【语言模型系列】原理篇一:从one-hot到Word2vec

2020 年 4 月 15 日 AINLP

这次的系列文章将会介绍NLP领域语言模型及词向量表示的发展史,原理篇会从远古时代的one-hot出现讲到时代新星bert及其改进,同时后续的实践篇将会介绍预训练模型在房产领域的工业实践应用,带你填上一个个的大坑。话不多说,操练起来~

语言模型及词向量

何为语言模型?这是一个要贯穿整篇文章的问题。所谓语言模型,就是判断一句话是不是人话的模型,也就判断出是>的模型。当然,计算机并不认识周杰伦,它只知道0和1,所以我们让模型进行判断时,需要将丰富的文字转换成冷冰冰的数字,这样计算机才能帮助我们进行计算,这也就是词向量的由来和存在的意义。

一个好的语言模型就是判断一句人话的概率尽可能的高,判断非人话的概率尽可能的低。那什么是一个好的词向量呢?举个例子,比如当我们人类看到‘woman’和‘female’时,会觉得这两个词应该是相似的意思,那么一个好的词向量表示就是让计算机通过计算这两个词向量,得出这两个词相似的结论。一般就是让计算机通过计算两个向量之间的距离来进行判断。所以如何让计算机看到的词向量和我们看到的词具有相同的意义,这是研究词向量的究极目标。

语言模型往往需要借助词向量进行计算,一个好的语言模型的诞生往往会伴随着质量较高的词向量的出现,因此词向量往往是语言模型的副产品。当然,优秀的事务往往不是一蹴而就的,语言模型和词向量的发展也经历了多个阶段。从词向量的角度来简单分类的话,大致可以分为one-hot表示和分布式表示两个大阶段,下面将从这个角度进行介绍。

一、one-hot表示

one-hot的想法简单粗暴,目的单纯,在我们的大脑和计算机之间架起了第一道桥梁。one-hot将每一个词表示成一个固定维度的向量,维度大小是词表大小,向量中单词所在位置为1,其他位置为0。举个栗子,假设我们的词库里只有如下7个词

my,on,the,bank,river,woman,female

那么bank这个单词就可以表示为[0,0.0,1,0,0,0],on可以表示为[0,1,0,0,0,0,0],以此类推。

但是想法过于简单总是会出问题的,one-hot存在的两个明显问题:维度灾难语义鸿沟

所谓维度灾难就是one-hot的向量维度是和词库大小一致的,一般我们的词库会很大,比如当我们的词库里有100000个词,那么一个词向量的维度就是 ,这就导致one-hot表征的向量维度很大,使得数据样本稀疏,距离计算困难,造成维度灾难。当维度灾难发生时,一个样本的特征就会过于多,导致模型学习过程中极其容易发生过拟合。

所谓语义鸿沟的问题是因为one-hot生成的词向量都是彼此正交的,体现不出任何语义上的联系。比如on表示为[0,1,0,0,0,0,0],woman表示为[0,0.0,0,0,1,0],female表示为[0,0.0,0,0,0,1],on和woman这两个向量相乘结果是0,female和woman这两个向量相乘也是0,所以无法表现出on和woman不相似,female和woman相似这种语义上的联系。

二、分布式表示

鉴于one-hot表示的缺点,我们希望能有低维稠密的词向量出现,同时这些向量之间能够存在语义上的联系,所以分布式表示就带着历史使命出现了。分布式表示描述的是将文本分散嵌入到另一个空间,一般是将高维映射到低维稠密的向量空间。分布式表示依据的理论是Harris在1954年提出的分布式假说,即:上下文相似的词,其语义也相似

2.1 基于SVD

这一类方法的一般操作是将共现矩阵 进行SVD分解,即 ,然后取分解后的 的作为词向量矩阵(一般取U的子矩阵)。所以啥是共现矩阵,啥是SVD呢?

2.1.1 共现矩阵

共现矩阵一般有两种,第一种叫Window based Co-occurrence Matrix,是通过统计指定窗口大小的单词共现次数构成的矩阵,举个栗子,假设我们的语料库中只有三个句子

I like deep learning.I like NLP.I enjoy flying.

