干货|完全图解RNN、RNN变体、Seq2Seq、Attention机制

2017 年 8 月 5 日 机器学习研究会

完全图解RNN、RNN变体、Seq2Seq、Attention

机制

本文首发于知乎专栏“ai insight”!


本文主要是利用图片的形式,详细地介绍了经典的RNN、RNN几个重要变体,以及Seq2Seq模型、Attention机制。


希望这篇文章能够提供一个全新的视角,帮助初学者更好地入门。




1
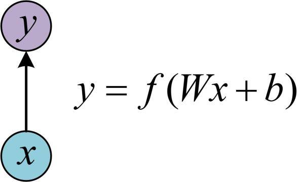
从单层网络谈起




在学习RNN之前,首先要了解一下最基本的单层网络,它的结构如图:

输入是x,经过变换Wx+b和激活函数f得到输出y。相信大家对这个已经非常熟悉了。




2
 经典的RNN结构(N vs N)




在实际应用中,我们还会遇到很多序列形的数据:

如:

  • 自然语言处理问题。x1可以看做是第一个单词,x2可以看做是第二个单词,依次类推。

  • 语音处理。此时,x1、x2、x3……是每帧的声音信号。

  • 时间序列问题。例如每天的股票价格等等

序列形的数据就不太好用原始的神经网络处理了。

为了建模序列问题,RNN引入了隐状态h(hidden state)的概念,h可以对序列形的数据提取特征,接着再转换为输出。

先从h1的计算开始看:

图示中记号的含义是:

  • 圆圈或方块表示的是向量。

  • 一个箭头就表示对该向量做一次变换。如上图中h0和x1分别有一个箭头连接,就表示对h0和x1各做了一次变换。

在很多论文中也会出现类似的记号,初学的时候很容易搞乱,但只要把握住以上两点,就可以比较轻松地理解图示背后的含义。

h2的计算和h1类似。要注意的是,在计算时,每一步使用的参数U、W、b都是一样的,也就是说每个步骤的参数都是共享的,这是RNN的重要特点,一定要牢记。

依次计算剩下来的(使用相同的参数U、W、b):

我们这里为了方便起见,只画出序列长度为4的情况,实际上,这个计算过程可以无限地持续下去。

我们目前的RNN还没有输出,得到输出值的方法就是直接通过h进行计算:

正如之前所说,一个箭头就表示对对应的向量做一次类似于f(Wx+b)的变换,这里的这个箭头就表示对h1进行一次变换,得到输出y1。

剩下的输出类似进行(使用和y1同样的参数V和c):

OK!大功告成!这就是最经典的RNN结构,我们像搭积木一样把它搭好了。它的输入是x1, x2, .....xn,输出为y1, y2, ...yn,也就是说,输入和输出序列必须要是等长的

由于这个限制的存在,经典RNN的适用范围比较小,但也有一些问题适合用经典的RNN结构建模,如:

  • 计算视频中每一帧的分类标签。因为要对每一帧进行计算,因此输入和输出序列等长。

  • 输入为字符,输出为下一个字符的概率。

  • 这就是著名的Char RNN(详细介绍请参考:The Unreasonable Effectiveness of Recurrent Neural Networks,Char RNN可以用来生成文章,诗歌,甚至是代码,非常有意思)。


