彻底搞懂机器学习里的L1与L2正则化

2020 年 10 月 21 日 极市平台
↑ 点击 蓝字  关注极市平台

作者丨  flora
来源丨  SAMshare
编辑丨极市平台

极市导读

 

本文主要讲述机器学习中L1与L2正则化的理论知识,关于两者的区别、优势以及如何选择,还有关于L1、L2范数作为损失函数的情况。 >>极市福利赠书活动:机器学习“蜥蜴书”最新版来了!豆瓣评分9.9!


今日锦囊


特征锦囊:今天一起搞懂机器学习里的L1与L2正则化


今天我们来讲讲一个理论知识,也是老生常谈的内容,在模型开发相关岗位中出场率较高的,那就是L1与L2正则化了,这个看似简单却十分重要的概念,还是需要深入了解的。网上有蛮多的学习资料,今天我就着自己的理解也写一下笔记。


从西瓜书里我们可以了解到正则项的作用,那就是降低模型过拟合的风险,通常常用的有L1范数正则化与L2范数正则化,作为单独一项(正则项)加入到损失函数中,也可以自己作为损失函数。


 L1 and L2范数


在了解L1和L2范数之前,我们可以先来了解一下范数(norm)的定义,根据参考文献[2]的说明:

A norm is a mathematical thing that is applied to a vector (like the vector β above). The norm of a vector maps vector values to values in [0,∞). In machine learning, norms are useful because they are used to express distances: this vector and this vector are so-and-so far apart, according to this-or-that norm.
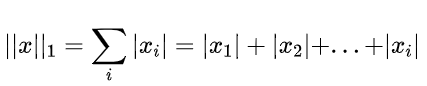
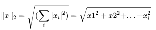
简单来说也就是范数其实在 [0,∞)范围内的值,是向量的投影大小,在机器学习中一般会勇于衡量向量的距离。范数有很多种,我们常见的有L1-norm和L2-norm,其实还有L3-norm、L4-norm等等,所以抽象来表示,我们会写作Lp-norm,一般表示为   :
对于上面这个抽象的公式,如果我们代入p值, 若p为1,则就是我们常说的L1-norm:
若p为2,则是我们常说的L2-norm:

我们引用文章里的图片,L2-norm的距离就是两个黑点之间的绿线,而另外的3条线,都是L1-norm的大小。


L1 and L2正则项

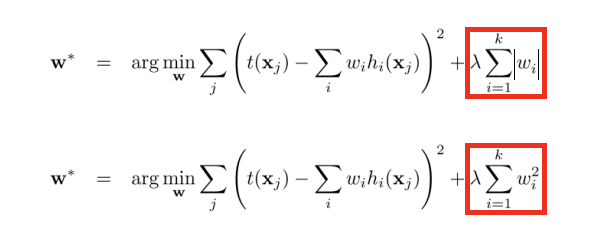
在上面我们有提及到,L1、L2范数可以用于损失函数里的一个正则化项,作用就是降低模型复杂度,减小过拟合的风险。这里的正则化项,存在的目的就是作为一个“惩罚项”,对损失函数中的某一些参数做一些限制,是结构风险最小化策略的体现,就是选择经验风险(平均损失函数)和模型复杂度同时较小的模型。

针对线性回归模型,假设对其代价函数里加入正则化项,其中L1和L2正则化项的表示分别如下所示,其中λ >= 0,是用来平衡正则化项和经验风险的系数。

(1)使用L1范数正则化,其模型也被叫作Lasso回归(Least Absolute Shrinkage and Selection Operator,最小绝对收缩选择算子)。
(2)使用L2范数正则化,其模型被叫做Ridge回归,中文为岭回归。

机器学习中一般怎么选择正则项

上面介绍的L1和L2范数正则化都有着降低过拟合风险的功能,但它们有什么不同?我们到底应该选择哪一个呢,两者之间各有什么优势和适用场景?别急,我们一一来展开讲讲。
Q1:L1和L2正则化项的区别?

