【优博微展2018】郭恒:低温等离子体非平衡特性若干问题与性能调控的研究

2018 年 11 月 13 日 清华大学研究生教育


郭恒:2018年清华大学优秀博士学位论文二等奖获得者


低温等离子体非平衡特性若干问题与性能调控的研究


Studies on Some Aspects of Non-equilibrium Low-Temperature Plasmas and Tuning of Their Characteristics


作  者:郭恒         

指导教师:李和平

培养院系:工程物理系             

学       科:核科学与技术

读博感言:Plasma is hot & Science is cool


研究背景/选题意义/研究价值

低温等离子体内部包含着复杂的物理化学过程,非平衡特性是其显著特点之一。本论文以它的参数优化为研究背景,分别从宏观层面和微观层面对其进行了基于自洽流体模型和动力学模型的数值模拟研究,并将其用于某些特定类型低温等离子体关键参数的调控。


该工作将有助于深入理解非平衡态低温等离子体中的粒子和能量传递机制,在一定程度上实现对等离子体关键参数(如等离子体温度、粒子数密度以及等离子体尺度等)的调控,进而发展面向等离子体生物医学、先进材料加工和空间等离子体环境地面模拟等特定应用的等离子体源。


主要研究内容


本论文分别从宏观层面和微观层面对不同类型的低温等离子体进行了基于自洽流体模型和动力学模型的数值模拟研究。主要研究了外界因素对等离子体非平衡特性的影响规律以及内部不同非平衡效应之间的协同作用机制,揭示了非平衡态低温等离子体中一些新的粒子和能量传递机制,并将其用于某些特定类型低温等离子体关键参数的调控,如在实验中通过调节发生器壁面温度初步实现了对开放环境中大气压射频辉光放电等离子体气体温度与活性粒子浓度的准独立调控;而通过改变放电的环境压强,在500 Pa的条件下则获得了最大直径和长度分别达到14.0 cm和60.0 cm的大体积等离子体射流。

弧电流为100 A工况下的大气压氩自由燃烧电弧系统中,占据重粒子体系能量传递过程主导地位的能量传递项的空间分布。


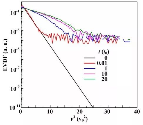
当在两个平板之间衰减的无碰撞等离子体中存在体快电子源时,位于中心位置处的等离子体垂直于板面方向的电子速度分布函数在不同时刻的分布结果:逐渐偏离平衡态的麦克斯韦分布,并在高能部分发展为均匀分布。


主要创新点

1. 采用非平衡流体模型对大气压氩自由燃烧电弧进行数值模拟,首次揭示了电弧等离子体内部热力学和化学非平衡效应间的协同作用机制,以及热力学非平衡度的空间梯度对体系能量传递和非平衡过渡区域空间演化的影响规律。


2. 采用粒子模拟方法对受壁面约束的低气压放电等离子体中壁面粒子损失和补充过程进行研究,揭示了粒子壁面损失和快电子注入对电子速度分布函数及鞘层电位的影响规律。


3. 在特定放电条件下等离子体非平衡特性调控的研究中,通过调节能量传递通道实现了对气体温度和活性粒子浓度的准独立调控。


代表性学术发表


1. Heng Guo, Gui-Qing Wu, He-Ping Li, Cheng-Yu Bao, Three-Dimensional Non-equilibrium Modeling on the Characteristics of the Dual-Jet Direct-Current Arc Plasmas. Plasma Chemistry and Plasma Processing, 2015, 35(1): 75-89.(SCI收录, 检索号: WOS:000347285800005, 影响因子: 2.355)


2. Heng Guo, Peng Li, He-Ping Li, Nan Ge, Cheng-Yu Bao, In situ measurement of the two-dimensional temperature field of a dual-jet direct-current arc plasma. Review of Scientific Instruments, 2016, 87(3): 033502.(SCI收录, 检索号: WOS: 000373713300022,影响因子: 1.515)


3. Heng Guo, Xiao-Ning Zhang, Jian Chen, He-Ping Li, Kostya Ostrikov, Non-equilibrium synergistic effects in atmospheric pressure plasmas. Scientific Reports, 2018, 8(1):4783.(SCI收录, WOS:000427685600005,影响因子: 4.259)


作者:郭恒

供图:郭恒

编辑:清华大学研究生院  周明坤 吴佳瑛  李文


转载须经作者同意授权

登录查看更多
0

相关内容

专知会员服务
126+阅读 · 2020年6月12日
多智能体深度强化学习的若干关键科学问题
专知会员服务
194+阅读 · 2020年5月24日
【ICMR2020】持续健康状态接口事件检索
专知会员服务
18+阅读 · 2020年4月18日
【上海交大】半监督学习理论及其研究进展概述
专知会员服务
71+阅读 · 2019年10月18日
浅谈群体智能——新一代AI的重要方向
中国科学院自动化研究所
44+阅读 · 2019年10月16日
《常用算法之智能计算 (四) 》:遗传算法
数盟
4+阅读 · 2018年12月21日
海洋论坛丨水声目标识别技术现状与发展
无人机
26+阅读 · 2018年12月17日
【优博微展2018】刘昊:基于深度神经网络的人脸关键点检测
清华大学研究生教育
32+阅读 · 2018年12月1日
基于Xgboost + LR + Keras 建模评估用户信用状态
机器学习研究会
5+阅读 · 2017年10月5日
Physical Primitive Decomposition
Arxiv
4+阅读 · 2018年9月13日
Arxiv
3+阅读 · 2017年10月1日
VIP会员
Top
微信扫码咨询专知VIP会员