选取窗口大小为3,那么构成的共现矩阵 如下图所示

共现矩阵1

第二种叫Word-Document Matrix,是将单词在文档中出现的频率构成矩阵,再举个栗子,假设我们一共有三篇文档

document1: I like deep learning. I enjoy deep learningdocument2: I like NLP.document3: I enjoy flying.

那么构成的共现矩阵 如下图所示

共现矩阵2

2.1.2 SVD

前面提到,SVD是将矩阵 进行分解, ,其中 的矩阵, 的矩阵, 的矩阵, 的矩阵,如何求解得到这三个矩阵呢?

首先回顾一下特征值和特征向量的定义:

其中,A是 的实对称矩阵, 是一个 维向量,则称 是一个特征值, 是矩阵 的特征值 对应的一个特征向量。如果我们求出了 个特征值 及其对应的特征向量 ,如果这 个特征向量线性无关,那么矩阵 就可以表示为

其中, 是有 个特征向量组成的 的矩阵, 是由 个特征值为主对角线的 维矩阵。一般会将 进行标准化,即 ,也就是得到了 ,那么 就可以表示为

需要注意的是,直接进行特征分解的矩阵 是方阵,而在SVD中的矩阵 不一定是方阵,这时需要再做一些推导。

由于 ,所以

因为 是一个 的方阵,所以通过求解 的特征向量,就可以得到矩阵 。同理,通过求解 的特征向量,就可以得到矩阵 ,通过对 的特征值矩阵求平方根,就可以得到矩阵 的奇异值矩阵\Sigma$。至此,我们得到了矩阵A的分解。

值得注意的是,奇异值是从大到小排列的,通常前10%甚至1%的奇异值的和就占了所有奇异值和的99%以上,奇异值在集合意义上代表了特征的权重,所以我们一般不会选择将整个 矩阵作为词向量矩阵,而是选择前k维,最终的词向量表大小就是 是词表大小, 是词向量维度。

基于SVD的方法得到了稠密的词向量,相比于之前的one-hot有了一定提升,能够表现单词之间一定的语义关系,但是这种方法也存在很多问题:

  • 矩阵过于稀疏。因为在构建共现矩阵时,必然有很多词是没有共现的
  • 分解共现矩阵的复杂度很高
  • 高频无意义的词影响共现矩阵分解的效果,如is,a
  • 一词多义问题,即同一个词具有不同含义却被表示为一个向量,比如bank既有银行的意思,也有岸边的意思,但在这里被表示为统一的向量

2.2 基于语言模型

基于语言模型的方法抛弃了共现矩阵这种问题重重的东西,转而通过构建语言模型来产生词向量。so,啥是语言模型呢?

标准定义:对于语言序列 ,语言模型就是计算该序列出现的概率,即

通俗理解:构建一个模型,使得看起来像人话的句子序列出现的概率大,非人话的句子序列出现的概率小,也就是>

语言模型一般包括统计语言模型和神经网络语言模型,统计语言模型一般就是指N-gram语言模型,神经网络语言模型包括NNLM、Word2vec等。

2.2.1 N-gram

N-gram就是一个语言模型,其目的并非产生词向量,一般用于判断语句是否合理或者搜索sug推荐,这里简单一提。

前面说了,语言模型计算一句人话的概率,也就是 ,利用链式法则可知

直接计算上式计算量太大,所以N-gram模型引入马尔科夫假设,即当前词出现的概率只与其前n-1个词有关

当语料足够大时

真正常用的N-gram的n不会超过3,一般为n=2。当n=2时,利用上式计算一句话的概率

2.2.2 NNLM

使用语言模型产生词向量的一个里程碑论文是Bengio在2003年提出的NNLM,该模型通过使用神经网络训练得到了一个语言模型,同时产生了副产品词向量。模型的总体架构如下图所示,表达的思想是利用前n-1个词去预测第n个词的概率,所以这里的输入是n-1个词,输出是一个维度为词表大小的向量,代表每个词出现的概率。