首先,我们从上面那张二维的图可以看出,对于L2-norm,其解是唯一的,也就是绿色的那条;而对于L1-norm,其解不唯一,因此L1正则化项,其计算难度通常会高于L2的。

其次,L1通常是比L2更容易得到稀疏输出的,会把一些不重要的特征直接置零,至于为什么L1正则化为什么更容易得到稀疏解,可以看下图:

上图代表的意思就是目标函数-平方误差项的等值线和L1、L2范数等值线(左边是L1),我们正则化后的代价函数需要求解的目标就是在经验风险和模型复杂度之间的平衡取舍,在图中形象地表示就是黑色线与彩色线的交叉点。

对于L1范数,其图形为菱形,二维属性的等值线有4个角(高维的会有更多),“突出来的角”更容易与平方误差项进行交叉,而这些“突出来的角”都是在坐标轴上,即W1或则W2为0;

而对于L2范数,交叉点一般都是在某个象限中,很少有直接在坐标轴上交叉的。

因此L1范数正则化项比L2的更容易得到稀疏解。

Q2:各有什么优势,如何作选择?

直接上结论:

1)因为L1范数正则化项的“稀疏解”特性,L1更适合用于特征选择,找出较为“关键”的特征,而把一些不那么重要的特征置为零。

2)L2范数正则化项可以产生很多参数值很小的模型,也就是说这类的模型抗干扰的能力很强,可以适应不同的数据集,适应不同的“极端条件”。

 如何作为Loss Function

讲完了作为正则化项的内容了,那么讲讲L1、L2范数作为损失函数的情况。假设我们有一个线性回归模型,我们需要评估模型的效果,很常规的,我们会用“距离”来衡量误差!

若使用L1-norm来衡量距离,那就是我们的LAD(Least Absolute Deviation,最小绝对偏差),其优化的目标函数如下:

实际意义上的解释就是预测值与真实值之间的绝对值。
若使用L2-norm,那就是我们的LSE(Least Squares Error,最小二乘误差),其优化的目标函数如下:
针对两者的差异,可以看下表:

L1损失函数的结果更具鲁棒性,也就是说对于异常值更加不敏感。而根据其范数“天性”,L2的求解更为简单与“唯一”。 

Reference

[1] Differences between L1 and L2 as Loss Function and Regularization

http://www.chioka.in/differences-between-l1-and-l2-as-loss-function-and-regularization/

[2] L1 Norms versus L2 Norms

https://www.kaggle.com/residentmario/l1-norms-versus-l2-norms


推荐阅读



 ACCV 2020国际细粒度网络图像识别竞赛正式开赛!



添加极市小助手微信(ID : cvmart2),备注:姓名-学校/公司-研究方向-城市(如:小极-北大-目标检测-深圳),即可申请加入极市目标检测/图像分割/工业检测/人脸/医学影像/3D/SLAM/自动驾驶/超分辨率/姿态估计/ReID/GAN/图像增强/OCR/视频理解等技术交流群:月大咖直播分享、真实项目需求对接、求职内推、算法竞赛、干货资讯汇总、与 10000+来自港科大、北大、清华、中科院、CMU、腾讯、百度等名校名企视觉开发者互动交流~

