揭开迷雾,来一顿美味的「Capsule」盛宴 | 附代码实现 + 全新实验

2018 年 1 月 24 日 PaperWeekly 苏剑林

作者丨苏剑林

单位丨广州火焰信息科技有限公司

研究方向丨NLP,神经网络

个人主页丨kexue.fm


由深度学习先驱 Hinton 开源的 Capsule 论文 Dynamic Routing Between Capsules,无疑是去年深度学习界最热点的消息之一。



得益于各种媒体的各种吹捧,Capsule 被冠以了各种神秘的色彩,诸如“抛弃了梯度下降”、“推倒深度学习重来”等字眼层出不穷,但也有人觉得 Capsule 不外乎是一个新的炒作概念。 


本文试图揭开让人迷惘的云雾,领悟 Capsule 背后的原理和魅力,品尝这一顿 Capsule 盛宴。同时,笔者补做了一个自己设计的实验,这个实验能比原论文的实验更有力说明 Capsule 的确产生效果了


菜谱一览:


  • Capsule 是什么?

  • Capsule 为什么要这样做?

  • Capsule 真的好吗?

  • 我觉得 Capsule 怎样?

  • 若干小菜


前言


Capsule 的论文已经放出几个月了,网上已经有很多大佬进行解读,也有大佬开源实现了 CapsuleNet,这些内容都加速了我对 Capsule 的理解。然而,我觉得美中不足的是,网上多数的解读,都只是在论文的翻译上粉饰了一点文字,并没有对 Capsule 的原理进行解读。


比如“动态路由”那部分,基本上就是照搬论文的算法,然后说一下迭代3次就收敛了。但收敛出什么来?论文没有说,解读也没有说,这显然是不能让人满意的。也难怪知乎上有读者评论说:


所谓的 Capsule 为 DL 又贡献了一个花里胡哨的 trick 概念。说它是 trick,因为 Hinton 没有说为什么 routing 算法为什么需要那么几步,循环套着循环,有什么理论依据吗?还是就是凑出来的?


这个评论虽然过激,然而也是很中肯的:凭啥 Hinton 摆出来一套算法又不解释,我们就要稀里糊涂的跟着玩?

Capsule 盛宴


宴会特色 


这次 Capsule 盛宴的特色是“vector in vector out”,取代了以往的“scaler in scaler out”,也就是神经元的输入输出都变成了向量,从而算是对神经网络理论的一次革命。


然而真的是这样子吗?难道我们以往就没有做过“vector in vector out”的任务了吗?


有,而且多的是!NLP 中,一个词向量序列的输入,不就可以看成“vector in”了吗?这个词向量序列经过 RNN/CNN/Attention 的编码,输出一个新序列,不就是“vector out”了吗?


在目前的深度学习中,从来不缺乏“vector in vector out”的案例,因此显然这不能算是 Capsule 的革命。 


Capsule 的革命在于:它提出了一种新的“vector in vector out”的传递方案,并且这种方案在很大程度上是可解释的。 


如果问深度学习(神经网络)为什么有效,我一般会这样回答:神经网络通过层层叠加完成了对输入的层层抽象,这个过程某种程度上模拟了人的层次分类做法,从而完成对最终目标的输出,并且具有比较好的泛化能力。


的确,神经网络应该是这样做的,然而它并不能告诉我们它确确实实是这样做的,这就是神经网络的难解释性,也就是很多人会将深度学习视为黑箱的原因之一。 


让我们来看 Hinton 是怎么来通过 Capsule 突破这一点的。


大盆菜


如果要用一道菜来比喻 Capsule,我想到了“大盆菜”:


盆菜作为客家菜的菜式出现由来以久,一般也称为大盘菜,大盘菜源于客家人传统的“发财大盘菜”,顾名思义就是用一个大大的盘子,将食物都放到里面,融汇出一种特有滋味。丰富的材料一层层叠进大盘之中,最易吸收肴汁的材料通常放在下面。吃的时候每桌一盘,一层一层吃下去,汁液交融,味道馥郁而香浓,令人大有渐入佳景之快。


Capsule 就是针对着这个“层层递进”的目标来设计的,但坦白说,Capsule 论文的文笔真的不敢恭维,因此本文尽量不与论文中的符号相同,以免读者再次云里雾里。让我们来看个图。