NNLM 原理结构图

这个结构在现在看起来是很简单

  • 首先输入层将当前词 的前 个词 作为上文,通过对词向量表 进行look-up得到词向量表示 ,每个词的维度是

  • 然后将这 个词向量进行拼接,得到一个维度是 的长向量 ,然后经过隐层计算,得到一个 的向量 ,模型训练过程中最大的运算量就在这一层

    参数 ,其中 是偏置,是参数矩阵, 是将词向量直连到输出时的参数,可以置为0, 是超参数。

    利用softmax对输出概率进行归一化

  • 使用交叉熵作为损失函数,所以对于单个样本,其优化目标是就是最大化 ,利用随机梯度下降进行优化

优化结束后,得到了一个语言模型,同时得到了词向量矩阵

NNLM模型在获取词向量上的工作是奠基性的,但是其模型训练的复杂度还是过高,后续很多算法都是在NNLM的基础上进行改进,比如耳熟能详的Word2vec对其训练的复杂度进行了针对性的改进。

前面所讲的都是一些开胃小菜,建立该系列文章的核心概念--词向量。接下来我们将会对经典算法Word2vec单独拿出来进行详细的原理介绍~

三、word2vec

Word2vec是谷歌团队在2013年开源推出的一个专门用于获取词向量的工具包,其核心算法是对NNLM运算量最大的那部分进行了效率上的改进,让我们来一探究竟。

3.1 Word2vec原理解析

word2vec有两种模型--CBOW和Skip-gram,这两个模型目的都是通过训练语言模型任务,得到词向量。CBOW的语言模型任务是给定上下文预测当前词,Skip-gram的语言模型任务是根据当前词预测其上下文。

Word2vec还提供了两种框架--Hierarchical Softmax和Negative-Sampling,所以word2vec有四种实现方式,下面将对其原理进行介绍。

3.1.1 CBOW

3.1.1.1 结构

CBOW的核心思想就是利用给定上下文 ,预测当前词 ,其结构表示为

CBOW结构

我们知道基于神经网络的语言模型的目标函数通常是对数似然函数,这里CBOW的目标函数应该就是

其中 是单词 的上下文, 是词典。所以我们关注的重点应该就是 的构造上,NNLM和Word2vec的本质区别也是在于该条件概率函数的构造方式不同。

3.1.1.2 原理

3.1.1.2.1 基于Hierarchical Softmax

CBOW模型的训练任务是在给定上下文 ,预测当前词 。基于Hierarchical Softmax的CBOW结构相当于在NNLM上的改进,如下图所示

基于Hierarchical Softmax的CBOW模型

CBOW模型一共是有三层,分别是输入层(input layer),投影层(projection layer)和输出层(output layer)。

输入层:输入是当前词的上下文,共 个词向量

投影层:投影层将 个词向量进行累加,得到 ,即,这里不包含当前词的向量表示

输出层:输出是一个用语料中出现的词为叶子结点构建的Huffman树,结点的权值是各词在语料中出现的次数。图中的Huffman树共 个结点,对应语料中的 个词,非叶子结点 个,即图中标黄的。

基于Hierarchical Softmax的CBOW模型和之前介绍的NNLM的主要区别:

  • 从输入层到投影层,CBOW采用的是求和,而NNLM是拼接
  • CBOW没有隐藏层
  • 输出层,基于Hierarchical Softmax的CBOW是树形结构,NNLM是线性结构

之前说过,NNLM的主要运算量就是在于隐藏层和输出层的softmax的计算量,基于Hierarchical Softmax的方法通过对这些关键点进行了针对性的优化,去掉了隐藏层,更改了输出结构,大大提升了运算效率。下面介绍基于Hierarchical Softmax的CBOW是如何利用树结构训练得到词向量的。

对于huffman的某个叶子结点,假设该结点对应词典 中的词 ,定义以下符号

  • :从根结点出发到达 对应的叶子结点的路径
  • :路径 中包含的结点个数
  • :路径 中的 个结点,其中 代表根结点, 代表词 对应的结点
  • :词 的Huffman编码,由 位编码构成,即根结点不对应编码
  • :路径 中非叶子结点对应的向量, 代表路径 中第 个非叶子结点对应的向量

下面通过一个示例说明运算原理,如下图所示,考虑当前词 =“足球”,那么图中的红色边串起来的5个结点就构成路径 ,其长度 是路径 的5个结点,其中 对应的是根结点, 分别是1,0,0,1,即当前词“足球”的Huffman编码为1001, 分别是路径 上4个非叶子结点对应的向量。

CBOW原理示例

所以,讲了这么多,我们的重点 究竟是怎么构建的呢?

