穿越不可能的距离

2018 年 12 月 25 日 中国物理学会期刊网

圣诞老人奇幻之旅」系列


《圣诞老人奇幻之旅》中,我们提到“烛星”系统距离地球1830光年,如果圣诞老人驾着雪橇以“新视野号”的速度(59000公里/小时)行进,这需要大约三千多万年的时间才能抵达地球。即使圣诞老人快如光速也需要千年的时间,那么他要如何在短时间内穿越这不可能的距离?或许雪橇可以超光速?但爱因斯坦的狭义相对论告诉我们,没有任何物体能够运动的与光速一样快,这是绝对被禁止的。看来,圣诞老人只剩下唯一的一个选择——虫洞。


著名的天文学家卡尔·萨根(Carl Sagan),曾被科幻小说家艾萨克·阿西莫夫(Isaac Asimov)推崇为“历史上最成功的科学普及家”。他不仅设计了旅行者号的“星际唱片”、先驱者号的“地球名片”,还创作了像《伊甸园的飞龙》、《暗淡蓝点》、《魔鬼出没的世界》等脍炙人口的经典作品。


 卡尔·萨根在科学成就和科学普及方面都极其成功。


上个世纪80年代,萨根创作了极为成功的作品《宇宙》,让更多的人认识到,其实我们和宇宙之间有着千丝万缕的联系,正如他所写道的:“宇宙也在我们体内,我们都是星尘构成的。我们是宇宙了解其自身的途径。”


在完成《宇宙》之后,他决定写一本关于星际旅行的科幻小说:《接触》。他在书中所设计的桥段是让女主角快速地旅行到远在26光年之外的织女星旁。但萨根为了在科学上尽量保持精确,于是他向他的好朋友基普·索恩(Kip Thorne)寻求建议。



 基普·索恩。| 图片来源: 腾讯WE大会


如果你看过电影《星际穿越》,听说过黑洞合并辐射出的引力波,关注过2017年的诺贝尔物理学奖,那么就不可能不认识基普·索恩,他是研究爱因斯坦的引力理论——广义相对论方面的专家。


广义相对论方程就像是一张神秘的配方,描述着时空(空间和时间的结合)如何被揉成各种形状——从扁平煎饼到弯曲的羊角面包。这些时空的形状决定其他物体的运动方式。试想一下,当你在野餐时,看见一直路过的蚂蚁。仔细观察你会发现这只蚂蚁绕着苹果走的路线要比穿过餐巾纸的路线更曲折,这就好比宇宙中的物体(行星、彗星等)也会在弯曲的区域沿着弯曲的路径移动。那么,是什么弯曲了时空?是质量和能量的总量与分布,例如,太阳系的引力阱是由太阳的质量雕刻出来的。



 质量会弯曲时空。


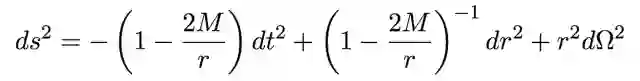
在极端情况下,聚集在足够小区域内的一团物质会撕裂时空的结构,导致所谓的奇点——一个密度无穷大的点。在这一点上,时空似乎走到了尽头。这并非科幻小说中的情节,而是广义相对论的核心方程的史瓦西解的情况。史瓦西解描述的是超致密的、坍缩的恒星核——黑洞


 史瓦西度规是真空爱因斯坦场方程的一个解。仔细看史瓦西解就会发现当 r = 2M(r 为半径,M 为质量)时出现的奇异性,这个半径也被称为史瓦西半径。不仅如此,当半径为零时(r = 0),史瓦西的解中也具有奇异性,我们对其最好的理解是,这些奇异性标记着时空中真正的物理奇点(r = 2M的奇异性可以通过坐标变换予以消除),几何自身在奇点处失效。如果你进入一个史瓦西黑洞,你就会遇到这个奇点,但我们不知道接下来会发生什么,甚至说不确定“接下来”是否是个恰当的词。