如图所示,底层的胶囊和高层的胶囊构成一些连接关系。等等,什么是“胶囊”?其实,只要把一个向量当作一个整体来看,它就是一个“胶囊”,是的,你没看错,你可以这样理解:神经元就是标量,胶囊就是向量,就这么粗暴。


Hinton 的理解是:每一个胶囊表示一个属性,而胶囊的向量则表示这个属性的“标架”。


也就是说,我们以前只是用一个标量表示有没有这个特征(比如有没有羽毛),现在我们用一个向量来表示,不仅仅表示有没有,还表示“有什么样的”(比如有什么颜色、什么纹理的羽毛),如果这样理解,就是说在对单个特征的表达上更丰富了。 


说到这里,我感觉有点像 NLP 中的词向量,以前我们只是用 one hot 来表示一个词,也就是表示有没有这个词而已。现在我们用词向量来表示一个词,显然词向量表达的特征更丰富,不仅可以表示有没有,还可以表示哪些词有相近含义。词向量就是NLP中的“胶囊”?这个类比可能有点牵强,但我觉得意思已经对了。 


那么,这些胶囊要怎么运算,才能体现出“层层抽象”、“层层分类”的特性呢?让我们先看其中一部分连接:



图上只展示了 u1 的连接。这也就是说,目前已经有了 u1 这个特征(假设是羽毛),那么我想知道它属于上层特征 v1,v2,v3,v4(假设分别代表了鸡、鸭、鱼、狗)中的哪一个。


分类问题我们显然已经是很熟悉了,不就是内积后 softmax 吗于是单靠 u1 这个特征,我们推导出它是属于鸡、鸭、鱼、狗的概率分别是:



我们当然期望 p(1|1) 和 p(2|1) 会明显大于 p(3|1) 和 p(4|1)。


不过,单靠这个特征还不够,我们还需要综合各个特征,于是可以把上述操作对各个 ui 都做一遍,继而得到 [p(1|2),p(2|2),p(3|2),p(4|2)]、[p(1|3),p(2|3),p(3|3),p(4|3)]...


问题是,现在得到这么多预测结果,那我究竟要选择哪个呢?而且我又不是真的要做分类,我要的是融合这些特征,构成更高级的特征。


于是 Hinton 认为,既然 ui 这个特征得到的概率分布是 [p(1|i),p(2|i),p(3|i),p(4|i)],那么我把这个特征切成四份,分别为 [p(1|i)ui,p(2|i)ui,p(3|i)ui,p(4|i)ui],然后把这几个特征分别传给 v1,v2,v3,v4,最后 v1,v2,v3,v4 其实就是各个底层传入的特征的累加,这样不就好了?



从上往下看,那么 Capsule 就是每个底层特征分别做分类,然后将分类结果整合。这时 vj 应该尽量与所有 ui 都比较靠近,靠近的度量是内积。


因此,从下往上看的话,可以认为 vj 实际上就是各个 ui 的某个聚类中心,而 Capsule 的核心思想就是输出是输入的某种聚类结果


现在来看这个 squashing 是什么玩意,它怎么来的呢?


浓缩果汁


squash 在英文中也有浓缩果汁之意,我们就当它是一杯果汁品尝吧。这杯果汁的出现,是因为 Hinton 希望 Capsule 能有的一个性质是:胶囊的模长能够代表这个特征的概率


其实我不喜欢概率这个名词,因为概率让我们联想到归一化,而归一化事实上是一件很麻烦的事情。我觉得可以称为是特征的“显著程度”,这就好解释了,模长越大,这个特征越显著


而我们又希望有一个有界的指标来对这个“显著程度”进行衡量,所以就只能对这个模长进行压缩了,所谓“浓缩就是精华”嘛。Hinton 选取的压缩方案是:



其中 x/‖x‖ 是很好理解的,就是将模长变为 1,那么前半部分怎么理解呢?为什么这样选择?事实上,将模长压缩到 0-1 的方案有很多,比如:



等等,并不确定 Hinton 选择目前这个方案的思路。也许可以每个方案都探索一下?事实上,我在一些实验中发现:



选择上述函数的效果要好一点。这个函数的特点是在模长很接近于 0 时起到放大作用,而不像原来的函数那样全局都压缩


然而,一个值得思考的问题是:如果在中间层,那么这个压缩处理是不是必要的呢?


