宇宙中最重要的方程

2018 年 5 月 4 日 中科院物理所 Zwicky

本文经「原理」(微信公众号:principia1687)授权转载,

禁止二次转载。

上周,在加拿大圆周理论物理研究所的一次活动中,邀请了14位科学家选出他们心中最喜爱的公式。不难想象,许多人都选了那些著名的基本方程组,包括万有引力定律、麦克斯韦方程、薛定谔方程等等。其中天体物理学家Ethan Siegel选出来的这个方程对宇宙学研究极其重要,却并不那么广为人知,它就是第一个弗里德曼方程,是在特定条件下从爱因斯坦的广义相对论中推导而得的。


PERIMETER INSTITUTE


1915年11月,爱因斯坦向柏林普鲁士科学院提交了一篇颠覆牛顿思想的论文。这篇论文的内容正是耗费了他十多年的心血所思考出的新引力理论:广义相对论,将弯曲的时空和宇宙中的物质和能量连接在一起。用约翰·惠勒的话来总结就是:时空告诉物质如何运动;物质告诉时空如何弯曲


爱因斯坦的理论重现了所有牛顿引力理论的所有成功,也解释了牛顿理论无法解决的水星进动问题,同时做出了一系列可检验的新预言。例如,广义相对论预言了星光经过大质量天体的时候会发生偏折,这个现象在1919年的日全食观测中被验证了。而在100年后,广义相对论所预言的引力波才被我们直接探测到,为探索宇宙打开了一扇新的窗口。


但唯一的问题是,当爱因斯坦将他的新理论应用在整个宇宙的时候,却遇到了麻烦。当时,爱因斯坦认为宇宙是静态的,但是广义相对论却预示着静态的时空是不稳定的,这意味着宇宙可以在引力的作用下发生坍缩。为了防止这种情况发生,爱因斯坦在他的方程中加入一个所谓的宇宙学常数



○ 弯曲的时空。关于爱因斯坦将他的引力理论应用在宇宙学上的详情,推荐阅读:《1917年,爱因斯坦的一篇论文打开了宇宙学的新篇章》

到了1922年,年轻的弗里德曼(Alexander Friedmann)在专研了爱因斯坦理论背后晦涩难懂的数学后,找到了一个优美的方式来解救我们的宇宙,同时也不需要宇宙学常数,那就是不要假设宇宙是静止的!弗里德曼认为正如我们所观测到的,宇宙中充满了物质和辐射,并且是会弯曲的。他进一步假设,宇宙大致是各向同性(每个方向看起来都一样)均匀(宇宙各处的特性都一样)的。基于这些,就可以从广义相对论的核心方程——爱因斯坦场方程中推导出两个方程弗里德曼方程。这两个方程让我们知道,宇宙并不静止,而是膨胀或者收缩(取决于宇宙的膨胀率和成分)。更重要的是,它们还能告诉我们宇宙在过去或者将来将如何随时间而演化。


值得一提的是,在弗里德曼提出这个思想之前,我们还未曾发现宇宙正在膨胀,我们甚至还不能确定银河系之外是否存在着其它星系。但在不久后,哈勃基于勒维特(Henrietta Leavitt)造父变星的工作,成功测量了仙女座中造父变星的距离,从而推断银河系之外还有许多星系。到了1920年代末,勒梅特(Georges Lemaître)和哈勃都独立的找到了红移和距离的关系,从而发现宇宙正在膨胀。但那个时候,年轻的弗里德曼(1888年 - 1925年)却早已因伤寒症不幸去世。

○ 哈勃在仙女座星系发现的一颗造父变星,最终确认了仙女座位于银河系之外。推荐阅读:《是他,改变了我们的宇宙观》| 图片来源:E. Hubble, NASA, ESA, R. Gendler, Z. Levay and the Hubble Heritage Team

