【技术帖】一文让你知道如何构建互联网消费信贷风险管理框架

2017 年 12 月 15 日 互联网金融 曹智
1
我国互联网信贷发展概况

我国的信贷市场潜力是巨大的,从近几年的信贷数据来看,我国信贷的数量都是在不断增长的。互联网信贷作为传统信贷的补充,在网络借贷、消费金融、供应链金融等方面都展现了强劲的势头。从下面两张表格可以看出,网络信贷成交量自2010年的13.7亿增长到2016年的28049.38亿,增长突破2000多倍;互联网消费信贷规模从2010年的3.2亿元增长到2016年的720.7亿元,实现了200多倍的增长;供应链融资从银行规模和电商巨头报表统计数据来看融资总额已经达到了万亿规模。

由于消费升级、供给侧改革的不断深化,互联网消费信贷迎来了井喷式的发展,然而与此同时,风险问题也伴随着其规模的快速增长而日益突出。互联网消费信贷既有与传统消费信贷一样的风险共性,也有其创新性业务模式带来的风险特性,它的风险既是互联网消费信贷公司自身业务模式、风控、管理等原因造成的,也是我国目前法律监管体系的滞后和不完备、征信体系不健全等客观原因造成的。如何在监管日益完善的环境下,加强风险体系建设是很多机构开展消费信贷业务的关键保障。

2
如何构建互联网消费信贷风险管理框架
1
贷前风险管理

贷前风控主要包括两部分内容,一是客户反欺诈管理,二是客户还款能力和还款意愿评估。

1. 反欺诈管理

目前常见的欺诈类型包括三种:第一方欺诈、第三方欺诈以及团伙欺诈,其中团伙欺诈已经存在庞大黑产集团。因此,在审核借贷申请时,从业机构需通过数据分类管理、身份认证管理、洗黑产管理等方式对客群的大数据进行分析从而识别客户的欺诈行为。

a) 数据分类管理

对客群数据进行多维度的分类管理,便于区别、查找、归类。

√ 用户主动授权:个人基本信息、联系人信息、银行卡信息等。

√ 系统抓取数据:如设备号、IP地址、通话记录、用户浏览数据、运营商/京东/淘宝账号授权后爬虫爬取数据等。

√ 用户交易数据:如用户在平台的历史借款、还款情况。

√ 第三方获得数据:征信数据、各类黑名单、欺诈数据等。

b) 身份认证管理

身份认证管理主要涵盖提交信息环节和借款申请环节。

提交信息环节:

实名认证:是指姓名和身份证是否匹配,是否在公安网是否备案。主要通过直连公安网实名接口或通过第三方代理完成。

本人申请校验:主要通过OCR+活体检测来完成。OCR的目的主要是获得身份证上可信照片,活体检测是获得申请人现场照片,然后通过对比可信照片和现场照片,来判断操作的是否为本人。可信照片除了可通过活体检测获得,也可以通过调用公安网网纹照。

借款申请环节:

银行卡四要素校验:通过输入姓名、身份证号、银行卡号、银行卡预留手机号来验证该银行卡是否属于申请人本人。银行卡四要素校验时,也需要实名认证校验。

运营商三要素校验:根据姓名、身份证号、手机号,核验姓名身份证号与该手机号开户时实名登记的姓名身份证号是否一致,来判断是否为本人的手机号。

c) 洗黑产管理

黑产有几个模式:一是中介购买个人信息进行欺诈,二是中介和客户合谋进行欺诈,三是为了薅羊毛注册小号进行欺诈,四是盗号之后撞库脱库洗库。平台在管理过程中可以从用户注册、登录、申请、提现等几个环节进行管控,同时可借助外部数据来强化自身的反欺诈管理。

2. 还款能力和还款意愿评估

目前对还款能力和还款意愿的评估工作基本分三个阶段,第一阶段是数据准备阶段,第二阶段是模型构建,第三阶段是量化授信。

a) 数据准备

数据是征信建模中的灵魂,模型置信度的高低跟所依赖的数据源有着密切的关系,平台首先需基于目前行业现状对可获得的数据进行分类管理。

内部数据:

√ 客户基础数据

√ 财务数据

√ 业务数据

√ 违约数据

外部数据:

√ 政府部门

√ 蚂蚁金服

√ 证通公司

√ 其他第三方征信数据

√ 舆情数据

b) 构建模型

目前比较常用的客户评级模型工具有两类:打分卡和统计模型。当然建模的方式有很多,除此之外还有KMV、Creditmetrics等。

打分卡 (常用推荐):

打分卡目前比较常用的是采用AHP层次分析法,这是一种定量与定性相结合,将人的主观判断用数量形式表达和处理的方法。该方法将问题层次化,按照因素间相互影响以及隶属关系将它们按不同层次聚集组合。然后,通过两两比较的方式确定层次中诸因素的相对重要性。最后,将系统分析归结最低层(供决策的方案、措施等)相对于最高层(总目标)的权重确定。

打分卡的步骤可依照以下几步:

