AI首次全面超越数据库专家!腾讯、华科推出基于深度DL的云数据库自动调优系统

2019 年 6 月 17 日 AI前线
策划 & 作者 | Natalie
编辑 | Natalie
AI 前线导读: 腾讯与华中科技大学合作提出了一种基于深度强化学习的端到端的云数据库自动性能优化系统 CDBTune,此项研究是 基于 AI 技术的数据库性能调优结果首次全面超越数据库专家经验判断的传统方法。相关论文已经被国际数据库顶级会议 SIGMOD 收录。

更多优质内容请关注微信公众号“AI 前线”(ID:ai-front)

随着云计算的迅速发展,越来越多中小型企业购买云数据库服务系统来代替自建数据库。然而,大多数用户在购买云数据库服务系统后仅仅停留在使用层面上,使用过程中经常遇到数据库系统性能下降的问题,由于缺少数据库管理系统性能优化的经验,用户很难发现导致数据库系统性能下降的原因并有效地解决,这就需要云服务提供商为用户及时地调整数据库系统参数,以保证数据库的性能维持在一个较优的状态。对于拥有数十万计用户实例的云服务提供商来说,完全依赖数据库专家进行数据库参数调优并不现实,如何利用 AI 技术解决数据库系统性能问题变得越来越重要和紧迫。

近日,腾讯与华中科技大学合作发布了最新研究论文 《An End-to-End Automatic Cloud Database Tuning System Using Deep Reinforcement Learning》,该论文首次提出了一种基于深度强化学习的端到端的云数据库自动性能优化系统 CDBTune,该系统可以在缺少相关经验数据训练的情况下建立优化模型,为云数据库用户提供在线自动优化数据库性能的服务,性能调优结果首次全面超越数据库专家,将大幅提高数据库运维效率。该论文已经被国际数据库顶级会议 SIGMOD 收录,将于 6 月 30 日在荷兰阿姆斯特丹召开的 SIGMOD 2019 国际会议上公开发表。该成果由华中科技大学武汉光电国家研究中心周可教授团队和腾讯技术工程事业群云架构平台部 CDB 数据库团队合作完成,博士生张霁为第一作者。

对于该论文,SIGMOD 评审委员会给出了极高的评价:

The paper is on the exciting new area of tuning databases with machine learning. Specifically using reinforcement learning. It does not just throw machine learning techniques but it does a good effort to explain how the techniques exactly match to the particular problem, what are the analogies with more traditional machine learning terminology, etc. Given that not everyone is knowledgeable in these techniques in the DB community this works in an educational way as well and is very much appreciated.

(本文是关于利用机器学习方法优化数据库的技术,这是一个令人振奋的新领域。 特别是它使用了强化学习的方法。这篇文章不仅仅是简单地抛出一个机器学习技术,而且非常好地解释了机器学习是如何与特定的问题进行完全的匹配,同时也阐述了与传统机器学习术语之间的类比问题。鉴于在数据库社区中并非每个人都能对这些技术了如指掌,这也是一种教学方式,因此我们非常赞赏这篇文章。)

AI 前线第一时间联系到腾讯 TEG 云架构平台部 CDB 数据库团队进行了独家专访,内容整理如下:

CDBTune 因何而生?

随着自研业务以及腾讯云上数据库实例规模不断高速增长,团队发现对于很多腾讯数据库 CDB 的使用者来说,由于缺少丰富的数据库性能优化经验,很难发现导致数据库性能下降的原因并有效解决。而对于 CDB 团队来说,完全依赖数据库专家进行数据库参数调优代价昂贵且不现实。

在 CDBTune 之前,业界对于数据库性能自动调优也有一些类似工作。大概有两个方向:

