CVPR 2019开源论文 | BASNet:关注边界的显著性检测

2019 年 7 月 15 日 PaperWeekly


作者丨文永亮

学校丨哈尔滨工业大学(深圳)硕士生

研究方向丨目标检测、GAN


概要




这是一篇发表于 CVPR 2019 的关于显著性目标检测的 paper,BASNet:Boundary-Aware Salient Object Detection 显而易见就是关注边界的显著性检测,主要创新点在 loss 的设计上,使用了交叉熵、结构相似性损失、IoU 损失这三种的混合损失,使网络更关注于边界质量,而不是像以前那样只关注区域精度。在单个 GPU上 能跑 25 fps,在六种公开数据集上能达到  state-of-the-art 的效果。作者也在 Github 上放出了源码:


https://github.com/NathanUA/BASNet


模型架构


 Figure 1. BASNet的网络结构


这个网络结构的特点:


  • 采用深层编码器-解码器的结构得到一个粗糙的结果

  • 采用 RRM(Residual Refinement Module)修正结果,使用了残差模块



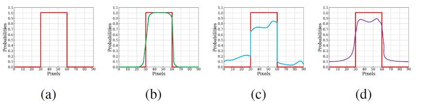
 Figure 2. (a)红色:GT(Ground Truth,以下都简称GT)的概率图,(b)绿色:粗糙边界与GT不对齐,(c)蓝色:粗糙区域内部判定概率也低,(d)紫色:粗糙的预测通常都有这两个问题。


其中“粗糙“定义为两个方面: 


  • 如 Fig 2(b) 所示,粗糙表现在边界无法与 GT 对齐。

  • 如 Fig 2(c) 所示,粗糙表现在不均匀的区域预测概率。


而经过前面步骤的得到的真正的粗糙结果通常都是带有以上两个问题。


loss上的设计


三种 loss 的叠加对应三个层次(这让我想起了之前的 Libra R-CNN 也是三个平衡对应三个层次)



对应 pixel-level,对应 patch-level,对应 map-level。



就是最基本的最常用的二值交叉熵,其中 G(r,c)∈{0,1} 表示 (r, c) 像素点是否为 GT label,S(r,c) 表示预测出 (r, c) 像素点为显著物体的概率。从结构相似性指标引出结构相似性损失:



作为结构相似性理论的实现,结构相似度指数从图像组成的角度将结构信息定义为独立于亮度、对比度的,反映场景中物体结构的属性,并将失真建模为亮度、对比度和结构三个不同因素的组合。用均值作为亮度的估计,标准差作为对比度的估计,协方差作为结构相似程度的度量 [2]



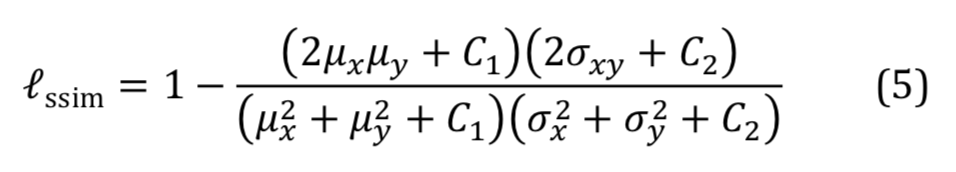
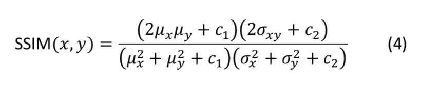
是结构相似性损失,SSIM 就是 structural similarity index 的意思,这是本文关注边界的重点部分,是为了评估图片质量的,捕捉结构化信息,是用于学习显著性目标与 GT 之间的结构化信息的。结构相似性损失的表达如上面的公式(3)所示。


简单的来说,就是要计算两张图的结构相似性,我们需要开一个局部窗口(N x N 大小的),计算窗口内的结构相似性损失,以像素为单位滑动,最后取所有窗口的结构相似性损失的平均。 


具体计算方式就是令两张图片的对应像素点表示为 x 和 y,其中,因为窗口大小为 N×N ,分别是 x 和 y 的均值和方差,为 x 和 y 的协方差。是为了避免分母为 0。 


