重磅!MobileNetV3 来了!

2019 年 5 月 11 日 计算机视觉life

点击上方“计算机视觉life”,选择“置顶”

本文转载自我爱计算机视觉,禁二次转载


在现代深度学习算法研究中,通用的骨干网+特定任务网络head成为一种标准的设计模式。比如VGG + 检测Head,或者inception + 分割Head。


在移动端部署深度卷积网络,无论什么视觉任务,选择高精度的计算量少和参数少的骨干网是必经之路。这其中谷歌家去年发布的 MobileNetV2是首选。


在MobileNetV2论文发布时隔一年4个月后,MobileNetV3 来了!


这必将引起移动端网络升级的狂潮,让我们一起来看看这次又有什么黑科技!


昨天谷歌在arXiv上公布的论文《Searching for MobileNetV3》,详细介绍了MobileNetV3的设计思想和网络结构。



先来说下结论:MobileNetV3 没有引入新的 Block,题目中Searching已经道尽该网络的设计哲学:神经架构搜索!


研究人员公布了 MobileNetV3 有两个版本,MobileNetV3-Small 与 MobileNetV3-Large 分别对应对计算和存储要求低和高的版本。


下图分别是MobileNetV3两个版本与其他轻量级网络在Pixel 1 手机上的计算延迟与ImageNet分类精度的比较。可见MobileNetV3 取得了显著的比较优势。



下图是ImageNet分类精度、MADD计算量、模型大小的比较,MobileNetV3依然是最优秀的。



高效的网络构建模块


前面已经说过,MobileNetV3 是神经架构搜索得到的模型,其内部使用的模块继承自:


1. MobileNetV1 模型引入的深度可分离卷积(depthwise separable convolutions);

2. MobileNetV2 模型引入的具有线性瓶颈的倒残差结构(the inverted residual with linear bottleneck);

3. MnasNet 模型引入的基于squeeze and excitation结构的轻量级注意力模型。


这些被证明行之有效的用于移动端网络设计的模块是搭建MobileNetV3的积木。


互补搜索


在网络结构搜索中,作者结合两种技术:资源受限的NAS(platform-aware NAS)与NetAdapt,前者用于在计算和参数量受限的前提下搜索网络的各个模块,所以称之为模块级的搜索(Block-wise Search) ,后者用于对各个模块确定之后网络层的微调。

这两项技术分别来自论文:

M. Tan, B. Chen, R. Pang, V. Vasudevan, and Q. V. Le. Mnasnet: Platform-aware neural architecture search for mobile. CoRR, abs/1807.11626, 2018. 

T. Yang, A. G. Howard, B. Chen, X. Zhang, A. Go, M. Sandler, V. Sze, and H. Adam. Netadapt: Platform-aware neural network adaptation for mobile applications. In ECCV, 2018

前者相当于整体结构搜索,后者相当于局部搜索,两者互为补充。


到这里,我们还没看到算法研究人员的工作在哪里(启动训练按钮?)

继续往下看。


网络改进


作者们发现MobileNetV2 网络端部最后阶段的计算量很大,重新设计了这一部分,如下图:



这样做并不会造成精度损失。


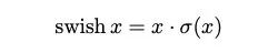
另外,作者发现一种新出的激活函数swish x 能有效改进网络精度:


但就是计算量太大了。

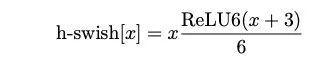
于是作者对这个函数进行了数值近似:

事实证明,这个近似很有效:


从图形上看出,这两个函数的确很接近。


MobileNetV3 网络结构!


这就是今天的主角了!