点击“阅读原文”查看全文


转自:机器学习算法与自然语言处理

登录查看更多
12

相关内容

RNN:循环神经网络,是深度学习的一种模型。
【ICML2020-华为港科大】RNN和LSTM有长期记忆吗?
专知会员服务
78+阅读 · 2020年6月25日
基于多头注意力胶囊网络的文本分类模型
专知会员服务
78+阅读 · 2020年5月24日
一份循环神经网络RNNs简明教程,37页ppt
专知会员服务
173+阅读 · 2020年5月6日
【MIT深度学习课程】深度序列建模,Deep Sequence Modeling
专知会员服务
78+阅读 · 2020年2月3日
注意力机制模型最新综述
专知会员服务
271+阅读 · 2019年10月20日
注意力机制介绍,Attention Mechanism
专知会员服务
171+阅读 · 2019年10月13日
撩一发深度文本分类之RNN via Attention
AINLP
7+阅读 · 2019年1月27日
三次简化一张图:一招理解LSTM/GRU门控机制
机器之心
16+阅读 · 2018年12月18日
从Seq2seq到Attention模型到Self Attention(二)
量化投资与机器学习
23+阅读 · 2018年10月9日
从Seq2seq到Attention模型到Self Attention(一)
量化投资与机器学习
76+阅读 · 2018年10月8日
RNN是怎么从单层网络一步一步构造的?
七月在线实验室
6+阅读 · 2018年7月13日
基于attention的seq2seq机器翻译实践详解
黑龙江大学自然语言处理实验室
11+阅读 · 2018年3月14日
干货|从LSTM到Seq2Seq
全球人工智能
15+阅读 · 2018年1月9日
TensorFlow seq2seq中的Attention机制(续)
深度学习每日摘要
15+阅读 · 2017年11月16日
十分钟掌握Keras实现RNN的seq2seq学习
机器学习研究会
10+阅读 · 2017年10月13日
完全图解RNN、RNN变体、Seq2Seq、Attention机制
AI研习社
12+阅读 · 2017年9月5日
Arxiv
19+阅读 · 2019年4月5日
Arxiv
4+阅读 · 2018年10月31日
Arxiv
6+阅读 · 2018年5月18日
Arxiv
6+阅读 · 2018年1月29日
Arxiv
27+阅读 · 2017年12月6日
VIP会员
相关VIP内容
【ICML2020-华为港科大】RNN和LSTM有长期记忆吗?
专知会员服务
78+阅读 · 2020年6月25日
基于多头注意力胶囊网络的文本分类模型
专知会员服务
78+阅读 · 2020年5月24日
一份循环神经网络RNNs简明教程,37页ppt
专知会员服务
173+阅读 · 2020年5月6日
【MIT深度学习课程】深度序列建模,Deep Sequence Modeling
专知会员服务
78+阅读 · 2020年2月3日
注意力机制模型最新综述
专知会员服务
271+阅读 · 2019年10月20日
注意力机制介绍,Attention Mechanism
专知会员服务
171+阅读 · 2019年10月13日
相关资讯
撩一发深度文本分类之RNN via Attention
AINLP
7+阅读 · 2019年1月27日
三次简化一张图:一招理解LSTM/GRU门控机制
机器之心
16+阅读 · 2018年12月18日
从Seq2seq到Attention模型到Self Attention(二)
量化投资与机器学习
23+阅读 · 2018年10月9日
从Seq2seq到Attention模型到Self Attention(一)
量化投资与机器学习
76+阅读 · 2018年10月8日
RNN是怎么从单层网络一步一步构造的?
七月在线实验室
6+阅读 · 2018年7月13日
基于attention的seq2seq机器翻译实践详解
黑龙江大学自然语言处理实验室
11+阅读 · 2018年3月14日
干货|从LSTM到Seq2Seq
全球人工智能
15+阅读 · 2018年1月9日
TensorFlow seq2seq中的Attention机制(续)
深度学习每日摘要
15+阅读 · 2017年11月16日
十分钟掌握Keras实现RNN的seq2seq学习
机器学习研究会
10+阅读 · 2017年10月13日
完全图解RNN、RNN变体、Seq2Seq、Attention机制
AI研习社
12+阅读 · 2017年9月5日
相关论文
Arxiv
19+阅读 · 2019年4月5日
Arxiv
4+阅读 · 2018年10月31日
Arxiv
6+阅读 · 2018年5月18日
Arxiv
6+阅读 · 2018年1月29日
Arxiv
27+阅读 · 2017年12月6日
Top
微信扫码咨询专知VIP会员