ICCV2019 | Gaussian YOLOv3,更强的YOLOv3

2019 年 11 月 4 日 极市平台

加入极市专业CV交流群,与6000+来自腾讯,华为,百度,北大,清华,中科院等名企名校视觉开发者互动交流!更有机会与李开复老师等大牛群内互动!

同时提供每月大咖直播分享、真实项目需求对接、干货资讯汇总,行业技术交流。关注 极市平台 公众号 ,回复 加群,立刻申请入群~



在目标检测的落地项目中,实时性和精确性的trade-off至关重要,而YOLOv3是目前为止在这方面做得最好的算法。本文通过高斯分布的特性,改进YOLOv3使得网络能够输出每个检测框的不确定性,从而提升了网络的精度。


https://arxiv.org/abs/1904.04620

https://github.com/jwchoi384/Gaussian_YOLOv3



   YOLOv3



如上图(a)所示,为YOLOv3的网络架构。

  • YOLOv3使用了skip shotcut的操作方式网络过深而引起的梯度消散。

  • YOLOv3使用了up-sample操作,并将大特征图和小特征图upsample后的特征图进行concat,使网络能够拥有既包含丰富的高层抽象特征和精确的位置信息特征的融合特征层。

  • YOLOv3使用了特征金字塔结构,使得网络能够在三个不同的尺度特征下做目标检测,能够适应与多种不同大小的目标检测任务。


如上图(b)所示,为利用YOLOv3进行目标检测时的网络输出。


  • RGB3通道图像作为YOLOv3网络的输入,检测结果会在三个不同的尺度分别输出,包含了目标的坐标位置,目标是正样本还是负样本的概率,目标属于某个类别的置信度。 对于每个尺度分支而言,在每个grid cell中会预测出三个结果(每个尺度下会有三个anchor)。 将三个尺度的结果合并,进行非极大值抑制(NMS)后,输出最终的检测结果。


正如YOLOv3的输出结果所述,目标类别是有概率值的,但目标框只有位置而没有概率值,也就是从结果中无法预知当前目标框的可靠性。 基于此,本文利用Gaussian模型来对网络输出进行建模,在基本不改变YOLOv3结构和计算量的情况下,能够输出每个预测框的可靠性,并且在算法总体性能上提升了3个点的MAP。


   Gaussian YOLOv3

如图所示,Gaussian YOLOv3通过增加网络的输出,和改进网络的损失函数,实现了对预测框可靠性的输出。


下图为源代码对比,从中我们可以看出,与原始的YOLOv3在坐标预测时输出4个维度不同,Gaussian YOLOv3在bounding box的坐标预测输出中包含了8个维度。


这八个维度相当于是预测框中心坐标和长宽,以及对应预测框的不确定性。 作者将这些指建模为四个高斯分布,目标框的位置作为高斯分布的均值,对应的不确定性作为方差。 如下图的比对代码所示,Gaussian YOLOv3通过预测每个坐标位置的不确定性,从而提升最终预测prob值的精确性。


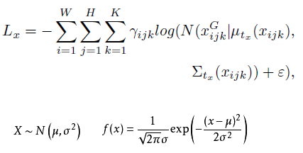
由于Gaussian YOLOv3的输出进行了调整,与之对应的损失函数的计算也会做相应的调整。 与原始的YOLOv3相比,仅仅调整了预测框坐标位置的回归策略。 如下代码对比所示,原始的YOLOv3进行box回归时,由于网络预测输出就是坐标本身,因此计算梯度时就利用了均方误差的方式。 而由于Gaussian YOLOv3输出的是均值和方差,因此在计算梯度时就结合了高斯分布的策略。



Gaussian YOLOv3的损失函数如下:




   Gaussian YOLOv3与其他算法的结果比对



-End-


*延伸阅读





目标检测交流群


添加极市小助手微信(ID : cv-mart)备注:研究方向-姓名-学校/公司-城市(如:目标检测-小极-北大-深圳)即可进群。(已经添加小助手的好友直接私信)


△长按添加极市小助手


其他方向如目标跟踪、人脸、工业检测、医学影像、三维&SLAM、图像分割等,也可扫码添加极市小助手拉你进群,更有每月大咖直播分享、真实项目需求对接、干货资讯汇总,行业技术交流,一起来让思想之光照的更远吧~

△长按关注极市平台


觉得有用麻烦给个在看啦~  

登录查看更多
0

相关内容

YOLO是快速的端到端的目标检测深度网络

知识荟萃

精品入门和进阶教程、论文和代码整理等

更多

查看相关VIP内容、论文、资讯等
【KDD2020】自适应多通道图卷积神经网络
专知会员服务
121+阅读 · 2020年7月9日
【ICML2020】对比多视角表示学习
专知会员服务
53+阅读 · 2020年6月28日
【CVPR2020-旷视】DPGN:分布传播图网络的小样本学习
专知会员服务
28+阅读 · 2020年4月1日
姿势服装随心换-CVPR2019
专知会员服务
36+阅读 · 2020年1月26日
目标检测中边界框的回归策略
极市平台
17+阅读 · 2019年9月8日
进化历程详解:YOLOv1到YOLOv3
极市平台
31+阅读 · 2019年8月27日
基于深度学习的超分辨率图像技术一览
极市平台
17+阅读 · 2019年8月24日
FoveaBox,超越Anchor-Based的检测器
极市平台
10+阅读 · 2019年4月22日
CVPR2019 | FSAF:来自CMU的Single-Shot目标检测算法
极市平台
41+阅读 · 2019年3月8日
CornerNet: Detecting Objects as Paired Keypoints 论文笔记
统计学习与视觉计算组
7+阅读 · 2018年9月27日
Single-Shot Object Detection with Enriched Semantics
统计学习与视觉计算组
14+阅读 · 2018年8月29日
从YOLOv1到YOLOv3,目标检测的进化之路
AI100
9+阅读 · 2018年6月4日
Object detection on aerial imagery using CenterNet
Arxiv
6+阅读 · 2019年8月22日
Arxiv
11+阅读 · 2019年4月15日
Arxiv
5+阅读 · 2019年4月8日
Arxiv
5+阅读 · 2018年4月17日
Arxiv
11+阅读 · 2018年4月8日
Arxiv
7+阅读 · 2018年1月24日
Arxiv
5+阅读 · 2016年12月29日
VIP会员
相关资讯
目标检测中边界框的回归策略
极市平台
17+阅读 · 2019年9月8日
进化历程详解:YOLOv1到YOLOv3
极市平台
31+阅读 · 2019年8月27日
基于深度学习的超分辨率图像技术一览
极市平台
17+阅读 · 2019年8月24日
FoveaBox,超越Anchor-Based的检测器
极市平台
10+阅读 · 2019年4月22日
CVPR2019 | FSAF:来自CMU的Single-Shot目标检测算法
极市平台
41+阅读 · 2019年3月8日
CornerNet: Detecting Objects as Paired Keypoints 论文笔记
统计学习与视觉计算组
7+阅读 · 2018年9月27日
Single-Shot Object Detection with Enriched Semantics
统计学习与视觉计算组
14+阅读 · 2018年8月29日
从YOLOv1到YOLOv3,目标检测的进化之路
AI100
9+阅读 · 2018年6月4日
Top
微信扫码咨询专知VIP会员