1935年,当时在普林斯顿高等研究院的爱因斯坦和内森·罗森(Nathan Rosen)对史瓦西解的重新解释,避免了这些奇点。他们设想了一个时空隧道,可以连接两个相距遥远的区域,这被称为“爱因斯坦-罗森桥”。上世纪60年代,索恩的博士导师、创造“黑洞”一词的那位富有创造力的物理学家——约翰·惠勒(John Wheeler)将这些连接称为“虫洞”。试想有一只虫子,如果它想从一端爬到另一端,最快的方法就是抄近道:直接穿过苹果内部。




当萨根联系索恩时,索恩设想了一个类似史瓦西虫洞的东西,连接着空间中两个遥远的部分,可以说是一条星际隧道。


但索恩意识到,史瓦西虫洞是行不通的。首先,它非常不稳定,即使是一点点质量的引力作用也会导致它的崩塌。因此,如果一艘宇宙飞船试图进入史瓦西虫洞,虫洞就会关闭。而且,如果虫洞的入口位于一个黑洞的内部,旅行者将会遭遇到致命的辐射、让人粉身碎骨的引力,以及足以让人恶心反胃的加速度


索恩和迈克尔·莫里斯(Michael Morris)想出一个替代方案,他们找到了广义相对论方程的一种新颖的解,这种解是一个可以被人类旅行者穿越的虫洞。


如何穿越虫洞?


这个解决方案是专门为消除进入黑洞的麻烦而设计的,可以相对快速、舒适地通过虫洞。进入虫洞的“洞口”(入口),然后穿过虫洞的“咽喉”(通道),旅行者会发现自己从空间中另一处的另一个口里冒出来。如果一切顺利,她将迅速到达另一颗恒星附近,而不是经过数百年甚至更长的时间才能到达。




莫里斯和索恩意识到,他们的计划是极端假设性的,需要一个几乎不可思议的工程壮举才能实现。首先,创造虫洞所需的质量相当于一个星系的质量。此外,还需要一种新的被称为“奇异物质”的负能量密度的材料,来撑开虫洞的喉咙,防止它坍塌。然而,没有什么已知物质的质量是负的。


惠灵顿维多利亚大学的物理学家马特·维瑟(Matt Visser)提出了一些让人保持乐观的理由,他很快就找到了一种方法,将所需的异常物质的质量降至最低。正如他和其他人指出的那样,奇异物质具有与量子真空能量相同的特征,量子真空是粒子物理的基态,具有能够产生排斥力的负压强。


也许未来的文明能够开采出足够的能量来建造虫洞。被称为“幽灵能量(phantom energy)的假想能量——一种具有相当大负压强的暗能量,被用来解释宇宙膨胀的加速度——也有望成为稳定虫洞的潜在方法。


在莫里斯和索恩发表第一篇论文后不久,他们与索恩在加州理工学院的另一名博士生乌尔维·尤尔瑟弗(Ulvi Yurtsever)合作,撰写了另一篇引人注目的文章,展示虫洞如何能够被用作时间机器。


关键是要加速虫洞的一个洞口,使之接近光速,同时让另一个洞口保持静止。狭义相对论的时间膨胀现象告诉我们,相对于一个静止的观察者,在一个接近光速的物体附近的时间会显著减慢。因此,虽然静止的洞口已经经过了100年,而高速的口——如果它的速度足够快——或许只经过了一年时间。如果前者的日历显示的是2118年,那么后者的日历就是2019年。假设一个太空旅行者在2118年航行到虫洞固定的口,如果通过虫洞喉咙的速度足够快,她将在2019年从虫洞移动的口里出来。


回到过去


如果在打开这篇文章之前,你曾在犹豫过自己出了阅读这篇文章还可以做些什么,那么现在你或许有了答案——假设你有一艘先进的宇宙飞船和一个宇宙定位系统(CPS)装置,只要找到一个虫洞,穿过它,回到你开始阅读这篇文章之前的时间,说服自己去打一局游戏就可以了。