我们知道词库里的每一个词都可以被表示为一个Huffman编码,如果把Huffman树每一个结点都看成一次二分类,那么这个语言模型的任务就变成输入上下文,使得当前词的Huffman编码对应的路径的概率最大。这里约定将一个结点进行二分类时,分到左边为负类,分到右边为正类(主要为了和源码对应),即

由前面介绍的逻辑回归可以知道,结点分为正类的概率是

所以分为负类的概率就是 。这里的 就是当前词 的上下文通过求和得到的, 就是每一个结点的 ,是待训练参数。

举个栗子,还是前面说的当前词是“足球”,从根结点出发到达这个词一共需要经过4次二分类

  • 第一次:
  • 第二次:
  • 第三次:
  • 第四次:

所以对于当前词“足球”,我们的条件概率函数为

由上面的小例子,我们可以扩展出一般的条件概率公式

其中

写成整体表达式

所以我们要优化的目标函数就是

使用随机梯度上升法进行目标函数优化,下面推导一下梯度的计算

所以,更新参数

其中, 是学习率。

同理可以计算得到

我们最终想优化的向量是词表中的每一个词向量,而 是当前词上下文的累加,那么该如何更新每个词的向量表示呢?word2vec中的做法很简单直接,就是将 的梯度变化等效于每个词的梯度变化,即

至此,基于Hierarchical Softmax的CBOW模型的原理就介绍完了,通过不断训练就可以得到我们想要的词向量表。

3.1.1.2.2 基于Negative-Sampling

基于Negative-Sampling(负采样,NEG)的方法的目的是进一步提升训练速度,同时改善词向量的质量。NEG不再使用相对复杂的huffman树,而是使用简单的随机负采样,大幅度提升性能。

CBOW是利用上下文预测当前词,那么将当前词替换为其他词时,就构成了一个负样本。

书面一点,对于给定的 ,词 就是一个正样本,其他词就是负样本,假设我们通过负采样方法选取好一个关于 的负样本子集 。得到样本集后,我们的目标是最大化

其中

所以

这里, 还是代表上下文 的词向量之和, 表示词 对应的一个待训练辅助向量。直观上看,这就是最大化 的同时,最小化 ,其中 ,也就是最大化正样本的概率的同时最小化负样本的概率。

对于给定的语料库C,最终的目标函数是

为了推导梯度更新的过程,令

所以

同理

3.1.2 Skip-gram

3.1.2.1 结构

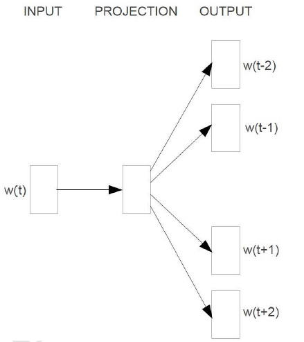
Skip-gram的核心思想就是利用给定的当前词 ,预测上下文 ,其结构表示为

Skip-gram结构

我们知道基于神经网络的语言模型的目标函数通常是对数似然函数,这里Skip-gram的目标函数应该就是

其中 是单词 的上下文, 是词典。所以我们关注的重点应该就是 的构造上。

3.1.2.2 原理

3.1.2.2.1 基于Hierarchical Softmax

前面说了,Skip-gram的语言模型任务是根据当前词预测其上下文,原理上和CBOW很相似,基于Hierarchical Softmax的Skip-gram的结构如下图所示

基于Hierarchic al Softmax的Skip-gram模型

输入层:中心词 的词向量

投影层:恒等投影,只是为了和CBOW模型进行对称类比

输出层:和CBOW一样,是一颗huffman树

Skip-gram的重点是条件概率函数 的构造,SKip-gram中对于该条件概率函数的定义为

所以,Skip-gram的目标函数为

所以

同理

3.1.2.2.2 基于 Negative-Sampling

基于负采样的skip-gram模型基本与前面基于负采样的CBOW推导的类似,目标函数为

也就是当给定当前词 时,希望其上下文 出现的概率最大,其中

这里 代表的就是上下文 中某个词 出现的概率, 表示处理词 时生成的负样本子集, 是输入的当前词, 是待训练的辅助向量。

所以

可以看出来,这里需要对上下文 中的每一个词做一次负采样。实际上,作者在源码实现过程中并没有这么做,而是针对 进行了 次负采样,这样依赖,我们的目标函数变成

其中

这里 表示处理词 时生成的负采样子集。

最终的目标函数变成

考虑梯度更新,令

所以

同理

3.2 Word2vec不可忽视的问题

Word2vec算法虽然在前些年取得了良好的效果,但是也有不足之处,其中最不可忽视的问题就是一词多义的问题。Word2vec中最后对每一个词生成一个固定的向量表示,那么对于相同单词有多个含义时,就不能很好的解决。比如bank,既有银行的意思,也有岸边的意思,当算法的结果只有一个固定向量对其进行表征时,必然导致这个词的表征不够准确。

