量均大于0.8,说明这三种学习方式与移动学习结合使用对学习绩效均具有高度影响。同时这四种教学方法的效应量都达到统计显著要求(p<0.01),说明这四种学习方式与移动学习结合都能对学生的学习绩效产生显著的正向影响,而且采用探究性学习方式的效应量最大,采用自主学习的效应量最小。然而,异质性检验结果并不显著(Q=1.816,p=0.611),说明这四种学习方式与移动学习结合使用的效应量之间没有显著性差异,即将协作学习、基于游戏的学习、探究性学习和自主学习与移动学习结合使用,对于提高学生的学习绩效都有积极的促进作用。


表10     不同学习方式对移动学习绩效的影响


9.发表偏倚


发表偏倚是指具有统计学显著意义的研究结果较无显著性意义的结果或无效的结果被报告和发表的可能性更大的一种倾向(夏凌翔,2005)。发表偏倚也衡量了有多少没有达到显著性水平的研究才能使得结论逆转。通常采用fail-safe N计算发表偏倚,包括Classic fail-safe N(Rosenthal,1979)和Orwin’s fail-safe N(Orwin,1983)。Classic fail-safe N主要评估有多少未发表的研究才能使得已经发表研究的总效应量达到不显著的水平。衡量的标准是5 n + 10(n指纳入元分析的文献数量),如果fail-safe N远大于5 n + 10,表明未发表研究结果的效应量对已经发表研究的总体效应量影响不大。本研究中,正如表11所示,Classic fail-safe N结果显示降低总体效应量所需要的未发表研究结果数量是6722,远远大于470(5*92 + 10)。


表11    Classic fail-safe N


Orwin’s fail-safe N主要评估在某显著性水平下,未发表研究的结果对已发表研究的总效应量具有显著性影响时所需要的数量。正如表12所示,本研究的Orwin’s fail-safe N检验的结果显示在0.01显著水平下,未发表研究结果对已发表研究的总效应量具有显著性影响时,需要未发表的研究数量是5809。


表12    Orwin’s fail-safe N


综上所述,Classic fail-safe N和Orwin’s fail-safe N检验的结果充分表明本研究92篇文献的元分析结果很稳定,不存在发表偏倚现象。


10.敏感性分析


敏感性分析主要用于检查可能会影响总体效应量的异常值。采用One-Study Removal Analysis来检测极端积极和消极效应量对总体效应量的影响。本研究中,删除任何一项研究后的效应量在95%置信区间的范围仍然是0.601~0.682(固定效应模型)和0.707~0.983(随机效应模型),因此删除任何一项研究都不会影响总体效应量。这也充分说明本研究得出的元分析结果非常稳定。


五、结论与启示


本文采用元分析方法对2011-2017年使用移动设备辅助学习的 92项实证研究进行元分析,主要的研究结论和启示如下:


第一,总体来看,采用移动学习对学生学习绩效的提高具有显著的促进作用。这表明移动学习对于认知类的学习结果具有显著的影响。认知类的学习结果通常采用对知识技能测试的方式来考察学习者的学习绩效。本研究还发现,大部分研究主要关注认知类的学习结果,一方面因为容易测查,另一方面也容易提高。研究者很少考察移动学习对非认知能力的影响,比如对学习态度、学习动机、交流和协作能力、问题解决能力、创新和变革能力、领导能力等的影响。笔者认为,如何利用移动学习提升学习者的高阶认知能力比如批判性思维能力和非认知能力将是未来研究的重要方向,需要继续探索和实践。


第二,移动学习由于便携性、灵活性和实时交互性,学习者可以进行随时随地进行学习,并能及时获取信息。另外,情境感知、二维码扫描、射频识别、增强现实等新技术为学习者创建了真实且丰富的无缝学习环境,从而促进了学习绩效的提升。在实际应用过程中,建议尽量采用大屏幕的移动设备比如平板电脑来辅助学习。另外,学习绩效还取决于移动设备上运行软件的功能。本研究也发现,手持阅读器由于其功能比较单一,学习绩效不理想。


第三,在学科领域方面,移动学习更适用于自然科学和医学领域,而在工程技术领域的学习绩效最不理想。因此,移动学习不适合那些需要大量动手操作的学科。另外,不同的学习对象、样本大小、学习场所、持续学习时间和学习方式对移动学习绩效的影响没有显著性差异,可以根据实际需要和目标自行选择。


