CVPR 2022|重新思考对齐Prototype的域自适应:基于Graph Matching的新范式

2022 年 4 月 7 日 PaperWeekly


©作者 |  李舞阳
单位 |  AIM Group/香港城市大学
研究方向 |  目标检测


论文题目:
SIGMA: Semantic-complete Graph Matching for Domain Adaptive Object Detection

论文链接:

https://arxiv.org/abs/2203.06398

项目链接:

https://github.com/CityU-AIM-Group/SIGMA

本文介绍我们的工作:SIGMA: Semantic-complete Graph Matching for Domain Adaptive Object Detection。其实主要有两个目的: 1)希望能分享自己在做本工作的一些思考,起到抛砖引玉的效果。2)希望能解释下本工作一些可能引起困惑的地方,帮助大家更好的了解本工作的思路。 对于一些个人理解的浅薄、错误之处,也欢迎大家指出,互相学习(本文章会继续更新)。同时, 欢迎感兴趣的伙伴加入我们的 AIM Group,我们组招多个 Postdoc 和 RA。



序言


Prototype 这个词相信大家都不陌生,作为一种面向“中心”的“描述子”,已经被广泛应用到各种基于机器学习的视觉任务,其核心思想可以抽象为:用少量归纳的知识描述或建模大量样本的分布特性,进而服务于下游任务。个人感觉,这类工作可以由四个“变量”共同决定:

1)数据层次: 这种思想可以应用于各种层次的样本,比如从一张图片的像素集,到一个 domain 的样本分布等。2)定义方式:这种基于中心的定义方式有很多,比如样本点的均值、质心等。3)更新/学习方式:prototype 的学习与更新方式有很多,比如去年比较流行的 momentum。4)下游任务:有了 prototype 我们怎么服务于特定的任务(比如对于跨域的对齐 prototype,X-shot 的用 prototype 索引,或者单纯为了表征学习)。通过以上四个变量的“赋值”,诞生了很多好文章。

但是,有利必有弊,这种人为的归纳建模必定会损失一些对分布的感知能力,一个最直观的例子是 LeCun 在今年 ICLR [1] 引入一个简单 variance 正则。目前可以感受一个现象:很多任务在引入各种 fancy 的 prototype 设计后,性能虽然提升显著,但是也似乎逐渐进入了瓶颈。尤其是对于泛化相关的工作(X-shot, domain相关, semi-supervised ...),很多时候一个“宽松的(var 大一些)”分布要比 “紧凑”的分布性能更好, 而这种“宽松”往往是 prototype 很难去直接做的。这也就让我们思考能不能引用其他的建模方式来保持更好的分布的感知能力,并足够服务于我们的任务?



背景,核心思想,以及Graph Matching科普


2.1 背景


在 Domain Adaptive Object Detection 的领域背景下(就是把 UDA 任务放到目标检测上),一类常用的做法是利用大量的 region proposal 建模 prototype,进一步根据 metric learning 实现 prototype-based 的对齐数据层次 = bounding box,定义方式 = 特征均值 / graph aggregation,更新方式 = online,下游任务 = 域对齐 )。通过对不同类的 prototype 建模、拉近,进而实现对齐 Class Conditional Distribution(CCD), 这个过程可以换一种表述:强化网络对跨域的两种类别中心的 affinity 感知能力。

对于这种对齐方式,其具有两个弊端:1)正如在序言中讨论的,会损失一定的分布感知能力(这个引用文章 [2] 在补充材料里给了一个非常好的 toy example),2)这种 prototype 建模是依赖样本的,如果“猫”这个目标在某个域里没有出现,那么我们就没法估计当前 batch 的 prototype,这是本文中提到 semantic mismatch。


▲ 两个垂直椭圆的toy example [2] 可视化问题1)的情况


2.2 核心思想


于是,我们思考的是如何舍弃 prototype 建模方式,而是直接基于样本实现域对齐,同时解决上述两个弊端?这也就引出了我们这篇文章的核心思想:用 Graph 来建模一种新的范式。根据 “把大象装到冰箱里”的三步走原理,我们的思路如下:用 graph 取代 prototype 建模,补全类别 mismatched 的节点,进一步用 Graph Matching 实现对齐。


▲ SIGMA的核心思想


如果说 prototype+metric learning 是优化网络在让 domain A 的猫的 protoype 能自主匹配到 domain B 的 猫的 protoype 的能力,那么 GM 可以用来优化让网络对在 domain A 的 {猫头,猫尾,猫鼻子,猫嘴...} 能自主匹配到 domain B 的 {猫头,猫尾,猫鼻子,猫嘴...} ,不同之处在于,protoype 是人为设计的,而 node 可以是 dense 的 raw 的,保持最原始的分布情况 (这里举的例子中,猫的各个部位实际上是有基于 GCN 的信息交互的,而不是独立的)。

2.3 什么是Graph Matching? 


