从EMD、WMD到WRD:文本向量序列的相似度计算

2020 年 5 月 20 日 PaperWeekly


©PaperWeekly 原创 · 作者|苏剑林

单位|追一科技

研究方向|NLP、神经网络


在 NLP 中,我们经常要去比较两个句子的相似度,其标准方法是想办法将句子编码为固定大小的向量,然后用某种几何距离(欧氏距离、cos 距离等)作为相似度。这种方案相对来说比较简单,而且检索起来比较快速,一定程度上能满足工程需求。

此外,还可以直接比较两个变长序列的差异性,比如编辑距离,它通过动态规划找出两个字符串之间的最优映射,然后算不匹配程度;现在我们还有 Word2Vec、BERT 等工具,可以将文本序列转换为对应的向量序列,所以也可以直接比较这两个向量序列的差异,而不是先将向量序列弄成单个向量。

后一种方案速度相对慢一点,但可以比较得更精细一些,并且理论比较优雅,所以也有一定的应用场景。本文就来简单介绍一下属于后者的两个相似度指标,分别简称为 WMD、WRD。


Earth Mover's Distance

本文要介绍的两个指标都是以 Wasserstein 距离为基础,这里会先对它做一个简单的介绍,相关内容也可以阅读笔者旧作从 Wasserstein 距离、对偶理论到WGAN

Wasserstein 距离也被形象地称之为“推土机距离”(Earth Mover's Distance,EMD),因为它可以用一个“推土”的例子来通俗地表达它的含义。

1.1 最优传输
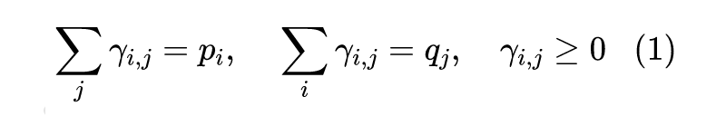
假设在位置 处我们分布有 那么多的土,简单起见我们设土的总数量为 1,即 ,现在要将土推到位置 上,每处的量为 ,而从 i 推到 j 的成本为 ,求成本最低的方案以及对应的最低成本。
这其实就是一个经典的最优传输问题。 我们将最优方案表示为 ,表示这个方案中要从 i 中把 数量的土推到 j 处,很明显我们有约束:

所以我们的优化问题是:
1.2 参考实现

看上去复杂,但认真观察下就能发现上式其实就是一个线性规划问题——在线性约束下求线性函数的极值。而scipy就自带了线性规划求解函数linprog,因此我们可以利用它实现求 Wasserstein 距离的函数:

import numpy as np
from scipy.optimize import linprog

def wasserstein_distance(p, q, D):
    """通过线性规划求Wasserstein距离
    p.shape=[m], q.shape=[n], D.shape=[m, n]
    p.sum()=1, q.sum()=1, p∈[0,1], q∈[0,1]
    """

    A_eq = []
    for i in range(len(p)):
        A = np.zeros_like(D)
        A[i, :] = 1
        A_eq.append(A.reshape(-1))
    for i in range(len(q)):
        A = np.zeros_like(D)
        A[:, i] = 1
        A_eq.append(A.reshape(-1))
    A_eq = np.array(A_eq)
    b_eq = np.concatenate([p, q])
    D = D.reshape(-1)
    result = linprog(D, A_eq=A_eq[:-1], b_eq=b_eq[:-1])
    return result.fun
读者可以留意到,在传入约束的时候用的是 A_eq=A_eq[:-1], b_eq=b_eq[:-1] ,也就是去掉了最后一个约束。
这是因为 ,所以(1)中的等式约束本身存在冗余,而实际计算中有时候可能存在浮点误差,导致冗余的约束之间相互矛盾,从而使得线性规划的求解失败,所以干脆去掉最后一个冗余的约束,减少出错的可能性。
Word Mover's Distance
很明显,Wasserstein 距离适合于用来计算两个不同长度的序列的差异性,而我们要做语义相似度的时候,两个句子通常也是不同长度的,刚好对应这个特性,因此很自然地就会联想到 Wasserstein 距离也许可以用来比较句子相似度,而首次进行这个尝试的是论文 From Word Embeddings To Document Distances [1]  
2.1 基本形式

设有两个句子 ,经过某种映射(比如  Word2Vec 或者 BERT)后,它们变成了对应的向量序列 ,现在我们就想办法用 Wasserstein 距离来比较这两个序列的相似度。

根据前一节的介绍,Wasserstein 距离需要知道 三个量,我们逐一把它们都定义好即可。
由于没有什么先验知识,所以我们可以很朴素地将让 ,所以现在还剩 。显然, 代表着第一个序列的向量 与第二个序列的向量 的某种差异性,简单起见我们可以用欧氏距离 ,所以两个句子的差异程度可以表示为:

这便是 Word Mover's Distance(WMD)(推词机距离),大概可以理解为将一个句子变为另一个句子的最短路径,某种意义上也可以理解为编辑距离的光滑版。实际使用的时候,通常会去掉停用词后再计算 WMD。