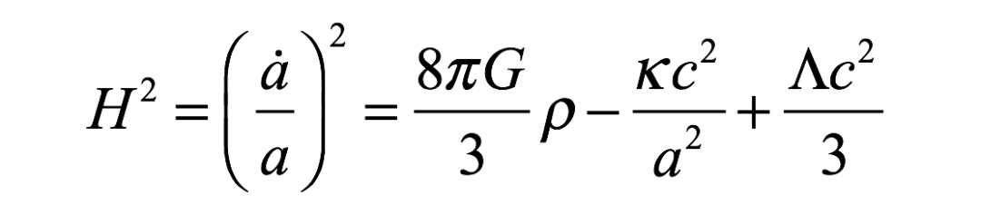
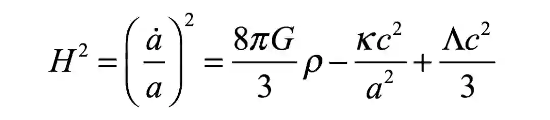
而随着我们对宇宙更深入的理解,就会发现弗里德曼留下的科学遗产有多么的重要。在弗里德曼方程中,第一个是最重要的,它和观测有着最简单直接的联系。方程的一边相当于宇宙的膨胀率,或者更常被称之为哈勃常数。它告诉我们的是宇宙的构造会如何随着时间膨胀或收缩。



○ 第一个弗里德曼方程。


方程的另一边包含了所有的物质、辐射和其它任何组成宇宙的能量形式。方程中也包含了空间固有的曲率,取决于宇宙是闭合的(正曲率)、开放的(负曲率),或平坦的(零曲率)。方程中也加入了“Λ”项,代表的正是宇宙学常数,它可以是一种能量的形式或者空间固有的性质。(在哈勃发现宇宙在膨胀后,爱因斯坦认为加入宇宙学常数是自己一生中犯过最大的错误。但自上个世纪九十年代天文学家发现暗能量后,人们才意识到宇宙学常数的重要性可能一直被低估了。)


○ 宇宙是闭合的?开放的?还是平坦的?推荐阅读:《平坦的宇宙,寒冷的未来》。| 图片来源:Symmetry Magazine

无论是哪种方式,正是这个方程定量的将宇宙的膨胀宇宙中物质与能量的构成连接在了一起。这就意味着测量今天宇宙中的成分,以及膨胀的有多快,就能过推算过去或将来宇宙会如何演化。从中,也可以得知宇宙在未来是否会重新坍缩,它的膨胀率是否会趋于零,以及它是否会一直膨胀下去。


○ 宇宙在不同时期会由不同的成分主导的,图中显示的分别是物质、辐射和空间自身。这三个解都是从弗里德曼方程中推导出来的,可以看出不同成分主导下的宇宙,时空的膨胀率也不同。| 图片来源:E.Siegel

也许最惊人的,是在平滑的背景上也可以添加不完美性。给宇宙的密度添加上不完美性能让我们知道大尺度结构是如何成长与形成的,哪些能够最终演化成星系和星系团,以及哪些会受引力束缚、而哪些又会相互远离。


所有的这一切,都可以从第一个弗里德曼方程中推导而得。


○ 宇宙并不是均匀地膨胀的,在宇宙内的微小密度不完美性就会导致恒星、星系和星系团的形成。在第一个弗里德曼方程中加入密度非均匀性,是理解今天宇宙看起来是什么样的第一步。| 图片来源:E.M. Huff, the SDSS-III team and the South Pole Telescope team; graphic by Zosia Rostomian

尽管弗里德曼的生命是短暂的,但他留下的工作却有着深远的意义。他是第一个从广义相对论中推导出描述我们的宇宙——一个充满物质的膨胀宇宙——的解的人。尽管后来另外三人勒梅特、罗伯逊(Howard Robertson)和沃克(Arthur Walker)也独立将其推导出来,但弗里德曼完整地意识到了它所蕴含的含义和应用,甚至还提出了第一个描述奇异弯曲空间的解。同时,他也是一位深具影响力的老师,他著名的学生就包括伽莫夫(George Gamow)。后来,伽莫夫将弗里德曼的工作应用到不断膨胀的宇宙中,提出了描述宇宙起源的大爆炸理论