第四,移动学习的绩效与学习活动的设计密切相关。移动学习一般采用微型学习活动时绩效较好。在设计移动学习活动时,笔者认为需要考虑活动的情境、主体、客体、工具、规则等方面。情境指的是开展移动学习活动的场所包括正式或非正式的学习场所。主体即参与移动学习活动的学习者,设计者需要充分考虑其年龄特征、个性特征、认知水平等。客体即学习的对象和内容,包括知识技能、情感、态度、价值观等,不同的学习内容需要通过不同的表征方式来呈现。工具则需要考虑学习者采用哪种移动设备和软件资源来开展移动学习。规则指的是协调移动学习活动的规则、交流互动的规则和评价活动效果的标准等。这五个方面也是移动学习活动的五个要素,需要精准的设计和选择。在实施过程中,则可以采用最新的学习分析技术进行精准干预。


第五,学习者在利用移动设备进行学习时,还要避免其负面影响,比如分散注意力、增加认知负荷、冗余效应、手机沉迷等。解决这些问题的办法一方面要通过加强学习者的自控能力、自我调节学习能力来实现,比如学习者进行移动学习之前要设定明确的学习目标、制定合理的学习计划、实时监控学习进展,并根据学习目标进行适应性调整。另外,也需要教师和家长的合理管控和监督,引导学习者利用移动设备进行有效学习。


注释:

① 本文的学习绩效指学生学习成绩。


参考文献:

[1]陈鹤阳,朝乐门(2015).元分析方法在信息分析中的应用[J].情报资料工作, (6):46-50.

[2]毛良斌,郑全全(2005).元分析的特点、方法及其应用的现状分析[J].应用心理学, (4):354-359.

[3]夏凌翔(2005).元分析方法的几个基本问题[J].山西师大学报(社会科学版), (3):34-38.

[4]王小根,王梦如,陈心仪(2014).基于移动设备的场馆教育对学生传统文化知识学习的影响研究[J].现代远距离教育,(5):74-79.

[5]黄荣怀, 王晓晨, 李玉顺(2009). 面向移动学习的学习活动设计框架[J].远程教育杂志,(1):3-7.

[6]余胜泉(2007).从知识传递到认知建构,再到情境认知——三代移动学习的发展与展望[J].中国电化教育,(10):7-18.

[7]Cheung, A. C. K., & Slavin, R. E. (2013). The Effectiveness of Educational Technology Applications for Enhancing Mathematics Achievement in K-12 Classrooms: A Meta-Analysis [J]. Educational Research Review, 9(6):88-113.

[8]Chu, H.-C. (2014). Potential Negative Effects of Mobile Learning on Students’ Learning Achievement and Cognitive Load: A Format Assessment Perspective[J]. Educational Technology & Society, 17 (1):332-344.

[9]Cohen, J. (1988). Statistical Power Analysis for The Behavioral Sciences(2nd ed.) [M]. Hillsdale, NJ: Erlbaum.

[10]Cooper, H., Hedges, L. V., & Valentine, J. C. (Eds.). (2009). The Handbook of Research Synthesis and Meta-Analysis[M]. New York, Russell Sage Foundation: 226-235.

[11]Doolittle, P. E., & Mariano, G. J. (2008). Working Memory Capacity and Mobile Multimedia Learning Environments: Individual Differences in Learning While Mobile[J]. Journal of Educational Multimedia and Hypermedia, 17(4): 511-530.

[12]Huang, Y., Liao, Y., & Huang, S. et al.(2014). A Jigsaw-Based Cooperative Learning Approach to Improve Learning Outcomes for Mobile Situated Learning [J]. Journal of Educational Technology & Society, 17(1): 128-140.

[13]Joo-Nagata, J., Abad, F. M., & Giner, J. G. B. et al.(2017). Augmented Reality and Pedestrian Navigation Through Its Implementation in M-Learning and E-Learning: Evaluation of an Educational Program in Chile [J]. Computers & Education, 111: 1-17.

[14]Lai, A. (2016). Mobile Immersion: An Experiment Using Mobile Instant Messenger to Support Second-Language Learning [J]. Interactive Learning Environments, 24(2):277-290.

[15]Orwin, R. G. (1983). A Fail-Safe N for Effect Size in Meta-Analysis[J]. Journal of Educational Statistics, 8(2):157-159.