简单来讲,Graph Matching 解决两个图之间的一对一匹配问题:图 A 的节点 M 应该与图 B 的哪个节点匹配?这种匹配关系用分配矩阵 表示,横和纵分别代表 图 A 和图 B 的节点 index, 代表图 A 的 i 节点匹配到图 B 的 j 节点,否则为 0。公式表达如下:


▲ Graph Matching的优化目标


这个公式可以简单理解为:第一项希望匹配上的两个节点在各自图的局部邻居尽可能相似(如果图 A 的节点 M 与图 B 的节点 N 匹配上了, 那么节点 M 在图 A 的局部连接与节点 N 在图 B 的局部连接也应该相似,Structure Affinity ),第二项是希望匹配上的两个节点本身的 embedding 是相似的,也就是 Node Affinity (optimal transport 主要做第二项)。



方法介绍


我们的方法其实就是跟随上述的三步流程按部就班地把想法实现:


▲ SIGMA 的整体框图:主要包含 GSC和 BGM 两个部分,GSC 负责建图并补全 mismatched 的类别信息,BGM 负责匹配与 DA


3.1 节点采样


我们的核心目标是对齐,那么我们首先需要想办法得到一些样本(毕竟分布依赖于样本而产生),于是我们选择了最直接的方式:对于源域,我们把 ground-truth  的 bounding box 映射到特征层,直接在物体内部采一定数目的 feature point,同时,我们在物体外侧均匀采一些背景点。对于目标域,我们直接基于检测头得到的 prediction (考虑到 sigmoide 的激活特性,我们设置了很低的 0.5 阈值)正采样,同时用 0.05 采样一些背景点(熟悉检测的小伙伴应该知道几乎所有检测器最后都用 0.05 卡阈值)这里的实现是基于 FCOS 的 point 分配 github.com/CityU-AIM-Gr 。为了便于优化,我们尽可能控制采样节点数目在近似的数量级。之后我们过了一个映射层,把 feature point 映射为 node embedding ,值得注意的是,我们直接得到的 feature point 的数值范围是 [0,+INF)由于ReLU, 这个映射是为了扩大数值范围(-INF,+INF)。

3.2 节点补全


由于每个 batch 的数据是随机采样的,很容易出现某个类别只在一个 domain 中出现,于是我们的做法是想办法产生一些节点来补全丢失的语义信息(文章中叫做hallucination node)。简单来讲,我们设置了一个 bank 存储每个类别的均值 (GMB),之后根据该均值以及另一个域的方差产生等数目的节点。(毕竟这种方差信息很不稳定,而且随着训练过程变化,选取对立域的方差主要是为了至少保证 语义空间 处于相似的训练阶段

3.3 建立图结构


其实到目前位置已经没有 image-batch 的概念了,我们得到的是两组节点集合,这两组集合有以下特别好的性质:1) 因为我们的有针对性的采样方式,这些节点很强的语义表达能力,2)类别信息是匹配的, 3)突破了图像的 Grid 空间约束,也就信息的传递是说不再是 NxN 的网格形式,而是可以跨像素、跨 image 递。于是顺理成章地我们用一层 GCN layer 进行了长距离的语义传递。考虑到进行这次 Graph 传递后我们的语义表达得到了很大的升华,我们用新的 node embedding 去更新之前提到的 bank

到此为止是我们第一个贡献点:Graph-embedded Semantic Completion,建模每个域各自的模型。目前我们已经有两个建立好的图,这两个图分别建模两个域的语义分布,我们下一步是怎么利用两个图的匹配实现 DA,也就而是 Bipartite Graph Matching。

3.4 跨图交互


我们首先利用 attention 的机制先建立起两个图之间dense的信息交互,(其实这个我们是 follow 一系列 Graph Matching 的先人工作),让每个节点首先具备一定的跨域感知的能力。这里也可以看作遵循从 dense 到 sparse 的过程 [3] :attention-based dense 以及 GM-based sparse matching。


▲ 跨域交互


3.5 Node Affinity 学习


这里对应 Graph Matching 的公式的第二项,主要是利用节点本身的 affinity 建立matching 矩阵,并用一层 MLP 将 affinity 编码成 GM 的分配形式,配合Sinkhorn 优化得到一个初始的分配矩阵。