△长按添加极市小助手

△长按关注极市平台,获取 最新CV干货

觉得有用麻烦给个在看啦~   
登录查看更多
0

相关内容

首篇「课程学习(Curriculum Learning)」2021综述论文
专知会员服务
50+阅读 · 2021年1月31日
《机器学习思维导图》,一图掌握机器学习知识要点
专知会员服务
68+阅读 · 2021年1月12日
专知会员服务
183+阅读 · 2021年1月8日
机器学习的可解释性
专知会员服务
178+阅读 · 2020年8月27日
【机器学习术语宝典】机器学习中英文术语表
专知会员服务
61+阅读 · 2020年7月12日
【经典书】机器学习高斯过程,266页pdf
专知会员服务
200+阅读 · 2020年5月2日
Sklearn 与 TensorFlow 机器学习实用指南,385页pdf
专知会员服务
131+阅读 · 2020年3月15日
机器学习速查手册,135页pdf
专知会员服务
345+阅读 · 2020年3月15日
机器学习入门的经验与建议
专知会员服务
94+阅读 · 2019年10月10日
【机器学习】一文读懂线性回归、岭回归和Lasso回归
人工智能头条
6+阅读 · 2019年10月22日
BAT机器学习面试题1000题(376~380题)
七月在线实验室
9+阅读 · 2018年8月27日
BAT机器学习面试题1000题(331~335题)
七月在线实验室
12+阅读 · 2018年8月13日
详解常见的损失函数
七月在线实验室
20+阅读 · 2018年7月12日
机器学习者都应该知道的五种损失函数!
数盟
5+阅读 · 2018年6月21日
面试整理:关于代价函数,正则化
数据挖掘入门与实战
8+阅读 · 2018年3月29日
机器学习(27)【降维】之主成分分析(PCA)详解
机器学习算法与Python学习
9+阅读 · 2017年11月22日
BAT题库 | 机器学习面试1000题系列(第196~200题)
七月在线实验室
17+阅读 · 2017年11月16日
机器学习(23)之GBDT详解
机器学习算法与Python学习
12+阅读 · 2017年10月25日
机器学习(13)之最大熵模型详解
机器学习算法与Python学习
7+阅读 · 2017年8月24日
Arxiv
11+阅读 · 2018年7月8日
Arxiv
11+阅读 · 2018年1月18日
Arxiv
5+阅读 · 2018年1月17日
VIP会员
相关VIP内容
首篇「课程学习(Curriculum Learning)」2021综述论文
专知会员服务
50+阅读 · 2021年1月31日
《机器学习思维导图》,一图掌握机器学习知识要点
专知会员服务
68+阅读 · 2021年1月12日
专知会员服务
183+阅读 · 2021年1月8日
机器学习的可解释性
专知会员服务
178+阅读 · 2020年8月27日
【机器学习术语宝典】机器学习中英文术语表
专知会员服务
61+阅读 · 2020年7月12日
【经典书】机器学习高斯过程,266页pdf
专知会员服务
200+阅读 · 2020年5月2日
Sklearn 与 TensorFlow 机器学习实用指南,385页pdf
专知会员服务
131+阅读 · 2020年3月15日
机器学习速查手册,135页pdf
专知会员服务
345+阅读 · 2020年3月15日
机器学习入门的经验与建议
专知会员服务
94+阅读 · 2019年10月10日
相关资讯
【机器学习】一文读懂线性回归、岭回归和Lasso回归
人工智能头条
6+阅读 · 2019年10月22日
BAT机器学习面试题1000题(376~380题)
七月在线实验室
9+阅读 · 2018年8月27日
BAT机器学习面试题1000题(331~335题)
七月在线实验室
12+阅读 · 2018年8月13日
详解常见的损失函数
七月在线实验室
20+阅读 · 2018年7月12日
机器学习者都应该知道的五种损失函数!
数盟
5+阅读 · 2018年6月21日
面试整理:关于代价函数,正则化
数据挖掘入门与实战
8+阅读 · 2018年3月29日
机器学习(27)【降维】之主成分分析(PCA)详解
机器学习算法与Python学习
9+阅读 · 2017年11月22日
BAT题库 | 机器学习面试1000题系列(第196~200题)
七月在线实验室
17+阅读 · 2017年11月16日
机器学习(23)之GBDT详解
机器学习算法与Python学习
12+阅读 · 2017年10月25日
机器学习(13)之最大熵模型详解
机器学习算法与Python学习
7+阅读 · 2017年8月24日
Top
微信扫码咨询专知VIP会员