  • 第一个方向主要利用启发式搜索的方法缩小高维配置空间。这种方法不利用任何历史经验数据,因此在每个调参任务开始时都需要从 0 开始,调参效率较低。

  • 另外一个方向是采用流水线方式的传统机器学习方法,导致推荐配置有一定的误差。而且需要大量高质量的经验数据进行模型训练,提高了学习门槛。

CDBTune 主要的目标就是解决两个问题:降低学习门槛和提升调参效率。

CDBTune 工作原理

CDBTune 的工作过程主要分为离线训练和在线调优两个步骤。离线训练就是用一些标准的负载生成器对数据库进行压测,边收集训练数据,边训练一个初步的配置推荐模型。当用户或者系统管理员有数据库性能优化需求时,可以通过相应的交互接口提出在线调参优化请求,此时云端的控制器通过给智能优化系统发出在线调参请求,并根据用户真实负载对之前建立好的初步模型进行微调,然后将模型微调后推荐出的相应的参数配置在数据库中进行设置。反复执行上述过程,直到待调参的数据库性能满足用户或系统管理员的需求即停止调参。

CDBTune 系统交互图

对于为什么要在系统中采用强化学习,CDB 数据库团队表示,强化学习可以边生成数据边训练模型,而且强化学习既可以在成功中学习,也可以在失败中学习,因此它对前期训练样本的质量要求不会非常高,降低了学习建模的门槛。在 CDBTune 系统中,强化学习主要通过激励信号(数据库性能的变化)优化配置推荐网络,使得推荐出来的配置参数更为合理。

强化学习与数据库性能优化关系图

CDBTune 性能表现

CDB 团队主要采用并发和延时两个指标来衡量数据库的性能。论文从整体性能比较(推荐时间、推荐结果),不同可调参数个数的影响比较,在弹性云环境下(用户内存和磁盘空间变化)CDBTune 的适应能力等三大方面对 CDBTune 进行考量。

推荐耗时比较

为了了解不同步骤在训练和调优过程中所需要的耗时,团队记录了每个步骤的平均运行时间。每个步骤的运行时间为 5 分钟,主要又细分为 5 个部分(不包括重启 CDB 的 2 分钟),如下所示:

(1)压力测试时间(152.88 秒):工作负载的运行时间 用于收集数据库当前度量的工作负载生成器的运行时间。

(2)度量收集时间(0.86 ms):从内部度量获取状态向量并通过外部指标计算奖励的运行时间。

(3)模型更新时间(28.76 ms):在一次训练过程中神经网络前向计算和反向传播的运行时间。。

(4)推荐时间(2.16 ms):从输入数据库状态到输出推荐配置的运行时间。

(5)部署时间(16.68 秒):从输出推荐配置到根据 CDB 的 API 接口部署配置的运行时间。

对于离线训练,CDBTune 在 266 种推荐配置上训练完成需要大约 4.7 小时,在 65 种推荐配置上训练需要 2.3 小时。请注意,配置数会影响离线训练时间,但不会影响在线调优的时间。对于在线调优,每个调优请求分 5 步执行 CDBTune,总的耗时为 25 分钟。

另外,团队将 CDBTune 的在线调优效率与 OtterTune、BestConfig 和 DBA 进行对比,结果如下表所示。

其中,只有 CDBTune 需要离线训练,但它只需要进行一次训练就可以使用该模型进行在线调优,而 OtterTune 在每一次收到在线调优请求的时候都需要重新训练模型,BestConfig 则需要进行在线搜索。如下表所示,对于每个调优请求,OtterTune 需要 55 分钟,BestConfig 需要大约 250 分钟,DBA 需要 8.6 小时,而 CDBTune 只需要 25 分钟。在对比实验中,研发团队邀请了 3 位 DBA 来调整参数并选择其中的最佳结果。 DBA 需要大约 2 个小时才能开始执行工作负载重放并找到影响数据库性能的因素(例如,分析源代码中最耗时的函数,然后定位原因,并找到相对应可以调整的配置),这个过程通常需要丰富的经验和大量的时间。