既然存在问题,那就存在解决问题的方法,现在比较火的预训练相关的算法就解决了这个问题。具体咋回事呢?下一篇文章见~

作者介绍

李东超,2019年6月毕业于北京理工大学信息与电子学院,毕业后加入贝壳找房语言智能与搜索部,主要从事自然语言理解等相关工作。

下期精彩

【语言模型系列】原理篇二:从ELMo到ALBERT

招贤纳士



推荐阅读

AINLP年度阅读收藏清单

当当的羊毛,快薅,这一次要拼手速!

数学之美中盛赞的 Michael Collins 教授,他的NLP课程要不要收藏?

自动作诗机&藏头诗生成器:五言、七言、绝句、律诗全了

From Word Embeddings To Document Distances 阅读笔记

模型压缩实践系列之——bert-of-theseus,一个非常亲民的bert压缩方法

这门斯坦福大学自然语言处理经典入门课,我放到B站了

可解释性论文阅读笔记1-Tree Regularization

征稿启示 | 稿费+GPU算力+星球嘉宾一个都不少

关于AINLP

AINLP 是一个有趣有AI的自然语言处理社区,专注于 AI、NLP、机器学习、深度学习、推荐算法等相关技术的分享,主题包括文本摘要、智能问答、聊天机器人、机器翻译、自动生成、知识图谱、预训练模型、推荐系统、计算广告、招聘信息、求职经验分享等,欢迎关注!加技术交流群请添加AINLPer(id:ainlper),备注工作/研究方向+加群目的。



登录查看更多
0

相关内容

Transformer文本分类代码
专知会员服务
118+阅读 · 2020年2月3日
从 one-hot 到 BERT,带你一步步理解 BERT
数说工作室
21+阅读 · 2019年6月25日
自然语言处理中的语言模型预训练方法
PaperWeekly
14+阅读 · 2018年10月21日
Word2Vec与Glove:词嵌入方法的动机和直觉
论智
14+阅读 · 2018年6月23日
不懂 word2vec,还敢说自己是做 NLP 的?
AI研习社
8+阅读 · 2018年5月4日
学习 | word2vec的前世今生
菜鸟的机器学习
14+阅读 · 2018年3月21日
基础|Word2vec的原理介绍
全球人工智能
10+阅读 · 2018年1月4日
基于典型相关分析的词向量
AI研习社
7+阅读 · 2017年12月24日
字词的向量表示
黑龙江大学自然语言处理实验室
4+阅读 · 2016年6月13日
Arxiv
15+阅读 · 2019年9月11日
Arxiv
6+阅读 · 2019年7月11日
How to Fine-Tune BERT for Text Classification?
Arxiv
13+阅读 · 2019年5月14日
Universal Transformers
Arxiv
5+阅读 · 2019年3月5日
Arxiv
22+阅读 · 2018年8月30日
VIP会员
相关资讯
从 one-hot 到 BERT,带你一步步理解 BERT
数说工作室
21+阅读 · 2019年6月25日
自然语言处理中的语言模型预训练方法
PaperWeekly
14+阅读 · 2018年10月21日
Word2Vec与Glove:词嵌入方法的动机和直觉
论智
14+阅读 · 2018年6月23日
不懂 word2vec,还敢说自己是做 NLP 的?
AI研习社
8+阅读 · 2018年5月4日
学习 | word2vec的前世今生
菜鸟的机器学习
14+阅读 · 2018年3月21日
基础|Word2vec的原理介绍
全球人工智能
10+阅读 · 2018年1月4日
基于典型相关分析的词向量
AI研习社
7+阅读 · 2017年12月24日
字词的向量表示
黑龙江大学自然语言处理实验室
4+阅读 · 2016年6月13日
Top
微信扫码咨询专知VIP会员