NAVER提出字符级别的文本检测网络:CRAFT

2019 年 5 月 15 日 CVer

点击上方“CVer”,选择加"星标"或“置顶”

重磅干货,第一时间送达

作者:柏林Designer

https://zhuanlan.zhihu.com/p/64811950

本文已授权,未经允许,不得二次转载

Character Region Awareness for Text Detection 
KeyWords PlusCVPR2019 Curved Text

paper :https://arxiv.org/abs/1904.01941

NAVER:line的母公司,韩国的最大的互联网公司,字符级别的文字检测,采用了CAM热力图的操作去检测每一个字符

Introduction

字符级别的文本检测网络,用的是分水岭算法生成label,采用heatmaps去得到激活值最大的目标区域,有点attention的感觉。

1、论文创新点

1.提出了一篇字符级别的检测算法
2.预测得到 :1.The character region score 2. Affinity score. The region score is used to localize individual characters in the image, and the affinity score is used to group each character into a single instance.
3.Propose a weakly- supervised learning framework that estimates character- level ground truths in existing real word-level datasets.

2、算法主体

改论文主要预测每个字符区域和字符之间的一个紧密程度预测,因为没有字符级别的label,所以模型训练在一个弱监督的方式下。网络的backbone采用VGG16,之后接上采样最终输出两个通道:the region score and the affinity score

训练在一个弱监督学习的方式下,有人造合成的数据集具有字符级别的label,real image没有字符级别的标注时,自己检测合成产生label再进行训练。如上图所示,对真实场景中的数据集和人造合成的数据集有不同的训练方式。

3、label generation

分别产生Region Score GTAffinity Score GT

the following steps to approximate and generate the ground truth for both the region score and the affinity score:

1) prepare a2-dimensional isotropic Gaussian map;

2) compute perspective transformbetween the Gaussian map region and each character box;

3) warp Gaussian mapto the box area.

使用小感受野也能预测大文本和长文本,只需要关注字符级别的内容而不需要关注整个文本实例。

三步产生字符级别的label: 


1、抠出文本级别的内容 
2、预测region score区域 
3、运用分水岭算法 
4、得到字符基本的文字框 
5、贴上文字框

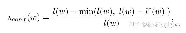
为了防止在弱监督方式下产生的错误label带偏网络,该论文提出了一个评价方式(虽然我没有咋看明白),大概就是计算一个

4、Post-processing

正常文本后处理分为以下几步:

1、首先对0-1之间的概率图进行取阈值计算 
2、使用Connected Component Labeling(CCL) 进行区域连接 
3、最后使用opencv的MinAreaRect去框出最小的四边形区域

不规则文本检测后处理分为以下几步(如上图所示):

1、先找到扫描方向的局部最大值(blue line) 
2、连接所有the local maxima上的中心点叫做中心线 
3、然后将the local maxima lines旋转至于中心线垂直 
4、the local maxima lines上的端点是文本控制点的候选点,为了能更好的覆盖文本,将文本最外端的两个控制点分别向外移动the local maxima lines的半径长度最为最终的控制点。

5、Experiment Results

ICD13-ICD15-ICD17
Total-CTW

6、Conclusion and Future work

个人观点:不太受感受野的限制,只关注单个文字,对于长文本和不规则文本不必特意去设置相应大小的卷积提升感受野。

反馈与建议

  • 邮箱:<weij ia_wu@yeah.net>

CVer-文本检测&识别群


扫码添加CVer助手,可申请加入CVer-文本检测&识别群。一定要备注:文本检测+地点+学校/公司+昵称(如文本检测+上海+上交+卡卡)

▲长按加群


这么硬的论文分享,麻烦给我一个在在看


▲长按关注我们

麻烦给我一个在看

登录查看更多
0

相关内容

【CVPR2020】跨模态哈希的无监督知识蒸馏
专知会员服务
61+阅读 · 2020年6月25日
CVPR2020 | 商汤-港中文等提出PV-RCNN:3D目标检测新网络
专知会员服务
45+阅读 · 2020年4月17日
【CVPR2020-百度】用于视觉识别的门控信道变换
专知会员服务
13+阅读 · 2020年3月30日
【ICLR-2020】网络反卷积,NETWORK DECONVOLUTION
专知会员服务
39+阅读 · 2020年2月21日
[综述]深度学习下的场景文本检测与识别
专知会员服务
78+阅读 · 2019年10月10日
计算机视觉最佳实践、代码示例和相关文档
专知会员服务
20+阅读 · 2019年10月9日
自然场景文本检测技术综述(CTPN, SegLink, EAST)
极市平台
12+阅读 · 2019年7月30日
论文盘点:CVPR 2019 - 文本检测专题
PaperWeekly
14+阅读 · 2019年5月31日
CVPR2019 | 文本检测算法综述
极市平台
34+阅读 · 2019年5月30日
华科白翔老师团队ECCV2018 OCR论文:Mask TextSpotter
极市平台
3+阅读 · 2018年7月31日
深度学习CTPN算法的解读与tensorflow实现
数据挖掘入门与实战
5+阅读 · 2017年11月30日
OCR开源库(文本区域定位和文本识别):github
数据挖掘入门与实战
28+阅读 · 2017年11月26日
Talking-Heads Attention
Arxiv
15+阅读 · 2020年3月5日
An Analysis of Object Embeddings for Image Retrieval
Arxiv
4+阅读 · 2019年5月28日
Arxiv
7+阅读 · 2018年1月24日
VIP会员
相关VIP内容
【CVPR2020】跨模态哈希的无监督知识蒸馏
专知会员服务
61+阅读 · 2020年6月25日
CVPR2020 | 商汤-港中文等提出PV-RCNN:3D目标检测新网络
专知会员服务
45+阅读 · 2020年4月17日
【CVPR2020-百度】用于视觉识别的门控信道变换
专知会员服务
13+阅读 · 2020年3月30日
【ICLR-2020】网络反卷积,NETWORK DECONVOLUTION
专知会员服务
39+阅读 · 2020年2月21日
[综述]深度学习下的场景文本检测与识别
专知会员服务
78+阅读 · 2019年10月10日
计算机视觉最佳实践、代码示例和相关文档
专知会员服务
20+阅读 · 2019年10月9日
相关资讯
自然场景文本检测技术综述(CTPN, SegLink, EAST)
极市平台
12+阅读 · 2019年7月30日
论文盘点:CVPR 2019 - 文本检测专题
PaperWeekly
14+阅读 · 2019年5月31日
CVPR2019 | 文本检测算法综述
极市平台
34+阅读 · 2019年5月30日
华科白翔老师团队ECCV2018 OCR论文:Mask TextSpotter
极市平台
3+阅读 · 2018年7月31日
深度学习CTPN算法的解读与tensorflow实现
数据挖掘入门与实战
5+阅读 · 2017年11月30日
OCR开源库(文本区域定位和文本识别):github
数据挖掘入门与实战
28+阅读 · 2017年11月26日
Top
微信扫码咨询专知VIP会员