因为已经有了后面说的动态路由在里边,因此即使去掉 squashing 函数,网络也已经具有了非线性了,因此直觉上并没有必要在中间层也引入特征压缩,正如普通神经网络也不一定要用 sigmoid 函数压缩到 0-1。我觉得这个要在实践中好好检验一下。


动态路由


注意到(2)式,为了求 vj 需要求 softmax,可是为了求 softmax 又需要知道 vj,这不是个鸡生蛋、蛋生鸡的问题了吗?


这时候就要上“主菜”了,即“动态路由”(Dynamic Routing),它能够根据自身的特性来更新(部分)参数,从而初步达到了 Hinton 的放弃梯度下降的目标。 


这道“主菜”究竟是是不是这样的呢?它是怎么想出来的?最终收敛到哪里去?让我们先上两道小菜,然后再慢慢来品尝这道主菜。


小菜 1


让我们先回到普通的神经网络,大家知道,激活函数在神经网络中的地位是举足轻重的。当然,激活函数本身很简单,比如一个 tanh 激活的全连接层,用 TensorFlow 写起来就是:


y = tf.matmul(W, x) + b
y = tf.tanh(y)

可是,如果我想用 x=y+cos⁡ y 的反函数来激活呢?也就是说,你得给我解出 y=f(x),然后再用它来做激活函数。


然而数学家告诉我们,这个东西的反函数是一个超越函数,也就是不可能用初等函数有限地表示出来。那这样不就是故意刁难么?不要紧,我们有迭代:



选择 y0=x,代入上式迭代几次,基本上就可以得到比较准确的 y 了。假如迭代三次,那就是:



用 TensorFlow 写出来就是:


y = tf.matmul(W, x) + b
Y=y
for i in range(3):
   Y = y - tf.cos(Y)


如果读者已经“预习”过 Capsule,那么就会发现这跟 Capsule 的动态路由很像。 


小菜 2


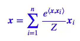
再来看一个例子,这个例子可能在 NLP 中有很多对应的情景,但图像领域其实也不少。考虑一个向量序列 (x1,x2,…,xn),我现在要想办法将这 n 个向量整合成一个向量 x(encoder),然后用这个向量来做分类。


也许读者会想到用LSTM。但我这里仅仅想要将它表示为原来向量的线性组合,也就是:



这里的 λi 相当于衡量了 x 与 xi 的相似度。然而问题来了,在 x 出现之前,凭什么能够确定这个相似度呢?这不也是一个鸡生蛋、蛋生鸡的问题吗?


解决这个问题的一个方案也是迭代。首先我们也可以定义一个基于 softmax 的相似度指标,然后让:



一开始,我们一无所知,所以只好取 x 为各个 xi 的均值,然后代入右边就可以算出一个 x,再把它代入右边,反复迭代就行,一般迭代有限次就可以收敛,于是就可以将这个迭代过程嵌入到神经网络中了。


如果说小菜 1 跟动态路由只是神似,那么小菜 2 已经跟动态路由是神似+形似了。不过我并没有看到已有的工作是这样做的,这个小菜只是我的头脑风暴。


上主菜


其实有了这两个小菜,动态路由这道主菜根本就不神秘了。为了得到各个 vj,一开始先让它们全都等于 ui 的均值,然后反复迭代就好。说白了,输出是输入的聚类结果,而聚类通常都需要迭代算法,这个迭代算法就称为“动态路由”


至于这个动态路由的细节,其实是不固定的,取决于聚类的算法,比如关于 Capsule 的新文章 MATRIX CAPSULES WITH EM ROUTING 就使用了 Gaussian Mixture Model 来聚类。 


理解到这里,就可以写出本文的动态路由的算法了:



这里的 cij 就是前文的 p(j|i)。


“嘿,终于逮到个错误了,我看过论文,应该是 bij=bij+ui⋅vj 而不是 bij=ui⋅vj 吧”?


