从谷歌到阿里,谈谈工业界推荐系统多目标预估的两种范式

2020 年 4 月 9 日 机器学习与推荐算法
作者:鱼罐头啊
知乎: https://zhuanlan.zhihu.com/p/125507748

清明节的第一天,宅家里闲着也是闲着,开始更新知乎专栏~
列了一些话题,第一篇是关于工业界的多目标预估。今年在组内的一个场景上线了多目标预估模型,算是有了一些经验,结项后在组内也做了一个分享,这篇文章是之前分享的一个文字版,增删了一些内容。

多目标是什么?为什么要多目标?

我们的大脑会同时学习多种不同的任务,无论我们是想将英文翻译成中文,还是想将中文翻译成德语,我们都是使用相同的大脑架构,也就是我们自己的脑袋。同理在我们的模型中,如果我们采用的是同一个网络来同时完成这两个任务,那么我们就可以把这个任务称为 多目标学习。
在推荐系统中,即使在同一个场景中,常常也有不只一个的业务目标。在Youtube的视频推荐中,推荐排序任务不仅需要考虑到用户点击率,完播率,也需要考虑到一些满意度指标,例如,对视频是否喜欢,用户观看后对视频的评分;在淘宝的信息流商品推荐中,需要考虑到点击率,也需要考虑转化率;而在一些内容场景中,需要考虑到点击和互动、关注、停留时长等指标。
用多个模型分别对这些指标进行一个排序,然后综合起来可以吗?
可以,但是会面临一些问题。第一,会面临比较大的线上开销,考虑一下你的场景至少可以承受多少rt吧。第二,一些目标的样本比较稀疏,还存在一些问题,例如,单独对CVR进行建模,存在样本选择偏差(Sample Selection Bias,SSB)和数据稀疏性(Data Sparisity,DS)问题,其实不好解决。
什么是SSB问题,什么又是DS问题,我们后面再讲,我们知道的是,多目标预估可以通过同一个模型,解决(或者说缓解)上面的两个问题,甚至带来场景效果上的提升。
讲完了必要性,下面进入正题,下面谈谈工业界推荐系统做多目标预估的两种范式。