推荐性能比较

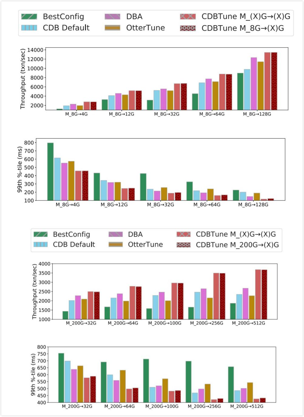
如下图所示,CDB 团队在多种不同负载和不同类型的数据库下进行的大量实验证明,CDBTune 性能优化结果明显优于目前已有数据库调优工具和 DBA 专家。即使在弹性云环境下,用户购买数据库内存或磁盘大小发生变化,或负载发生变化(类型不变)的情况下,实验证明 CDBTune 依然保持了较好的适应能力。更多对比结果和数据在论文中有详细说明。

CDBTune 性能测试结果 1:性能比较

CDBTune 性能测试结果 2:内存 / 磁盘容量变化对模型的影响

据了解,CDBTune 不仅仅适用于云数据库,对于本地数据库同样也表现出了优异的性能,实验结果可以查阅论文的附录部分。

下一步计划

目前 CDBTune 在在线推荐配置时还需要花大约 25 分钟左右的时间,CDB 团队希望进一步压缩该时间,降低用户等待时间,从而提高用户体验。另外,目前团队正在进行 CDBTune 的产品化工作,相信过不了多久大家就可以在腾讯云上体验这项研究成果,研究团队也将继续寻求技术突破,以期在数据库调参领域取得更多成果。

论文原文:

http://dbgroup.cs.tsinghua.edu.cn/ligl/papers/sigmod19-cdbtune.pdf

今日荐文

点击下方图片即可阅读

我不喜欢 Go 语言的十个理由 


福利推荐

多语言阿里小蜜、美团智能调度、云上智能机器人,众多领域纷纷引入人工智能,多种技术组合后打包为产品或服务,改变了不同领域的商业实践,使垂直领域 AI 商业化进程加速,从而掀起一场智能革命。7 月 ArchSummit 全球架构师峰会,阿里、美团、腾讯等多位技术专家与你分享 AI 最新技术,扫描下图二维码或点击【阅读原文】,查看大会详细日程:

你也「在看」吗?👇

登录查看更多
0

相关内容

轻量级神经网络架构综述
专知会员服务
97+阅读 · 2020年4月29日
【微众银行】联邦学习白皮书_v2.0,48页pdf,
专知会员服务
170+阅读 · 2020年4月26日
阿里巴巴达摩院发布「2020十大科技趋势」
专知会员服务
108+阅读 · 2020年1月2日
【白皮书】“物联网+区块链”应用与发展白皮书-2019
专知会员服务
94+阅读 · 2019年11月13日
自动机器学习:最新进展综述
专知会员服务
124+阅读 · 2019年10月13日
阿里技术大牛:一份架构师成神路线图!
51CTO博客
31+阅读 · 2019年7月6日
人脸识别技术全面总结:从传统方法到深度学习
算法与数学之美
12+阅读 · 2019年2月27日
爱奇艺基于AI的移动端自动化测试框架的设计
前端之巅
18+阅读 · 2019年2月27日
【机器学习】基于TensorFlow搭建一套通用机器学习平台
A Survey on Bayesian Deep Learning
Arxiv
64+阅读 · 2020年7月2日
Arxiv
15+阅读 · 2020年2月6日
AutoML: A Survey of the State-of-the-Art
Arxiv
75+阅读 · 2019年8月14日
Arxiv
22+阅读 · 2018年8月30日
Arxiv
5+阅读 · 2018年5月1日
Arxiv
4+阅读 · 2018年3月14日
Arxiv
3+阅读 · 2012年11月20日
VIP会员
相关论文
Top
微信扫码咨询专知VIP会员