事实上,上述算法并没有错——如果你承认本文的推导过程、承认(2)式的话,那么上述迭代过程就是没有错的。


“难道是Hinton错了?就凭你也有资格向Hinton叫板”?别急别急,先让我慢慢分析 Hinton 的迭代出现了什么问题


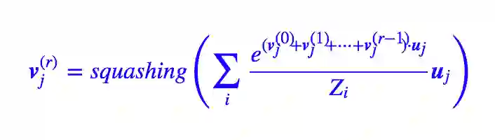
假如按照 Hinton 的算法,那么是 bij=bij+ui⋅vj,从而经过 r 次迭代后,就变成了:

由于会越来越接近真实的 vj,那么我们可以写出:



假如经过无穷多次迭代(实际上算力有限,做不到,但理论上总可以做到的),那么 r→∞,这样的话 softmax 的结果是非零即 1,也就是说,每个底层的胶囊仅仅联系到唯一一个上层胶囊。这时候 vj 已不再是聚类中心,而是距离它们聚类中心最近的那个 ui


这合理吗?我觉得很不合理。不同的类别之间是有可能有共同的特征的,这就好比人和动物虽然不一样,但是都有眼睛。


对于这个问题,有些朋友是这样解释的:r 是一个超参数,不能太大,太大了就容易过拟合。首先我不知道 Hinton 是不是也是同样的想法,但我认为,如果认为 r 是一个超参,那么这将会使得 Capsule 太丑陋了。


是啊,动态路由被来已经被很多读者评价为“不知所云”了,如果加上完全不符合直觉的超参,不就更加难看了吗?


相反,如果换成本文的(2)式作为出发点,然后得到本文的动态路由算法,才能符合聚类的思想,而且在理论上会好看些,因为这时候就是 r 越大越好了(看算力而定),不存在这个超参。


事实上,我改动了之后,在目前开源的 Capsule 源码上跑,也能跑到同样的结果。


至于读者怎么选择,就看读者的意愿吧。我自己是有点强迫症的,忍受不了理论上的不足。


模型细节


下面介绍 Capsule 实现的细节,对应的代码在我的 Github 中,不过目前只有 Keras 版。相比之前实现的版本,我的版本是纯 Keras 实现的(原来是半 Keras 半 TensorFlow),并通过 K.local_conv1d 函数替代了 K.map_fn 提升了好几倍的速度。


这是因为 K.map_fn 并不会自动并行,要并行的话需要想办法整合到一个矩阵运算;其次我通过 K.conv1d 实现了共享参数版的。代码要在 Keras 2.1.0 以上版本运行。


全连接版


先不管是 Hinton 版还是我的版本,按照这个动态路由的算法,vj 能够迭代地算出来,那不就没有参数了吗?真的抛弃了反向传播了?


非也非也,如果真的这样的话,各个 vj 都一样了。前面已经说了,vj 是作为输入 ui 的某种聚类中心出现的,而从不同角度看输入,得到的聚类结果显然是不一样的。


那么为了实现“多角度看特征”,可以在每个胶囊传入下一个胶囊之前,都要先乘上一个矩阵做变换,所以(2)式实际上应该要变为:



这里的 Wji 是待训练的矩阵,这里的乘法是矩阵乘法,也就是矩阵乘以向量。所以,Capsule 变成了下图。



这时候就可以得到完整动态路由了。



这样的 Capsule 层,显然相当于普通神经网络中的全连接层。


共享版


众所周知,全连接层只能处理定长输入,全连接版的 Capsule 也不例外。而 CNN 处理的图像大小通常是不定的,提取的特征数目就不定了,这种情形下,全连接层的 Capsule 就不适用了。



因为在前一图就可以看到,参数矩阵的个数等于输入输入胶囊数目乘以输出胶囊数目,既然输入数目不固定,那么就不能用全连接了


所以跟 CNN 的权值共享一样,我们也需要一个权值共享版的 Capsule。所谓共享版,是指对于固定的上层胶囊 j,它与所有的底层胶囊的连接的变换矩阵是共用的,即 Wji≡Wj。


如图所示,共享版其实不难理解,就是自下而上地看,所有输入向量经过同一个矩阵进行映射后,完成聚类进行输出,将这个过程重复几次,就输出几个向量(胶囊)