范式一:MMoE替换hard parameter sharing

2017年的这篇综述文章An Overview of Multi-Task Learning in Deep Neural Networks将多目标的方法分成了两类。第一类是Hard parameter sharing的方法,将排序模型的底层的全连接层进行共享,学习共同的模式,上层用一些特定的全连接层学习任务特定的模式。这种方法非常经典,但是效果还是不错的,美团、知乎在18年分享的文章美团“猜你喜欢”深度学习排序模型实践、知乎推荐页Ranking经验分享使用的都是这种方法。
img
这种方法最大的优势是Task越多,单任务更加不可能过拟合,劣势是底层强制shared layers难以学得适用于所有任务的表达。尤其是两个任务很不相关的时候。
这个视频里给出了生动的例子,假设你的多目标预估是同时做猫狗的分类,那么底层的shared layer 学到的可能是关于眼睛、耳朵、颜色的一些共同模式。
img
而如果你的任务是做一个狗的分类,同时做汽车的分类,采用Hard parameter sharing的方法,底层的shared layer 很难学到两者共同的模式,多目标任务也很难学好。
img
谷歌在MMOE论文中的实验显示,任务相关性越高,模型的loss可以降到更低。
img
当两个任务相关性没有那么好时(例如,推荐系统排序中的点击率和互动率,点击率和停留时长等),Hard parameter sharing 的模式就不是那么适用了,会损害到一些效果。对应的,Soft parameter sharing的方式可能更加适合。
img
广义上MMoE方法也是Soft parameter sharing的一种。MMoE的全称叫做Multi-gate Mixture-of-Experts,在这篇论文发表前,还有个MoE模型(Mixture-of-Experts),下面先介绍MoE模型。
MoE模型的底层将shared layer变成了多个expert,同时设置了一个gate,不同的任务通过gate的输出加权各个expert的输出。
img
其中fi(x)为第i个expert网络的输出,g表示gate网络的输出。
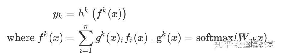
MMoE在MoE的基础上,设计了多个gate(每个任务都对应一个gate)。对于第k个任务,输出为对应的gate加权各个expert的输出,然后接多层全连接得到每个任务的输出。
img
MMoE是Google发表在2018 KDD的一篇文章,在2019年的RecSys上,Google又发表了一篇MMoE的应用文章Recommending What Video to Watch Next: A Multitask Ranking System。
算法的应用离不开其场景,这篇文章应用在Youtube视频推荐的场景中,其优化的多目标包含engagement objectives(点击率、完播率)和satisfaction objectives(喜欢、评分)。
img
详情页的场景大多都面临着各种bias问题。包括position bias,user bias,trigger bias等。position bias指的是不同坑位天然的xx率指标都不同;user bias表示着不同用户天然的xx率不同,有的用户爱点,有的用户不爱点;trigger bias表示这个内容出现在不同的详情页下,xx率也并不相同。
Youtube这篇论文解决的是position bias的问题,下图以点击率为例,可以看出youtube的详情页场景的点击率面临着严重的position bias问题。
img
Youtube解决这个问题使用的方式是使用一个shallow tower来建模xx率的position bias。这个shallow tower的输入特征只采用一些selection bias特征,结果加入到user engagement objectives中(Youtube认为这些指标的position bias比较大)。
img
这个shallow tower实际学到了什么呢?论文中将学到的position bias打出来了,发现确实,position靠前的坑位,值要更大一些。
MMoE出来后,确实在工业界掀起了不小的水花,包括阿里在内的一些公司都对MMoE进行了改进,适配到自己的场景上,取得了效果。下面也想抛出一下自己的一些问题和想法,和大家讨论下。
1.shallow tower放置在expert中是否更加合理?
不同指标的position bias的严重程度可能不一样,在expert外学习统一的position bias可能不是十分合理。shallow tower放置在expert中是否更加合理?
2.各个expert学到了什么?我们希望某个expert和task强相关,怎么办?
Youtube的论文中,分析了不同expert和各个目标之间的关系(其实就是看各个gate的softmax值)。可以看到不同的expert确实在不同的任务中的重要性不同。但是这种expert和task的对应关系是随机决定的。而在一些情况下,我们需要某个expert和某个task之间存在强相关关系。这个时候可以在输入gate前,加入一些预设好的任务和expert权值关系,或者直接修改softmax函数,让占比大的更大。但这种方式比较粗糙,还有没有更加优雅的解决方式呢?
img

范式二:任务序列依赖关系建模

好了,是时候进入第二种范式了,我把它称之为任务序列依赖关系建模,代表作为阿里妈妈在2018年提出来的Entire Space Multi-Task Model (ESSM)。
在推荐系统中,不同任务之间通常存在一种序列依赖关系。例如,电商推荐中的多目标预估经常是ctr和cvr,其中转换这个行为只有在点击发生后才会发生。这种序列依赖关系其实可以被利用,来解决一些任务预估中存在的样本选择偏差(Sample Selection Bias,SSB)和数据稀疏性(Data Sparisity,DS)问题。
简单介绍一下什么是SSB问题和DS问题。SSB问题:后一阶段的模型基于上一阶段采样后的样本子集进行训练,但是最终在全样本空间进行推理,带来严重的泛化性问题。DS问题:后一阶段的模型训练样本通常远小于前一阶段任务。
img
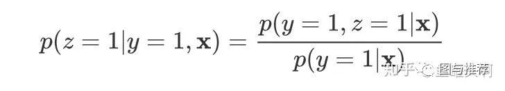
事实上,通过观察下面公式中pctcvr、pctr、pcvr之间的关系,可以找到解决上面问题的方法。
img
上面公式可以转化为
img
那么,我们可以通过分别估计pctcvr和pctr,然后通过两者相除来解决。而pctcvr和pctr都可以在全样本空间进行训练和预估。但是这种除法在实际使用中,会引入新的问题。因为pctr其实是一个很小的值,范围一般在百分之几,预估时会出现pctcvr>pctr的情况,导致pcvr预估值大于1。
img
ESSM巧妙的通过将除法改成乘法来解决上面的问题。它引入了pctr和pctcvr两个辅助任务,训练时,loss为两者相加。
img
ESSM是一种较为的通用的任务序列依赖关系建模的方法,除此之外,阿里的DBMTL 、ESM^2等工作都属于这一范式。

两种范式结合:MMoE+ESSM?