使用上述搜索机制和网络改进,最终谷歌得到的模型是这样(分别是MobileNetV3-Large和MobileNetV3-Small):




内部各个模块的类型和参数均已列出。

谷歌没有公布用了多少时间搜索训练。

目前谷歌还没有公布MobileNetV3的预训练模型,不过读者可以按照上述结构构建网络在ImageNet上训练得到权重。


实验结果


作者使用上述网络在分类、目标检测、语义分割三个任务中验证了MobileNetV3的优势:在计算量小、参数少的前提下,相比其他轻量级网络,依然在在三个任务重取得了最好的成绩。


下图是ImageNet分类Top-1精度、计算量、参数量及在Pixel系列手机实验的结果:



下图是与前一代MobieNetV2的比较结果:



这是使用其构筑的SSDLite目标检测算法在MS COCO数据集上的比较结果:



V3-Large取得了最高的精度,V3-Small 取得了V2近似的精度,速度却快很多。


另外作者基于MobieNetV3设计了新的轻量级语义分割模型Lite R-ASPP:



下图是使用上述分割算法在CItyScapes验证集上的结果比较:



精度提升不明显,速度有显著提升。


下图是与其他轻量级语义分割算法的比较,MobileNetV3取得了不小的优势。



总结一下:

MobileNetV3-Large在ImageNet分类上的准确度与MobileNetV2相比提高了3.2%,同时延迟降低了15%。

MobileNetV3-large 用于目标检测,在COCO数据集上检测精度与MobileNetV2大致相同,但速度提高了25%。

Cityscapes语义分割任务中,新设计的模型MobileNetV3-Large LR-ASPP 与 MobileNetV2 R-ASPP分割精度近似,但快30%。


期待谷歌早日将其预训练模型开源~


神经架构搜索火了,但感觉是不是算法设计也越来越乏味了。。。

欢迎发表你的看法。

推荐阅读

CVPR2019 | Decoders 对于语义分割的重要性
CVPR2019 | R-MVSNet: 一个高精度高效率的三维重建网络
CVPR2019 | SiamMask:视频跟踪最高精度
CVPR 2019 | 用异构卷积训练深度CNN:提升效率而不损准确度
CVPR 2019 | 人大 ML 研究组提出新的视频测谎算法
CVPR2019 | 医学影像:MIT 利用学习图像变换进行数据增强
CVPR 2019 | GeoNet:基于测地距离的点云分析深度网络
CVPR2019 | 中科大&微软开源:姿态估计新模型HRNet
CVPR 2019 | 京东提出 ScratchDet:随机初始化训练SSD目标检测器
CVPR 2019 | 微软亚研院提出用于语义分割的结构化知识蒸馏
CVPR2019 | 6D目标姿态估计,李飞飞等提出DenseFusion
CVPR 2019 | PointConv:在点云上高效实现卷积操作
CVPR 2019 | 图像压缩重建也能抵御对抗样本
CVPR 2019 | 神奇的超分辨率算法DPSR:应对图像模糊降质
综述 | CVPR2019目标检测方法进展


关注:计算机视觉life,一起探索计算机视觉新世界~


觉得有用,给个在看啦~  

登录查看更多
4

相关内容

[ICML-Google]先宽后窄:对深度薄网络的有效训练
专知会员服务
36+阅读 · 2020年7月5日
最新《知识蒸馏》2020综述论文,20页pdf,悉尼大学
专知会员服务
158+阅读 · 2020年6月14日
专知会员服务
74+阅读 · 2020年5月21日
【Google】利用AUTOML实现加速感知神经网络设计
专知会员服务
30+阅读 · 2020年3月5日
【NeurIPS 2019】7篇自动化神经网络搜索(NAS)论文简读
中国人工智能学会
15+阅读 · 2019年9月13日
已删除
将门创投
4+阅读 · 2019年5月8日
TResNet: High Performance GPU-Dedicated Architecture
Arxiv
8+阅读 · 2020年3月30日
Panoptic Feature Pyramid Networks
Arxiv
3+阅读 · 2019年1月8日
Arxiv
7+阅读 · 2018年12月10日
VIP会员
Top
微信扫码咨询专知VIP会员