又或者自上而下地看,将每个变换矩阵看成是上层胶囊的识别器,上层胶囊通过这个矩阵来识别出底层胶囊是不是有这个特征


因此很明显,这个版本的胶囊的参数量并不依赖于输入的胶囊个数,因此可以轻松接在 CNN 后面。对于共享版,(2)式要变为:



至于动态路由算法就没有改变了。


反向传播 


尽管我不是很喜欢反向传播这个名词,然而这里似乎不得不用上这个名字了。 


现在又有了 Wji,那么这些参数怎么训练呢?答案是反向传播。读者也许比较晕的是:现在既有动态路由,又有反向传播了,究竟两者怎么配合?


其实这个真的就最简单不过了。就好像“小菜 1”那样,把算法的迭代几步(论文中是 3 步),加入到模型中,从形式上来看,就是往模型中添加了三层罢了,剩下的该做什么还是什么,最后构建一个 loss 来反向传播。 


这样看来,Capsule 里边不仅有反向传播,而且只有反向传播,因为动态路由已经作为了模型的一部分,都不算在迭代算法里边了。 


做了什么 


是时候回顾一下了,Capsule 究竟做了什么?其实用一种最直接的方式来讲,Capsule 就是提供了一种新的“vector in vector out”的方案,这样看跟 CNN、RNN、Attention 层都没太大区别了。


从 Hinton 的本意看,就是提供了一种新的、基于聚类思想来代替池化完成特征的整合的方案,这种新方案的特征表达能力更加强大


实验


MNIST 分类


不出意外地,Capsule 首先被用在 MNIST 中做实验,然后效果还不错,通过扰动胶囊内的一些值来重构图像,确实发现这些值代表了某种含义,这也体现了 Capsule 初步完成了它的目标。


Capsule 做分类模型,跟普通神经网络的一些区别是:Capsule 最后输出 10 个向量(也就是 10 个胶囊),这 10 个向量各代表一类,每个向量的模长代表着它的概率。


事实上,Capsule 做的事情就是检测有没有这个类,也就是说,它把一个多分类问题转化为多个 2 分类问题。因此它并没有用普通的交叉熵损失,而是用了:



其中 Tc 非零即 1,表明是不是这个类。当然这个没什么特殊性,也可以有多种选择。论文中还对比了加入重构网络后的提升。 


总的来说,论文的实验有点粗糙,选择 MNIST 来做实验显得有点不给力(好歹也得玩玩 fashion MNIST 嘛),重构网络也只是简单粗暴地堆了两层全连接来做。不过就论文的出发点,应该只要能证明这个流程能 work 就好了,因此差强人意吧。 


我的实验 


由于普通的卷积神经网络下,MNIST 的验证集准确率都已经 99%+ 了,因此如果就这样说 Capsule 起作用了,难免让人觉得不服气。


这里我为 Capsule 设计了一个新实验,虽然这个实验也是基于 MNIST,但这个实验很充分地说明了 Capsule 具有良好的整合特征的能力。Capsule 不仅 work,还 work 得很漂亮


具体实验如下:


1. 通过现有的 MNIST 数据集,训练一个数字识别模型,但最后不用 softmax 做 10 分类,而是转化为 10 个 2 分类问题;


2. 训练完模型后,用模型进行测试。测试的图片并不是原始的测试集,是随机挑两张测试集的图片拼在一起,然后看模型能不能预测出这两个数字来(数字对即可,不考虑顺序)。


也就是说,训练集是 1 对 1 的,测试集是 2 对 2 的。


实验用 Keras 完成,完成的代码可见我的 Github。这里仅仅展示核心部分。


Github: https://github.com/bojone/Capsule


首先是 CNN。公平起见,大家的 CNN 模型都是一样的。


#CNN部分,这部分两个模型都一致
input_image = Input(shape=(None,None,1))
cnn = Conv2D(64, (3, 3), activation='relu')(input_image)
cnn = Conv2D(64, (3, 3), activation='relu')(cnn)
cnn = AveragePooling2D((2,2))(cnn)
cnn = Conv2D(128, (3, 3), activation='relu')(cnn)
cnn = Conv2D(128, (3, 3), activation='relu')(cnn)