▲ Node Affinity 学习


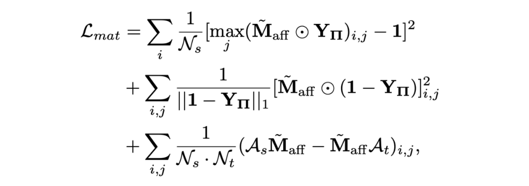
3.6 Structure-aware Matching Loss


这里是文章核心的优化目标,一句话概括是:对于图 A 中的节点 M,我们希望网络在图 B 中找到最匹配的一个同类别的节点 N,强化这些dense节点之间的 pair-wise sparse 感知能力(dense 指的是节点数目相比单个 prototype 是 dense 的,sparse 指的是 Graph Matching 给予的是一种一对一的 sparse 匹配)

然而,最大的困难是我们其实并不知道究竟哪一个同类节点是对 DA 最合适的,我们只知道这一堆节点可能是同类的。于是就有了下面这个 loss 的设计:这个 matching loss 包含三个项,第一项是去优化响应强度(TE):也就是让网络最确信的同类匹配更加确信,第二项是惩罚错误的匹配(FS)如下图所示,第三项是把 edge 信息引进来实现 Graph Matching 公式的第一项正则


▲ Graph Matching Loss:


简单来说:强化大概率正确的、最确信的匹配(TE);抑制错误的匹配(FS);对于属于可能正确的其他匹配我们直接 Ignore 。这里的优化方式其实跟 Faster RCNN 的 anchor loss 设计有点相似:对于 pos (IoU>0.7) 和 neg (IoU<0.3) 的产生各自的正负监督,对于其他的直接 ignore

读到这里,肯定会有疑问matching loss实际上是怎么实现的对齐? 熟悉 UDA 的小伙伴应该知道,对于分类任务,Entropy Minimization(EM)是一个常见的做法,主要是在没有语义标签的情况下,利用 EM 让分类 task “对的更对,错的更错”,而 Matching 实际上是建立了一个“是否 match 到同类别”的 proxy task, 我们的优化目标是基于这个 proxy task 的 EM,两种方式的对比如下:类别的 EM 是拉近样本与类中心的距离,Mactching 是拉近样本与匹配样本的距离(有点 contrastive learning 味道了)


▲ DA的两种策略:EM和Matching


可视化出来学习结果如下图所示(注意:我们在工程实现上为了方便,将节点进行了按照类别从 1 到 K 进行排序,这就导致我们的分配矩阵长成这种规规矩矩样子: github.com/CityU-AIM-Gr

▲ 可视化分配矩阵以及Ground-truth


3.7 其他的设置


考虑到 GM 在实现 p(x|y) 的对齐,我们针对节点又加了一个 p(x) 的节点判别器(MLP-based),这个不是必须的。我们发现这条 graph 分支由于 Attention 的存在,很容易在训练后期 bias 到 noisy 样本 [4] ,也就是先到上升再下,我们最终加了这个判别器解决了这个问题,当初研究了好久想通的。。。。。



实验


关于实验方面,我们发现新方法已经远超过我们的前身工作 SCAN(AAAI'22 ORAL)的性能

GitHub-CityU-AIM-Group/SCAN: [AAAI' 22 ORAL] SCAN: Cross Domain Object Detection with Semantic Conditioned Adaptation

▲ benchmark性能对比


SIGMA 汇报的性能是 warmup 双阶段训练的,我们后续发现完全可以端到端训练,而且还可以达到更高的性能,这个框架的潜力还大大有待发掘。另外,我们放几个比较有趣的实验结果:

4.1 节点数目的探索


我们用更多的节点能进一步提升性能,但是考虑到对匹配优化的计算量有指数倍需求,我们并没有用更多节点。


▲ 我们探索了源域和目标域节点数目对性能的影响


4.2 方式的探索


我们发现 one-to-one 的优化方式竟然比 many-to-one 的好一些,感觉有两个原因,一是文章中说的 Noisy 的问题,二是可能是 constrastive learning 和  supervised learning 之间的优化目标的角逐


▲ 我们探索了一对一和多对多的匹配方式


4.3 对检测性能的直观提升


其实最直观的是对判别的提升:比如减少一些 FP 样本以及 FN 漏检


▲ 我们检测性能的对比



总结


本文提出了一种基于图匹配的 DAOD 框架。随着基于 patch 的 transformer 的潜力被不断挖掘,Graph 的潜力也逐步体现出来, 个人感觉 Graph 的优势不在于多么 fancy 的图卷积设计,而在于如何更巧妙的突破传统卷积的 local 局限(类似 transformer),同时一些 Graph 领域的积累(比如图匹配)似乎也能推动对 CV 的发展。 希望我们的 SIGMA 能够激发更多有趣的想法 ,共同推动这个领域的进步。同时,对于文章的内容也欢迎讨论。


参考文献

[1] Bardes, A., Ponce, J., & LeCun, Y. (2021). Vicreg: Variance-invariance-covariance regularization for self-supervised learning.arXiv preprint arXiv:2105.04906.