SSIM 损失作用于 patch-level 的,关键在于它着眼于边界,但是这个标准真的能着眼于边界吗?具体地讲,就是会对边界对不上的地方加大惩罚吗?作者用热力图(heatmap)可视化了整个训练过程损失的变化,用来阐述各种 loss 的作用。


 Figure 3. P_fg和P_bg是表示预测为前景或背景的概率


可以看到 Fig 3 的这三行热力图变化,颜色越红代表损失对待该像素点的权重越大,也就是越重视该点,越蓝表示权重对待越小。从第一行的 BCE 损失变化可以看出,BCE 损失是 pixel-wise 的,它是一个非常公平的损失函数,对待前景和背景一开始区别不大,训练过程中几乎达到了任何像素点都一视同仁。 


而第二行关于结构相似性损失的变化,可以看到无论怎么变化都是对显著物体边界赋予较高的权重。 


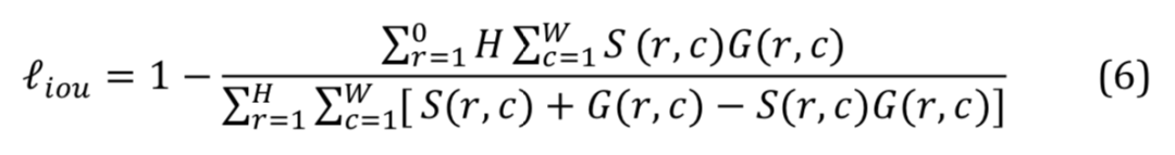
第三个损失是 IoU损失,就是交叠率损失,数学表达式如下:



其中的 S(r,c),G(r,c) 都与表示的一致。文中也没有对其做过多的解释。


实验结果


对于 RRM 模块,作者在对比实验中用了下面三种,(c) 是文章所用的结构:


 Figure 4. (a) local boundary refinement module RRM_LC; (b) multi-scale refinement module RRM_MS; (c) our encoder-decoder refinement module RRM_Ours


对于不同的结构和不同的损失函数做了组合对比实验,得到下面的表格:



其中的如下:



是边界评价标准,可以参考文献 [3]。下面是各种 loss 的情况下,显著性检测的效果,在传统困难的多物体重合与背景差别不大的情况下,从效果图中能看到三种 loss 一起的效果跟有结构性损失的效果都表现的不错。



各种方法的对比下,在的标准下始终能够达到 state-of-the-art 的效果,但是对于这个评价标准,并不能在所有的数据集上做到最好,这也是因为这个方法着眼于解决边界质量。




总结


BASNet 该方法主要的亮点在于引入结构相似性损失,最后三种损失(BCE 损失,SSIM 损失,IoU 损失)相加,同时考虑,着眼于解决边界模糊问题,更注重边界质量,因为在结构相似性损失下,边界的损失会比显著性物体内部或其他地方赋予的权重更高。文章也尝试从三种层次上解答为什么设计三个损失,结构还算清晰。但是个人认为主要还是结构相似性损失的引入比较有价值。


参考文献


[1]. Xuebin Qin, Zichen Zhang, Chenyang Huang, Chao Gao, Masood Dehghan, Martin Jagersand. BASNet: Boundary-Aware Salient Object Detection. The IEEE Conference on Computer Vision and Pattern Recognition (CVPR), 2019, pp. 7479-7489. 

[2]. Zhou Wang, Eero P Simoncelli, and Alan C Bovik. Multiscale structural similarity for image quality assessment. In The Thrity-Seventh Asilomar Conference on Signals, Systems & Computers, 2003, volume 2, pages 1398–1402. IEEE, 2003. 

[3]. Marc Ehrig and J´erˆome Euzenat. Relaxed precision and recall for ontology matching. In Proc. K-Cap 2005 workshop on Integrating ontology, pages 25–32. No commercial editor., 2005.