然后先用普通的 Pooling + 全连接层进行建模:


cnn = GlobalAveragePooling2D()(cnn)
dense = Dense(128, activation='relu')(cnn)
output = Dense(10, activation='sigmoid')(dense)

model = Model(inputs=input_image, outputs=output)
model.compile(loss=lambda y_true,y_pred: y_true*K.relu(0.9-y_pred)**2 + 0.25*(1-y_true)*K.relu(y_pred-0.1)**2,
             optimizer='adam',
             metrics=['accuracy'])


这个代码的参数量约为 27 万,能在 MNIST 的标准测试集上达到 99.3% 以上的准确率,显然已经接近最佳状态。


下面测试我们开始制定的任务,我们最后输出两个准确率:第一个准确率是取分数最高的两个类别;第二个准确率是取得分最高的两个类别,并且这两个类别的分数都要超过 0.5 才认可(因为是 2 分类)。代码如下:


#对测试集重新排序并拼接到原来测试集,就构成了新的测试集,每张图片有两个不同数字
idx = range(len(x_test))
np.random.shuffle(idx)
X_test = np.concatenate([x_test, x_test[idx]], 1)
Y_test = np.vstack([y_test.argmax(1), y_test[idx].argmax(1)]).T
X_test = X_test[Y_test[:,0] != Y_test[:,1]] #确保两个数字不一样
Y_test = Y_test[Y_test[:,0] != Y_test[:,1]]
Y_test.sort(axis=1) #排一下序,因为只比较集合,不比较顺序

Y_pred = model.predict(X_test) #用模型进行预测
greater = np.sort(Y_pred, axis=1)[:,-2] > 0.5 #判断预测结果是否大于0.5
Y_pred = Y_pred.argsort()[:,-2:] #取最高分数的两个类别
Y_pred.sort(axis=1) #排序,因为只比较集合

acc = 1.*(np.prod(Y_pred == Y_test, axis=1)).sum()/len(X_test)
print u'不考虑置信度的准确率为:%s'%acc
acc = 1.*(np.prod(Y_pred == Y_test, axis=1)*greater).sum()/len(X_test)
print u'考虑置信度的准确率为:%s'%acc


经过重复测试,如果不考虑置信度,那么准确率大约为 40%,如果考虑置信度,那么准确率是 10% 左右。这是一组保守的数据,反复测试几次的话,很多时候连这两个都不到。


现在我们来看 Capsule 的表现,将 CNN 后面的代码替换成:


capsule = Capsule(10, 16, 3, True)(cnn)
output = Lambda(lambda x: K.sqrt(K.sum(K.square(x), 2)))(capsule)

model = Model(inputs=input_image, outputs=output)
model.compile(loss=lambda y_true,y_pred: y_true*K.relu(0.9-y_pred)**2 + 0.25*(1-y_true)*K.relu(y_pred-0.1)**2,
             optimizer='adam',
             metrics=['accuracy'])


这里用的就是共享权重版的 Capsule,最后输出向量的模长作为分数,loss 和 optimizer 都跟前面一致,代码的参数量也约为 27 万,在 MNIST 的标准测试集上的准确率同样也是 99.3% 左右,这部分两者都差不多。


然而,让人惊讶的是:在前面所定制的新测试集上,Capsule 模型的两个准确率都有 90% 以上。即使我们没有针对性地训练,但 Capsule 仍以高置信度给出了输入中包含的特征(即哪个数字)


也就是说,我们训练了单个数字的识别模型,却有可能直接得到一个同时识别多数字的模型,这显然很符合人类的学习能力


事实上我们还可以更细致地分析特征的流动情况,确定数字的顺序(而不单单是当成一个集合来识别),从而构成一个完整的多数字识别模型。这很大程度上得益于 Capsule 的可解释性,也表明 Capsule 确确实实形成了良好的特征表达,减少了信息损失。


思考


看起来还行


Capsule 致力于给出神经网络的可解释的方案,因此,从这个角度来看,Capsule 应该是成功的,至少作为测试版是很成功的。因为它的目标并不是准确率非常出众,而是对输入做一个优秀的、可解释的表征。


从我上面的实验来看,Capsule 也是很漂亮的,至少可以间接证明它比池化过程更接近人眼的机制。


事实上,通过向量的模长来表示概率,这一点让我想起了量子力学的波函数,它也是通过波函数的范数来表示概率的。这告诉我们,未来 Capsule 的发展也许可以参考一下量子力学的内容。


亟待优化


显然,Capsule 可优化的地方还有非常多,包括理论上的和实践上的。我觉得整个算法中最不好看的部分并非动态路由,而是那个 squashing 函数。对于非输出层,这个压缩究竟是不是必要的?