第一步:构建层次分析结构模型,根据所准备数据源,将数据按照不同类别,不同主题进行分类,构建数据层次分析结构模型。

第二步:构造两两比较矩阵,在建立了递阶层次结构后,分别对层次的各方案内部每个因素进行重要性比较。决策者所有的赋值构成一个指标集矩阵,该指标集的每一个元素aij 的含义是因素i 比因素j 的重要程度。整体上该指标集被称为判断矩阵,即

第三步:相对权重计算和绝对权重确定,判断矩阵的最大特征值所对应的单位化的特征向量即为本层次因素相对于上层次某一因素的相对重要性权重值。用方根法求解步骤如下:计算判断矩阵A 每行所有元素的几何平均数,得到列向量V=(V1,V2,...,Vn)T 。计算权重向量 ,即对V 进行归一化处理。同时计算判断矩阵A 的最大特征根λmax ,目的是用于一致性检验。由于判断矩阵是人为赋予的,带有一定的主观性,实际建立的判断矩阵往往不具有完全一致性,所以需要进行一致性检验来评价判断矩阵的可靠性。一致性常用公式:

第四步:多专家群决策权重的确定,通常采用聚类分析的方法,聚类分析本质上是将研究的对象进行分类,以确定个体在群体意见中所占权重的方法。其基本思想是通过定义样本之间的距离,将相近的样本归为一类,直至所有类之间的距离满足某种条件。

统计模型—逻辑回归:

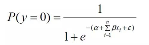
逻辑回归(Logistic Regression, LR)又称为逻辑回归分析,是分类和预测算法中的一种。通过历史数据的表现对未来结果发生的概率进行预测。Logistic模型一个显著的特点就是其因变量一般使用二分类变量(即0,1变量),模型预测的结果则对应因变量取0或1的概率。该模型可以用以下公式进行表示:

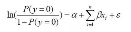
其中P(y=0)就表示因变量取值为0的概率。为了简化模型参数估计的步骤,提高模型解释性,可以对模型进行适当的数学变化,如下式所示:

在logistic模型中,P(y=0)/[1-P(y=0)]被称为发生比或优势率(ODDS),一般情况下“0”代表的是占比较高的群体。例如信用评分模型中,“0”一般用于表示未违约的客户,而“1”表示违约客户。

该信用评分模型具有较好的置信度度和效度,可根据用户数据预测用户非违约率,综合预测正确率可达近八九成,充分说明逻辑回归可以应用于信用卡风险评估模型构建。此外,在实际应用中还需注意细分模型的构建及新变量引入等工作。

c) 量化授信

根据评分结果对不同得分进行分类进而得到动态授信额度。

授信额度=MIN(Y申请额度,MAX(金融资产,风险限额*信用等级系数))

2
贷中风险管理

贷中风险管理主要包含风险监控管理和风险计量。风险监控管理基于各自公司制定的风险偏好与限额的基础上对指标进行实时监控,主要包括异常交易监控、集中度监控等。

1. 风险监控管理

a) 集中度监控:

√ 行业集中度监控。

√ 地域集中度监控。

√ 年龄集中度监控。

√ 时间集中度监控

b) 异常交易监控:

√ 短期内大量新增用户监控。

√ 关联人借款信息监控。

√ 异常行为监控。

√ 短期内高频借款监控。

√ 不同时间段借款监控

2. 风险计量

对消费信贷类风险计量我们采用基于决策树模型的零售资产分池。

(PD表示:未来一段时间内借款人发生违约的可能性)

未违约风险暴露的风险加权资产:

已违约风险暴露的风险加权资产:

其中,LGD为违约损失率的估计值;EL为考虑经济环境、法律地位等条件下已违约风险暴露的预期损失最大估计值。

通过实时监控构建公司风险管理的实施预警机制,能够及时发现异常、处理风险事件,以便对业务进行及时修正。

3
贷后风险管理

贷后管理主要包括催收管理和提高违约成本管理。

1. 催收管理

催收也是一个学习风险把控的过程,从逾期客户的共同特点出发避免后续出现重复原因逾期。对不同逾期期限、不同客户类型(强硬型、阴谋型、合作型、感情型、固执型、虚荣型等)进行分类管理,提高催收效率。

2. 通过提高违约成本进而降低客户的违约率和违约损失

通过提高客户的违约成本能够在一定程度上降低违约率,如:增加征信上报通道;提供联系人(亲戚、朋友)协同还款;通过仲裁决议限制借款主体出行自由等;通过行政官方途径进行追偿等。无论以何种方式,守住合规法律的底线才是业务长久合规发展的前提。

4
信贷业务中常用的工具——压力测试工具

压力测试工具通过测算公司遇到假定的小概率极端不利情况时可能发生的损失,分析这些损失对公司盈利能力和资本的负面影响,进而评估和判断公司承担资本损失和维持核心业务的能力,并据此采取相应措施。