[2] Cheng, J., & Vasconcelos, N. (2021). Learning deep classifiers consistent with fine-grained novelty detection. InProceedings of the IEEE/CVF Conference on Computer Vision and Pattern Recognition(pp. 1664-1673).

[3] Min, J., & Cho, M. (2021). Convolutional hough matching networks. InProceedings of the IEEE/CVF Conference on Computer Vision and Pattern Recognition(pp. 2940-2950).

[4] Yang, X., Zhang, H., Qi, G., & Cai, J. (2021). Causal attention for vision-language tasks. InProceedings of the IEEE/CVF Conference on Computer Vision and Pattern Recognition(pp. 9847-9857).



更多阅读




#投 稿 通 道#

 让你的文字被更多人看到 



如何才能让更多的优质内容以更短路径到达读者群体,缩短读者寻找优质内容的成本呢?答案就是:你不认识的人。


总有一些你不认识的人,知道你想知道的东西。PaperWeekly 或许可以成为一座桥梁,促使不同背景、不同方向的学者和学术灵感相互碰撞,迸发出更多的可能性。 


PaperWeekly 鼓励高校实验室或个人,在我们的平台上分享各类优质内容,可以是最新论文解读,也可以是学术热点剖析科研心得竞赛经验讲解等。我们的目的只有一个,让知识真正流动起来。


📝 稿件基本要求:

• 文章确系个人原创作品,未曾在公开渠道发表,如为其他平台已发表或待发表的文章,请明确标注 

• 稿件建议以 markdown 格式撰写,文中配图以附件形式发送,要求图片清晰,无版权问题

• PaperWeekly 尊重原作者署名权,并将为每篇被采纳的原创首发稿件,提供业内具有竞争力稿酬,具体依据文章阅读量和文章质量阶梯制结算


📬 投稿通道:

• 投稿邮箱:hr@paperweekly.site 

• 来稿请备注即时联系方式(微信),以便我们在稿件选用的第一时间联系作者

• 您也可以直接添加小编微信(pwbot02)快速投稿,备注:姓名-投稿


△长按添加PaperWeekly小编




🔍


现在,在「知乎」也能找到我们了

进入知乎首页搜索「PaperWeekly」

点击「关注」订阅我们的专栏吧



·

登录查看更多
0

相关内容

【NeurIPS2021】任务导向的无监督域自适应
专知会员服务
17+阅读 · 2021年11月20日
专知会员服务
39+阅读 · 2021年5月16日
【CVPR2021】重新思考BiSeNet让语义分割模型速度起飞
专知会员服务
34+阅读 · 2021年5月5日
[CVPR 2021] 序列到序列对比学习的文本识别
专知会员服务
29+阅读 · 2021年4月14日
专知会员服务
42+阅读 · 2020年12月1日
专知会员服务
47+阅读 · 2020年10月5日
一文理解Ranking Loss/Margin Loss/Triplet Loss
极市平台
16+阅读 · 2020年8月10日
【CVPR2019】弱监督图像分类建模
深度学习大讲堂
38+阅读 · 2019年7月25日
CVPR 2019提前看:少样本学习专题
机器之心
19+阅读 · 2019年6月14日
迁移学习之Domain Adaptation
全球人工智能
18+阅读 · 2018年4月11日
国家自然科学基金
1+阅读 · 2015年12月31日
国家自然科学基金
1+阅读 · 2014年12月31日
国家自然科学基金
5+阅读 · 2014年12月31日
国家自然科学基金
1+阅读 · 2013年12月31日
国家自然科学基金
0+阅读 · 2013年12月31日
国家自然科学基金
0+阅读 · 2013年12月31日
国家自然科学基金
0+阅读 · 2012年12月31日
国家自然科学基金
2+阅读 · 2012年12月31日
国家自然科学基金
0+阅读 · 2011年12月31日
国家自然科学基金
0+阅读 · 2009年12月31日
Arxiv
13+阅读 · 2022年1月20日
Arxiv
12+阅读 · 2021年6月29日
VIP会员
相关VIP内容
相关资讯
相关基金
国家自然科学基金
1+阅读 · 2015年12月31日
国家自然科学基金
1+阅读 · 2014年12月31日
国家自然科学基金
5+阅读 · 2014年12月31日
国家自然科学基金
1+阅读 · 2013年12月31日
国家自然科学基金
0+阅读 · 2013年12月31日
国家自然科学基金
0+阅读 · 2013年12月31日
国家自然科学基金
0+阅读 · 2012年12月31日
国家自然科学基金
2+阅读 · 2012年12月31日
国家自然科学基金
0+阅读 · 2011年12月31日
国家自然科学基金
0+阅读 · 2009年12月31日
Top
微信扫码咨询专知VIP会员