○ 一个始于大爆炸的、且不断膨胀的宇宙图景已经获得了许多科学证据的支持。| 图片来源:NASA / CXC / M. Weiss

在他最著名的作品发表后近一个世纪之后,弗里德曼方程已被扩展到了一个包含暴胀起源、暗物质、中微子和暗能量的宇宙。即便如此,这两个方程仍然完全有效,不需对其进行增加或修改就能解释这些巨大的进步。虽然我们可以说爱因斯坦、牛顿、麦克斯韦、费曼等人的理论更加基本,但当谈及膨胀的宇宙时,第一个弗里德曼方程却是唯一需要的方程。有了它,我们只要通过测量今天宇宙的物质和能量,以及宇宙的膨胀率,就可以推测出宇宙的历史和命运。就宇宙的结构而言,这个方程或许是宇宙中最重要的方程,没有之一。


编译:Zwicky

原文链接:https://www.forbes.com/sites/startswithabang/2018/04/17/the-most-important-equation-in-the-universe/#70d3f8c560da

    来源:原理

编辑:Aprilis


近期热门文章Top10

↓ 点击标题即可查看 ↓

1. 人类一思考,上帝就要忙疯掉……

2. 原来,这些我们都默认科学家早已解决了的问题,至今仍然无解

3. 理工科学霸的子女更易患自闭症

4. 鸡蛋从高空坠落能砸死人,为什么猫却摔不死?科学告诉你答案

5. 光学3分钟:从入门到放弃

6. 光速为什么如此重要?

7. 量子计算陷入难解困境,未来发展何去何从?

8. 除了《时间简史》,关于霍金你还应该知道这些!

9. 速速收藏!可乐竟然还有这些神奇的用途!

10. 石墨烯研究的意外发现,是否能解开高温超导之谜

点此查看以往全部热门文章


登录查看更多
0

相关内容

【ICML2020】持续图神经网络,Continuous Graph Neural Networks
专知会员服务
151+阅读 · 2020年6月28日
【ICLR2020】图神经网络与图像处理,微分方程,27页ppt
专知会员服务
48+阅读 · 2020年6月6日
【图神经网络(GNN)结构化数据分析】
专知会员服务
117+阅读 · 2020年3月22日
图神经网络表达能力的研究综述,41页pdf
专知会员服务
173+阅读 · 2020年3月10日
物理学家终于找到了一种拯救薛定谔猫的方法
中科院物理所
8+阅读 · 2019年6月10日
特征方程的物理意义
算法与数学之美
6+阅读 · 2019年5月13日
丘成桐:攻克物理难题的数学大师
科技导报
5+阅读 · 2018年7月23日
【财富空间】一个人真正的资本是什么
产业智能官
6+阅读 · 2018年3月16日
【机器学习数学基础】动图解释泰勒级数(一)
机器学习研究会
6+阅读 · 2018年2月25日
傅里叶变换和拉普拉斯变换的物理解释及区别
算法与数学之美
11+阅读 · 2018年2月5日
送书 | 深入浅出,一起学习贝叶斯!
AI100
10+阅读 · 2018年2月2日
一杯咖啡背后的拓扑 | 顾险峰
中国物理学会期刊网
7+阅读 · 2018年2月2日
Implicit Maximum Likelihood Estimation
Arxiv
7+阅读 · 2018年9月24日
Arxiv
11+阅读 · 2018年4月25日
VIP会员
相关资讯
物理学家终于找到了一种拯救薛定谔猫的方法
中科院物理所
8+阅读 · 2019年6月10日
特征方程的物理意义
算法与数学之美
6+阅读 · 2019年5月13日
丘成桐:攻克物理难题的数学大师
科技导报
5+阅读 · 2018年7月23日
【财富空间】一个人真正的资本是什么
产业智能官
6+阅读 · 2018年3月16日
【机器学习数学基础】动图解释泰勒级数(一)
机器学习研究会
6+阅读 · 2018年2月25日
傅里叶变换和拉普拉斯变换的物理解释及区别
算法与数学之美
11+阅读 · 2018年2月5日
送书 | 深入浅出,一起学习贝叶斯!
AI100
10+阅读 · 2018年2月2日
一杯咖啡背后的拓扑 | 顾险峰
中国物理学会期刊网
7+阅读 · 2018年2月2日
Top
微信扫码咨询专知VIP会员