在开展压力测试的过程中通常分两种方式,敏感性测试和情景分析。

敏感性测试是测量单个重要风险因素或少数几项关系密切的因素假设变动造成公司盈利能力的下降以及评估公司风险承受能力。

情景分析测试是假设分析多个风险因素同时发生变化以及某些极端不利事件发生造成公司盈利能力的下降以及评估公司风险承受能力。




来源:未央网

作者:曹智(资深市场运营专家,曾就职于恒生电子,拥有近10年传统金融机构及新金融机构产品规划、信息系统建设、风险管理工作经验。






未央精选

行业时事

北京开通互金违法违规投诉平台

浙江备案提速明年3月整改完毕 摩根史坦利推出智能投顾平台Access Investing

摩拜、ofo等7家共享单车被约谈:尽量免收押金

“现金贷”新规落地 委内瑞拉宣布将设立数字货币"Petro"

案例分析

Money Design:日本首家智能投顾平台

资产百分百:用金融科技打造不良资产处置健康生态环境

深海棱镜:线下零售场景与流量运营服务商

口袋记账:如何从流量抓住金融用户

监管动态

实施国家大数据战略加快建设数字中国

中国互联网金融协会发布P2P存管规范

SEC发起首例ICO诈骗指控

央行、银监会联手整顿“现金贷”新规落地!

深度观察

比特币为何波动这么大?最古老的交易所阐述“供给弹性”机制

政策扶持、金融加码:住房租赁市场的春天来了吗?

二三十年后,你会不会因为人工智能而失业?

特朗普税改的内涵、影响及应对

活动&荐书

《全球互联网金融商业模式:格局与发展》,你拿到手了吗?

清华五道口全球金融论坛:全阵容45位嘉宾观点集锦

未央海外游学计划启动!英国金融科技之旅等你报名

【GELP荐书】这是属于父辈的故事


清华大学五道口金融学院互联网实验室成立于2012年4月,是中国第一家专注于互联网金融领域研究的科研机构。

专业研究 | 商业模式 • 政策研究 • 行业分析

内容平台 | 未央网  "互联网金融"微信公众号iefinance

创业教育 | 清华大学中国创业者训练营 • 全球创业领袖项目(报名中!点击查看详情)


网站:未央网 http://www.weiyangx.com

免责声明:转载内容仅供读者参考。如您认为本公众号的内容对您的知识产权造成了侵权,请立即告知,我们将在第一时间核实并处理。

WeMedia(自媒体联盟)成员,其联盟关注人群超千万



登录查看更多
0

相关内容

商业数据分析,39页ppt
专知会员服务
165+阅读 · 2020年6月2日
【浙江大学】人脸反欺诈活体检测综述
专知会员服务
32+阅读 · 2020年4月15日
专知会员服务
126+阅读 · 2020年3月26日
广东疾控中心《新型冠状病毒感染防护》,65页pdf
专知会员服务
19+阅读 · 2020年1月26日
【德勤】中国人工智能产业白皮书,68页pdf
专知会员服务
309+阅读 · 2019年12月23日
【大数据白皮书 2019】中国信息通信研究院
专知会员服务
138+阅读 · 2019年12月12日
【白皮书】“物联网+区块链”应用与发展白皮书-2019
专知会员服务
94+阅读 · 2019年11月13日
关系图谱在贝壳找房风控体系的应用与实践
DataFunTalk
50+阅读 · 2020年2月12日
【智能金融】机器学习在反欺诈中应用
产业智能官
35+阅读 · 2019年3月15日
金融风控背后的技术综述
七月在线实验室
45+阅读 · 2019年2月28日
2018年中国供应链金融行业研究报告
艾瑞咨询
7+阅读 · 2018年11月20日
智能时代如何构建金融反欺诈体系?
数据猿
12+阅读 · 2018年3月26日
CoCoNet: A Collaborative Convolutional Network
Arxiv
6+阅读 · 2019年1月28日
Arxiv
6+阅读 · 2018年6月21日
VIP会员
相关VIP内容
商业数据分析,39页ppt
专知会员服务
165+阅读 · 2020年6月2日
【浙江大学】人脸反欺诈活体检测综述
专知会员服务
32+阅读 · 2020年4月15日
专知会员服务
126+阅读 · 2020年3月26日
广东疾控中心《新型冠状病毒感染防护》,65页pdf
专知会员服务
19+阅读 · 2020年1月26日
【德勤】中国人工智能产业白皮书,68页pdf
专知会员服务
309+阅读 · 2019年12月23日
【大数据白皮书 2019】中国信息通信研究院
专知会员服务
138+阅读 · 2019年12月12日
【白皮书】“物联网+区块链”应用与发展白皮书-2019
专知会员服务
94+阅读 · 2019年11月13日
相关资讯
关系图谱在贝壳找房风控体系的应用与实践
DataFunTalk
50+阅读 · 2020年2月12日
【智能金融】机器学习在反欺诈中应用
产业智能官
35+阅读 · 2019年3月15日
金融风控背后的技术综述
七月在线实验室
45+阅读 · 2019年2月28日
2018年中国供应链金融行业研究报告
艾瑞咨询
7+阅读 · 2018年11月20日
智能时代如何构建金融反欺诈体系?
数据猿
12+阅读 · 2018年3月26日
Top
微信扫码咨询专知VIP会员