我在看这些工作的时候就在思考,上文所述的两大类方法能不能结合呢?
这两种范式,一种范式是使用expert+gate的方式替代hard parameter sharing,让不相关的任务也可以学习的很好。另一种范式聚焦于寻找多目标的任务中本身就存在的联系,来解决SSB和DS等问题,更好的建模。事实上这两种范式是可以叠加的。在阿里内也有一些相关工作,取得了效果。

多目标预估中的其他问题

多目标预估后,线上使用模型还存在一些问题。例如,线上多目标如何进行融合打分?一般的方式有

或者

两种。哪种方法、什么权重好,通常需要靠经验和线上ab来尝试。
另外,常常存在的问题是,指标a的提升常常伴随着指标b的下降。阿里在recsys 2019发表的文章A Pareto-Efficient Algorithm for Multiple Objective Optimization in E-Commerce Recommendation 使用帕累托最优的思想,生成多组权重参数,目的是为了在不损害a指标的情况,提升b指标,感兴趣的同学可以看一下。

最后,打个招聘广告,阿里淘系内容算法团队持续招人,推荐、nlp、cv的都要~
目前面向的是2021届的校招同学以及P7/P8以上的社招同学,将简历发送到yusheng.wys@alibaba-com
如果有兴趣的话,可以私信聊一聊~
登录查看更多
2

相关内容

专知会员服务
88+阅读 · 2020年1月20日
六篇 CIKM 2019 必读的【图神经网络(GNN)】长文论文
专知会员服务
38+阅读 · 2019年11月3日
【推荐系统/计算广告/机器学习/CTR预估资料汇总】
专知会员服务
88+阅读 · 2019年10月21日
可解释推荐:综述与新视角
专知会员服务
114+阅读 · 2019年10月13日
从FFM到DeepFFM,推荐排序模型到底哪家强?
AI前线
6+阅读 · 2019年4月23日
YouTube深度学习推荐系统的十大工程问题
AI前线
10+阅读 · 2019年1月13日
DNN在搜索场景中的应用
机器学习算法与Python学习
8+阅读 · 2018年6月7日
Google、阿里、京东的CTR预估模型
InfoQ
8+阅读 · 2018年3月16日
word2vec在工业界的应用场景
全球人工智能
5+阅读 · 2018年1月7日
深度学习时代的推荐系统
大数据技术
8+阅读 · 2018年1月6日
阿里搜索技术,在AI路上走了多远?
机器学习研究会
11+阅读 · 2017年12月29日
Next Item Recommendation with Self-Attention
Arxiv
5+阅读 · 2018年8月25日
Arxiv
9+阅读 · 2018年5月24日
Arxiv
14+阅读 · 2018年4月18日
Arxiv
19+阅读 · 2018年3月28日
VIP会员
相关资讯
从FFM到DeepFFM,推荐排序模型到底哪家强?
AI前线
6+阅读 · 2019年4月23日
YouTube深度学习推荐系统的十大工程问题
AI前线
10+阅读 · 2019年1月13日
DNN在搜索场景中的应用
机器学习算法与Python学习
8+阅读 · 2018年6月7日
Google、阿里、京东的CTR预估模型
InfoQ
8+阅读 · 2018年3月16日
word2vec在工业界的应用场景
全球人工智能
5+阅读 · 2018年1月7日
深度学习时代的推荐系统
大数据技术
8+阅读 · 2018年1月6日
阿里搜索技术,在AI路上走了多远?
机器学习研究会
11+阅读 · 2017年12月29日
Top
微信扫码咨询专知VIP会员