[16]Rosenthal, R. (1979). The File Drawer Problem and Tolerance for Null Results [J]. Psychological Bulletin, 86(3):638-641.

[17]Rücker, G., Schwarzer, G., & Carpenter, J. R. et al. (2008). Undue Reliance on I2 in Assessing Heterogeneity May Mislead [J]. BMC Medical Research Methodology, 8(1): 79.

[18]Su, C., & Cheng, C. (2015). A Mobile Gamification Learning System for Improving the Learning Motivation and Achievements [J]. Journal of Computer Assisted Learning, 31(3):268-286. 

[19]Sung, Y., Chang, K., & Hou, H. et al. (2010). Designing an Electronic Guidebook for Learning Engagement in a Museum of History [J]. Computers in Human Behavior, 26(1):74-83.

[20]Sung, Y., Chang, K., & Liu, T. (2016). The Effects of Integrating Mobile Devices With Teaching and Learning on Students’ Learning Performance: A Meta-Analysis and Research Synthesis [J]. Computers & Education, 94:252-275. 

[21]Wu, P., Hwang, G., & Tsai, W. (2013). An Expert System-based Context-Aware Ubiquitous Learning Approach for Conducting Science Learning Activities [J]. Journal of Educational Technology & Society, 16(4): 217-230.

[22]Zheng, L., Huang, R., & Yu, J. (2014). Identifying Computer-Supported Collaborative Learning (CSCL) Research in Selected Journals Published from 2003 to 2012: A Content Analysis of Research Topics and Issues [J]. Journal of Educational Technology & Society, 17(4):335-351.

[23]Zimmerman, B. J., & Schunk, D. H. (2011). Handbook of Self-Regulation of Learning and Performance [M]. Milton Park: Taylor & Francis: 376-390.

作者简介:郑兰琴,博士,副教授,硕士生导师,北京师范大学教育技术学院;崔盼盼,硕士研究生,北京师范大学教育技术学院;李欣,硕士研究生,北京师范大学教育技术学院(北京 100875)。

基金项目:北京师范大学教育学部在线数字化课程“多媒体技术与网页设计”建设项目。


朗读者介绍:廖绪媛女士(微信号:护花使者),湖北省赤壁市朗诵艺术家协会会员、赤壁旗袍艺术协会会员文艺骨干。热爱朗读、喜欢唱歌、跳舞及养花,愿意为公益事业献出自己的一份力量。


新维空间站相关业务联系:

刘老师 13901311878

邓老师 17801126118


微信公众号又双叒叕改版啦

快把“MOOC”设为星标

不错过每日好文

喜欢我们就多一次点赞多一次分享吧~


有缘的人终会相聚,慕客君想了想,要是不分享出来,怕我们会擦肩而过~

《预约、体验——新维空间站》

《【会员招募】“新维空间站”1年100场活动等你来加入》

有缘的人总会相聚——MOOC公号招募长期合作者



产权及免责声明 本文系“MOOC”公号转载、编辑的文章,编辑后增加的插图均来自于互联网,对文中观点保持中立,对所包含内容的准确性、可靠性或者完整性不提供任何明示或暗示的保证,不对文章观点负责,仅作分享之用,文章版权及插图属于原作者。如果分享内容侵犯您的版权或者非授权发布,请及时与我们联系,我们会及时内审核处理。


了解在线教育,
把握MOOC国际发展前沿,请关注:
微信公号:openonline
公号昵称:MOOC

   

登录查看更多
2

相关内容

专知会员服务
81+阅读 · 2020年6月20日
专知会员服务
164+阅读 · 2020年4月21日
【中国人民大学】机器学习的隐私保护研究综述
专知会员服务
133+阅读 · 2020年3月25日
新加坡南洋理工最新37页《零样本学习综述》论文
专知会员服务
114+阅读 · 2019年10月20日
基于面部表情的学习困惑自动识别法
MOOC
10+阅读 · 2018年9月17日
Risk-Aware Active Inverse Reinforcement Learning
Arxiv
8+阅读 · 2019年1月8日
Multi-task Deep Reinforcement Learning with PopArt
Arxiv
4+阅读 · 2018年9月12日
Arxiv
3+阅读 · 2017年12月18日
VIP会员
相关VIP内容
Top
微信扫码咨询专知VIP会员