▲ Word Mover's Distance 的示意图,来自论文 From Word Embeddings To Document Distances

2.2 参考实现

参考实现如下:

def word_mover_distance(x, y):
    """WMD(Word Mover's Distance)的参考实现
    x.shape=[m,d], y.shape=[n,d]
    """

    p = np.ones(x.shape[0]) / x.shape[0]
    q = np.ones(y.shape[0]) / y.shape[0]
    D = np.sqrt(np.square(x[:, None] - y[None, :]).mean(axis=2))
    return wasserstein_distance(p, q, D)

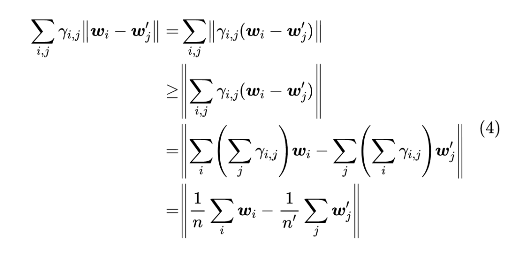
2.3 下界公式

如果是检索场景,要将输入句子跟数据库里边所有句子一一算 WMD 并排序的话,那计算成本是相当大的,所以我们要尽量减少算 WMD 的次数,比如通过一些更简单高效的指标来过滤掉一些样本,然后才对剩下的样本算 WMD。

幸运的是,我们确实可以推导出 WMD 的一个下界公式,原论文称之为 Word Centroid Distance (WCD)

也就是说,WMD 大于两个句子的平均向量的欧氏距离,所以我们要检索 WMD 比较小的句子时,可以先用 WCD 把距离比较大的句子先过滤掉,然后剩下的采用  WMD 比较。


Word Rotator's Distance

WMD 其实已经挺不错了,但非要鸡蛋里挑骨头的话,还是能挑出一些缺点来:

  1. 它使用的是欧氏距离作为语义差距度量,但从 Word2Vec 的经验我们就知道要算词向量的相似度的话,用 往往比欧氏距离要好;
  2. WMD 理论上是一个无上界的量,这意味着我们不大好直观感知相似程度,从而不能很好调整相似与否的阈值。

为了解决这两个问题,一个比较朴素的想法是将所有向量除以各自的模长来归一化后再算 WMD,但这样就完全失去了模长信息了。

最近的论文 Word Rotator's Distance: Decomposing Vectors Gives Better Representations [2] 则巧妙地提出,在归一化的同时可以把模长融入到约束条件 p,q 里边去,这就形成了  WRD。

3.1 基本形式

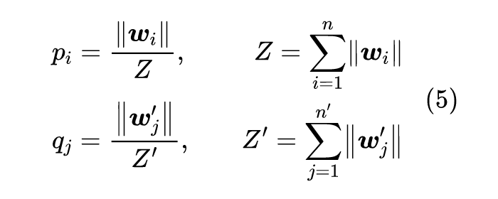
首先,WRD 提出了“词向量的模长正相关于这个词的重要程度”的观点,并通过一些实验结果验证了这个观点。事实上,这个观点跟笔者之前提出的 simpler glove 模型的观点一致,参考《更别致的词向量模型(五):有趣的结果》[3]

而在 WMD 中, 某种意义上也代表着对应句子中某个词的重要程度,所以我们可以设:

然后 就用余弦距离:

得到:

这就是 Word Rotator's Distance (WRD) 了。由于使用的度量是余弦距离,所以两个向量之间的变换更像是一种旋转(rotate)而不是移动(move),所以有了这个命名;同样由于使用了余弦距离,所以它的结果在 [-1,1] 内,相对来说更容易去感知其相似程度。

3.2 参考实现

参考实现如下:

def word_rotator_distance(x, y):
    """WRD(Word Rotator's Distance)的参考实现
    x.shape=[m,d], y.shape=[n,d]
    """

    x_norm = (x**2).sum(axis=1, keepdims=True)**0.5
    y_norm = (y**2).sum(axis=1, keepdims=True)**0.5
    p = x_norm[:, 0] / x_norm.sum()
    q = y_norm[:, 0] / y_norm.sum()
    D = 1 - np.dot(x / x_norm, (y / y_norm).T)
    return wasserstein_distance(p, q, D)


def word_rotator_similarity(x, y):
    """1 - WRD
    x.shape=[m,d], y.shape=[n,d]
    """

    return 1 - word_rotator_distance(x, y)


3.3 下界公式

同 WMD 一样,我们也可以推导出 WRD 的一个下界公式:

不过这部分内容并没有出现在 WRD 的论文中,只是笔者自行补充的。


小结

文本介绍了两种文本相似度算法 WMD、WRD,它们都是利用 Wasserstein 距离(Earth Mover's Distance,推土机距离)来直接比较两个不定长向量的差异性。这类相似度算法在效率上会有所欠缺,但是理论上比较优雅,而且效果也颇为不错,值得学习一番。