然而,有人提醒说,你的行为会造成一个悖论,因为如果你从未读过这篇文章,你就不知道如何回到过去(或者至少没有必要)


为了避免诸如此类的悖论,比如遇见过去的自己并说服自己永远不要追求时间旅行,或者回到过去并意外地消灭自己的祖先,一些物理学家断言,穿越回过去的时间旅行是不可能的。例如,斯蒂芬·霍金(Stephen Hawking)提出了时序保护猜想,以保护过去不受篡改。


其他人,比如莫斯科州立大学和俄罗斯列别捷夫物理研究所的伊戈尔·诺维科夫( Igor Novikov)则在他所谓的“自我一致性原则”中提出,通向过去的时间航行没有问题,只要改变的过去与现在保持一致,也就是说,它确实应该发生。例如,如果你回到过去,说服卡尔·萨根,虫洞不适合他的小说,也许这就是他需要联系基普·索恩、看看虫洞是否适合的动机,而这导致了后来实际发生的事情。


最后,有一些人推测,逆时间旅行可能会导致时间分叉,从而通向平行现实。


无论如何,索恩、莫里斯、尤尔瑟弗、诺维科夫、霍金、维瑟等人的工作推动了对时空旅行和虫洞的讨论,使之从充满幻想的科幻小说发展为严肃的、同行评议的(尽管是高度推测性的)科学。


谁知道呢,也许有一天,我们的文明会进步到足以验证这些深远的假设,并创造或发现真正的虫洞。只有时间会告诉我们答案。如果虫洞存在,我们就拥有了世界上所有的时间。



ER = EPR


 近年来,物理学家提出了不需要奇异物质也可以穿越的虫洞。这类型的虫洞引起了广泛的注意,因为它具有帮助物理学家解决黑洞信息悖论的潜力。这其中与ER=EPR有关。关于黑洞信息悖论可阅读:《他留下了一个谜题》,关于ER=EPR可阅读:《爱丽丝虫洞奇遇记》

编译:Zwicky

参考链接:

https://www.pbs.org/wgbh/nova/article/wormholes-as-time-machines/

https://www.quantamagazine.org/newfound-wormhole-allows-information-to-escape-black-holes-20171023/

http://adsabs.harvard.edu/abs/1988AmJPh..56..395M

https://journals.aps.org/prd/abstract/10.1103/PhysRevD.39.3182

https://journals.aps.org/prl/abstract/10.1103/PhysRevLett.61.1446

https://journals.aps.org/prd/abstract/10.1103/PhysRevD.46.603

https://arxiv.org/pdf/1608.05687.pdf




十大热门文章

1. 一幅图读懂量子力学(下)

2. 真空不空| 涂涛 郭光灿

3. 吾爱吾师及真理——大师间的师生情 | 周末大家谈

4. 为纪念物理大师费曼百年诞辰而作 | 赵凯华

5. 纪念费曼 | 姬扬

6. 关于统计力学的基本原理 | 郑伟谋

7. 物理英才‖曹则贤带你解析大自然的花样

8. 超导“小时代”之三十七:超导之从鱼到渔

9. 科学的一生——怀念父亲程开甲 | 程漱玉

10. 量子十问之二:“爱因斯坦幽灵”能用来实现超光速通信吗?| 郭光灿

END



登录查看更多
0

相关内容

穿越到古代。
少标签数据学习,54页ppt
专知会员服务
205+阅读 · 2020年5月22日
Python数据分析:过去、现在和未来,52页ppt
专知会员服务
103+阅读 · 2020年3月9日
【财富空间】一个人真正的资本是什么
产业智能官
6+阅读 · 2018年3月16日
Arxiv
136+阅读 · 2018年10月8日
Arxiv
7+阅读 · 2018年5月23日
Arxiv
3+阅读 · 2015年5月16日
VIP会员
相关VIP内容
相关论文
Arxiv
136+阅读 · 2018年10月8日
Arxiv
7+阅读 · 2018年5月23日
Arxiv
3+阅读 · 2015年5月16日
Top
微信扫码咨询专知VIP会员