还有,由于要用模长并表示概率,模长就得小于 1,而两个模长小于 1 的向量加起来后模长不一定小于 1,因此需要用函数进一步压缩,这个做法的主观性太强。


这也许需要借助流形上的分析工具,才能给出更漂亮的解决方案,或者也可以借鉴一下量子力学的思路,因为量子力学也存在波函数相加的情况。


实践角度来看,Capsule 显然是太慢了。这是因为将动态路由的迭代过程嵌入了神经网络中。从前向传播来看,这并没有增加多少计算量,但从反向传播来看,计算量暴增了,因为复合函数的梯度会更加复杂。


反向传播好不好?


Hinton 想要抛弃反向传播的大概原因是:反向传播在生物中找不到对应的机制,因为反向传播需要精确地求导数。


事实上,我并不认同这种观点。尽管精确求导在自然界中很难存在,但这才意味着我们的先进。


试想一下,如果不求导,那么我们也可以优化的,但需要“试探+插值”,比如将参数 α 从 3 改为 5 后,发现 loss 变小了,于是我们就会想着试试 α=7,如果这时候 loss 变大了,我们就会想着试试 α=6。


loss 变小/大就意味着(近似的)梯度为负/正,这个过程的思想跟梯度下降是一致的,但这个过程一次性只能调节一个参数,而我们可能有数百万的参数要调,需要进行上百万次试验要才能完成每一个参数的调整。


而求梯度,就是一种比重复试探更加高明的技巧,何乐而不用呢?


池化好不好?


Hinton 因为卷积中的池化是不科学的,但我并不这样认为。也许对于 MNIST 这个 28*28 的数据集并不需要池化也能 work,但如果是 1000*1000 的大图呢?越远的东西就越看不清,这难道不是池化的结果?


所以我认为池化也是可取的,不过池化应该对低层的特征进行,高层的信息池化可能就会有问题了。


退一步讲,如果坚决不用池化,那我用 stride=2 的卷积,不跟 stride=1 的卷积后接一个大小为 2 的池化是类似的吗?笔者前面的 Capsule 实验中,也将池化跟 Capsule 配合使用了,效果也没有变糟。


结语


这应该是到目前为止我写的最长的单篇文章了,不知道大家对这个 Capsule 饭局满不满意呢?


最后不得不吐槽一下,Hinton 真会起名字,把神经网络重新叫做深度学习,然后深度学习就火了,现在把聚类的迭代算法放到神经网络中,称之为做动态路由,不知道会不会再次重现深度学习的辉煌呢?



          

 我是彩蛋

 解锁新功能:热门职位推荐!


PaperWeekly小程序升级啦


今日arXiv√猜你喜欢√热门职位


找全职找实习都不是问题

 

 解锁方式 

1. 识别下方二维码打开小程序

2. 用PaperWeekly社区账号进行登陆

3. 登陆后即可解锁所有功能


 职位发布 

请添加小助手微信(pwbot01)进行咨询

 

长按识别二维码,使用小程序

*点击阅读原文即可注册





关于PaperWeekly


PaperWeekly 是一个推荐、解读、讨论、报道人工智能前沿论文成果的学术平台。如果你研究或从事 AI 领域,欢迎在公众号后台点击「交流群」,小助手将把你带入 PaperWeekly 的交流群里。