参考链接


[1] http://proceedings.mlr.press/v37/kusnerb15.html

[2] https://arxiv.org/abs/2004.15003

[3] https://kexue.fm/archives/4677





点击以下标题查看更多往期内容: 




#投 稿 通 道#

 让你的论文被更多人看到 



如何才能让更多的优质内容以更短路径到达读者群体,缩短读者寻找优质内容的成本呢?答案就是:你不认识的人。


总有一些你不认识的人,知道你想知道的东西。PaperWeekly 或许可以成为一座桥梁,促使不同背景、不同方向的学者和学术灵感相互碰撞,迸发出更多的可能性。 


PaperWeekly 鼓励高校实验室或个人,在我们的平台上分享各类优质内容,可以是最新论文解读,也可以是学习心得技术干货。我们的目的只有一个,让知识真正流动起来。


📝 来稿标准:

• 稿件确系个人原创作品,来稿需注明作者个人信息(姓名+学校/工作单位+学历/职位+研究方向) 

• 如果文章并非首发,请在投稿时提醒并附上所有已发布链接 

• PaperWeekly 默认每篇文章都是首发,均会添加“原创”标志


📬 投稿邮箱:

• 投稿邮箱:hr@paperweekly.site 

• 所有文章配图,请单独在附件中发送 

• 请留下即时联系方式(微信或手机),以便我们在编辑发布时和作者沟通



🔍


现在,在「知乎」也能找到我们了

进入知乎首页搜索「PaperWeekly」

点击「关注」订阅我们的专栏吧



关于PaperWeekly


PaperWeekly 是一个推荐、解读、讨论、报道人工智能前沿论文成果的学术平台。如果你研究或从事 AI 领域,欢迎在公众号后台点击「交流群」,小助手将把你带入 PaperWeekly 的交流群里。



登录查看更多
1

相关内容

【经典书】机器学习:贝叶斯和优化方法,1075页pdf
专知会员服务
414+阅读 · 2020年6月8日
【SIGIR2020】用于冷启动推荐的内容感知神经哈希
专知会员服务
23+阅读 · 2020年6月2日
基于多头注意力胶囊网络的文本分类模型
专知会员服务
78+阅读 · 2020年5月24日
【干货书】流畅Python,766页pdf,中英文版
专知会员服务
227+阅读 · 2020年3月22日
Transformer文本分类代码
专知会员服务
118+阅读 · 2020年2月3日
机器学习计算距离和相似度的方法
极市平台
10+阅读 · 2019年9月20日
计算文本相似度常用的四种方法
论智
33+阅读 · 2018年5月18日
用CNN做在NLP句子分类
数据挖掘入门与实战
7+阅读 · 2018年5月9日
干货|自然语言处理中的词向量 — word2vec!
全球人工智能
7+阅读 · 2018年1月25日
用线性规划去计算句子之间的相似度
AI研习社
9+阅读 · 2017年12月27日
python文本相似度计算
北京思腾合力科技有限公司
24+阅读 · 2017年11月6日
文本分析 | 常用距离/相似度 一览
数说工作室
26+阅读 · 2017年10月12日
字词的向量表示
黑龙江大学自然语言处理实验室
4+阅读 · 2016年6月13日
Learning Implicit Fields for Generative Shape Modeling
Arxiv
11+阅读 · 2018年12月6日
Arxiv
3+阅读 · 2018年8月27日
Arxiv
7+阅读 · 2018年3月12日
VIP会员
相关VIP内容
【经典书】机器学习:贝叶斯和优化方法,1075页pdf
专知会员服务
414+阅读 · 2020年6月8日
【SIGIR2020】用于冷启动推荐的内容感知神经哈希
专知会员服务
23+阅读 · 2020年6月2日
基于多头注意力胶囊网络的文本分类模型
专知会员服务
78+阅读 · 2020年5月24日
【干货书】流畅Python,766页pdf,中英文版
专知会员服务
227+阅读 · 2020年3月22日
Transformer文本分类代码
专知会员服务
118+阅读 · 2020年2月3日
相关资讯
机器学习计算距离和相似度的方法
极市平台
10+阅读 · 2019年9月20日
计算文本相似度常用的四种方法
论智
33+阅读 · 2018年5月18日
用CNN做在NLP句子分类
数据挖掘入门与实战
7+阅读 · 2018年5月9日
干货|自然语言处理中的词向量 — word2vec!
全球人工智能
7+阅读 · 2018年1月25日
用线性规划去计算句子之间的相似度
AI研习社
9+阅读 · 2017年12月27日
python文本相似度计算
北京思腾合力科技有限公司
24+阅读 · 2017年11月6日
文本分析 | 常用距离/相似度 一览
数说工作室
26+阅读 · 2017年10月12日
字词的向量表示
黑龙江大学自然语言处理实验室
4+阅读 · 2016年6月13日
Top
微信扫码咨询专知VIP会员