点击以下标题查看更多往期内容: 





#投 稿 通 道#

 让你的论文被更多人看到 



如何才能让更多的优质内容以更短路径到达读者群体,缩短读者寻找优质内容的成本呢?答案就是:你不认识的人。


总有一些你不认识的人,知道你想知道的东西。PaperWeekly 或许可以成为一座桥梁,促使不同背景、不同方向的学者和学术灵感相互碰撞,迸发出更多的可能性。 


PaperWeekly 鼓励高校实验室或个人,在我们的平台上分享各类优质内容,可以是最新论文解读,也可以是学习心得技术干货。我们的目的只有一个,让知识真正流动起来。


📝 来稿标准:

• 稿件确系个人原创作品,来稿需注明作者个人信息(姓名+学校/工作单位+学历/职位+研究方向) 

• 如果文章并非首发,请在投稿时提醒并附上所有已发布链接 

• PaperWeekly 默认每篇文章都是首发,均会添加“原创”标志


📬 投稿邮箱:

• 投稿邮箱:hr@paperweekly.site 

• 所有文章配图,请单独在附件中发送 

• 请留下即时联系方式(微信或手机),以便我们在编辑发布时和作者沟通




🔍


现在,在「知乎」也能找到我们了

进入知乎首页搜索「PaperWeekly」

点击「关注」订阅我们的专栏吧



关于PaperWeekly


PaperWeekly 是一个推荐、解读、讨论、报道人工智能前沿论文成果的学术平台。如果你研究或从事 AI 领域,欢迎在公众号后台点击「交流群」,小助手将把你带入 PaperWeekly 的交流群里。


▽ 点击 | 阅读原文 | 下载论文 & 源码

登录查看更多
4

相关内容

CVPR 2020 最佳论文与最佳学生论文!
专知会员服务
36+阅读 · 2020年6月17日
[CVPR 2020-港中文-MIT] 神经架构搜索鲁棒性
专知会员服务
26+阅读 · 2020年4月7日
专知会员服务
42+阅读 · 2020年2月20日
近期必读的9篇 CVPR 2019【视觉目标跟踪】相关论文和代码
必读的10篇 CVPR 2019【生成对抗网络】相关论文和代码
专知会员服务
33+阅读 · 2020年1月10日
近期必读的5篇 CVPR 2019【图卷积网络】相关论文和代码
专知会员服务
33+阅读 · 2020年1月10日
CVPR 2019:精确目标检测的不确定边界框回归
AI科技评论
13+阅读 · 2019年9月16日
BASNet,一种能关注边缘的显著性检测算法
极市平台
15+阅读 · 2019年7月19日
论文盘点:CVPR 2019 - 文本检测专题
PaperWeekly
14+阅读 · 2019年5月31日
CVPR2018 目标检测算法总览(最新的目标检测论文)
极市平台
21+阅读 · 2018年12月21日
CVPR 2018 |“寻找”极小人脸
极市平台
14+阅读 · 2018年7月11日
专栏 | CVPR 2017论文解读:特征金字塔网络FPN
机器之心
8+阅读 · 2017年7月25日
Revisiting CycleGAN for semi-supervised segmentation
Arxiv
3+阅读 · 2019年8月30日
S4Net: Single Stage Salient-Instance Segmentation
Arxiv
10+阅读 · 2019年4月10日
Panoptic Feature Pyramid Networks
Arxiv
3+阅读 · 2019年1月8日
Arxiv
11+阅读 · 2018年4月8日
Arxiv
7+阅读 · 2018年1月24日
VIP会员
相关资讯
CVPR 2019:精确目标检测的不确定边界框回归
AI科技评论
13+阅读 · 2019年9月16日
BASNet,一种能关注边缘的显著性检测算法
极市平台
15+阅读 · 2019年7月19日
论文盘点:CVPR 2019 - 文本检测专题
PaperWeekly
14+阅读 · 2019年5月31日
CVPR2018 目标检测算法总览(最新的目标检测论文)
极市平台
21+阅读 · 2018年12月21日
CVPR 2018 |“寻找”极小人脸
极市平台
14+阅读 · 2018年7月11日
专栏 | CVPR 2017论文解读:特征金字塔网络FPN
机器之心
8+阅读 · 2017年7月25日
Top
微信扫码咨询专知VIP会员