▽ 点击 | 阅读原文 | 进入作者博客

登录查看更多
7

相关内容

Python分布式计算,171页pdf,Distributed Computing with Python
专知会员服务
108+阅读 · 2020年5月3日
【IJCAI2020-CMU】结构注意力的神经抽象摘要
专知会员服务
22+阅读 · 2020年4月23日
CVPR2020 | 商汤-港中文等提出PV-RCNN:3D目标检测新网络
专知会员服务
45+阅读 · 2020年4月17日
Capsule Networks,胶囊网络,57页ppt,布法罗大学
专知会员服务
69+阅读 · 2020年2月29日
专知会员服务
27+阅读 · 2020年2月15日
Transformer文本分类代码
专知会员服务
118+阅读 · 2020年2月3日
三味Capsule:矩阵Capsule与EM路由
PaperWeekly
10+阅读 · 2018年3月2日
万众期待:Hinton团队开源CapsNet源码
专知
6+阅读 · 2018年2月1日
一文读懂「Attention is All You Need」| 附代码实现
PaperWeekly
37+阅读 · 2018年1月10日
放弃深度学习 ,Hinton提出Capsule计划
德先生
3+阅读 · 2018年1月2日
CapsNet入门系列之一:胶囊网络背后的直觉
论智
8+阅读 · 2017年11月20日
如何看待 Hinton 那篇备受关注的Capsules论文?
AI研习社
6+阅读 · 2017年11月2日
【Capsule】浅析Geoffrey Hinton最近提出的Capsule计划
GAN生成式对抗网络
7+阅读 · 2017年9月28日
浅析Geoffrey Hinton最近提出的Capsule计划
机器之心
4+阅读 · 2017年9月23日
重磅!Geoffrey Hinton提出capsule 概念,推翻反向传播!
人工智能学家
7+阅读 · 2017年9月17日
Attend More Times for Image Captioning
Arxiv
6+阅读 · 2018年12月8日
Arxiv
4+阅读 · 2018年11月7日
Text classification using capsules
Arxiv
5+阅读 · 2018年8月12日
Arxiv
11+阅读 · 2018年5月13日
Arxiv
6+阅读 · 2018年4月3日
Arxiv
10+阅读 · 2018年2月17日
VIP会员
相关VIP内容
Python分布式计算,171页pdf,Distributed Computing with Python
专知会员服务
108+阅读 · 2020年5月3日
【IJCAI2020-CMU】结构注意力的神经抽象摘要
专知会员服务
22+阅读 · 2020年4月23日
CVPR2020 | 商汤-港中文等提出PV-RCNN:3D目标检测新网络
专知会员服务
45+阅读 · 2020年4月17日
Capsule Networks,胶囊网络,57页ppt,布法罗大学
专知会员服务
69+阅读 · 2020年2月29日
专知会员服务
27+阅读 · 2020年2月15日
Transformer文本分类代码
专知会员服务
118+阅读 · 2020年2月3日
相关资讯
三味Capsule:矩阵Capsule与EM路由
PaperWeekly
10+阅读 · 2018年3月2日
万众期待:Hinton团队开源CapsNet源码
专知
6+阅读 · 2018年2月1日
一文读懂「Attention is All You Need」| 附代码实现
PaperWeekly
37+阅读 · 2018年1月10日
放弃深度学习 ,Hinton提出Capsule计划
德先生
3+阅读 · 2018年1月2日
CapsNet入门系列之一:胶囊网络背后的直觉
论智
8+阅读 · 2017年11月20日
如何看待 Hinton 那篇备受关注的Capsules论文?
AI研习社
6+阅读 · 2017年11月2日
【Capsule】浅析Geoffrey Hinton最近提出的Capsule计划
GAN生成式对抗网络
7+阅读 · 2017年9月28日
浅析Geoffrey Hinton最近提出的Capsule计划
机器之心
4+阅读 · 2017年9月23日
重磅!Geoffrey Hinton提出capsule 概念,推翻反向传播!
人工智能学家
7+阅读 · 2017年9月17日
相关论文
Attend More Times for Image Captioning
Arxiv
6+阅读 · 2018年12月8日
Arxiv
4+阅读 · 2018年11月7日
Text classification using capsules
Arxiv
5+阅读 · 2018年8月12日
Arxiv
11+阅读 · 2018年5月13日
Arxiv
6+阅读 · 2018年4月3日
Arxiv
10+阅读 · 2018年2月17日
Top
微信扫码咨询专知VIP会员