神经网络激励函数的作用是什么?有没有形象的解释?

2020 年 1 月 20 日 深度学习自然语言处理

点击上方,选择星标置顶,每天给你送干货

阅读大概需要6分钟

跟随小博主,每天进步一丢丢


整理 | 程序员大白
来自 | 知乎
地址:
 https://www.zhihu.com/question/22334626/answer/103835591
本文仅作学术分享,若侵权,请联系后台删文处理



神经网络激励函数的作用是什么?有没有形象的解释?



颜沁睿




https://www.zhihu.com/question/22334626/answer/103835591


这是一个单层的感知机, 也是我们最常用的神经网络组成单元啦. 用它可以划出一条线, 把平面分割开





那么很容易地我们就会想用多个感知机来进行组合, 获得更强的分类能力, 这是没问题的
如图所示,




那么我们动笔算一算, 就可以发现, 这样一个神经网络组合起来,输出的时候无论如何都还是一个线性方程, 说好的非线性分类呢




再盗用一幅经常在课堂上用的图...然而我已经不知道出处是哪了, 好像好多老师都是直接用的, 这幅图就跟前面的图一样, 描述了当我们直接使用step activation function的时候所能获得的分类器, 其实只能还是线性的, 最多不过是复杂的线性组合罢了~~~当然你可以说我们可以用无限条直线去逼近一条曲线啊......额,当然可以, 不过比起用non-linear的activation function来说就太傻了嘛....






祭出主菜. 题主问的激励函数作用是什么, 就在这里了!!
我们在每一层叠加完了以后, 加一个激活函数, 如图中的. 这样输出的就是一个不折不扣的非线性函数!





于是就很容易拓展到多层的情况啦, 更刚刚一样的结构, 加上non-linear activation function之后, 输出就变成了一个复杂的, 复杂的, 超级复杂的函数....额别问我他会长成什么样, 没人知道的,我们只能说, 有了这样的非线性激活函数以后, 神经网络的表达能力更加强大了(比起纯线性组合, 那是必须得啊!)




继续厚颜无耻地放一张跟之前那副图并列的图, 加上非线性激活函数之后, 我们就有可能学习到这样的平滑分类平面. 这个比刚刚那个看起来牛逼多了有木有!



--------------------------------------
这样表达应该能够比较清楚地回答题主的问题了吧? 这就是为什么我们要有非线性的激活函数!


额, 基于这两天刚交完ann的报告, 就再说点个人的想法吧. 关于activation function这个东西的选择确实很trick, 可以说是完全依赖于做什么application吧. 比如我在做regression的时候, 不仅尝试了tanh, sigmoid这些常用的, 还试了一把近两年在dl中超级火的ReLU. 结果发现ReLU做出来的准确度简直是不忍直视啊...于是在报告里吹了一大通可能这个function不work的原因...其实自己知道那就是扯淡好么, 如果实验结果好了, 肯定又能找到一堆其它理由去support它了. 


所以这也是NN一直以来饱受诟病的大问题, 别看这两年DL风生水起, 依然是个没办法好好解释的东西, 谁也不敢保证这东西放到某个应用上就一定能成, 最后调出来的就发paper, 调不出来就换参数, 甚至换一个模型继续试呗...
当然我也不是经验很丰富啦, 对调参这门手艺还是继续保持敬仰的~~~ 只是最近看到好多摩拳擦掌准备投身DL想要干一番大事业的同学, 有感而发...花点时间搞搞清楚原理可能就不会觉得这个东西那么靠谱了, 更多的像是magic, 还不如其它的模型用着心理踏实...入行需谨慎啊





非理



https://www.zhihu.com/question/22334626/answer/21036590


翻译为激活函数(activation function)会更好。

激活函数是用来加入非线性因素的,因为线性模型的表达能力不够。

以下,同种颜色为同类数据。

某些数据是线性可分的,意思是,可以用一条直线将数据分开。比如下图:


这时候你需要通过一定的机器学习的方法,比如感知机算法(perceptron learning algorithm) 找到一个合适的线性方程。


但是有些数据不是线性可分的。比如如下数据:


第二组数据你就没有办法画出一条直线来将数据区分开。

这时候有两个办法,第一个办法,是做线性变换(linear transformation),比如讲x,y变成x^2,y^2,这样可以画出圆形。如图所示:


如果将坐标轴从x,y变为以x^2,y^2为标准,你会发现数据经过变换后是线性可分的了。大致示意图如下:


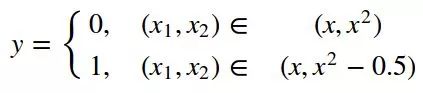
另外一种方法是引入非线性函数。我们来看异或问题(xor problem)。以下是xor真值表



这个真值表不是线性可分的,所以不能使用线性模型,如图所示



我们可以设计一种神经网络,通过激活函数来使得这组数据线性可分。
激活函数我们选择阀值函数(threshold function),也就是大于某个值输出1(被激活了),小于等于则输出0(没有激活)。这个函数是非线性函数。


神经网络示意图如下:


其中直线上的数字为权重。圆圈中的数字为阀值。第二层,如果输入大于1.5则输出1,否则0;第三层,如果输入大于0.5,则输出1,否则0.


我们来一步步算。


第一层到第二层(阀值1.5)



第二层到第三层(阀值0.5)



可以看到第三层输出就是我们所要的xor的答案。


经过变换后的数据是线性可分的(n维,比如本例中可以用平面),如图所示:


总而言之,激活函数可以引入非线性因素,解决线性模型所不能解决的问题。





论智



https://www.zhihu.com/question/22334626/answer/465380541


神经网络的激励函数(activation function)是一群空间魔法师,扭曲翻转特征空间,在其中寻找线性的边界。



图片来源:漫威



如果没有激励函数,那么神经网络的权重、偏置全是线性的仿射变换(affine transformation):






这样的神经网络,甚至连下面这样的简单分类问题都解决不了:



在这个二维特征空间上,蓝线表示负面情形(y=0),绿线表示正面情形(y=1)



在这个二维特征空间上,蓝线表示负面情形(y=0),绿线表示正面情形(y=1)

没有激励函数的加持,神经网络最多能做到这个程度:



线性边界——看起来不怎么好,是吧?



线性边界——看起来不怎么好,是吧?


这时候,激励函数出手了,扭曲翻转一下空间:





线性边界出现了!再还原回去,不就得到了原特征空间中的边界?

当然,不同的激励函数,因为所属流派不同,所以施展的魔法也各不相同。



上为变换后的特征空间的线性边界;下为原特征空间的非线性边界



上图中,出场的三位空间魔法师,分别为sigmoid、tanh、relu


sigmoid


sigmoid是一位老奶奶,是激励函数中最有资历的。



图片来源:Katya Art



虽然比较老迈、古板,已经不像当年那么受欢迎了,但在分类任务的输出层中,人们还是信赖sigmoid的丰富经验。



sigmoid及其梯度(红色曲线为梯度)



我们可以看到,sigmoid将输入挤压进0到1区间(这和概率的取值范围一致),这正是分类任务中sigmoid很受欢迎的原因。


tanh


tanh也是一位资深的空间魔法师:



图片来源:Katya Art



等等,这不就是sigmoid?背过身去以为我们就不认识了吗?

没错,tanh就是乔装打扮的sigmoid:







tanh及其梯度(红色曲线为梯度)



如上图所示,tanh形状和sigmoid类似,只不过tanh将“挤压”输入至区间(-1, 1)。因此,中心为零,(某种程度上)激活值已经是下一层的正态分布输入了。


至于梯度,它有一个大得多的峰值1.0(同样位于z = 0处),但它下降得更快,当|z|的值到达3时就已经接近零了。这是所谓梯度消失(vanishing gradients)问题背后的原因,会导致网络的训练进展变慢。


ReLU


ReLU是一个守门人,凡是麻瓜(0)一律拒之门外(关闭神经元)。



图片来源:Konami



它是今时今日寻常使用的激励函数ReLU处理了它的sigmoid、tanh中常见的梯度消失问题,同时也是计算梯度最快的激励函数。



ReLU及其梯度(红色折线为梯度)



如上图所示,ReLU是一头完全不同的野兽:它并不“挤压”值至某一区间——它只是保留正值,并将所有负值转化为零


使用ReLU的积极方面是它的梯度要么是1(正值),要么是0(负值)——再也没有梯度消失了!这一模式使网络更快收敛


另一方面,这一表现导致所谓的“死亡神经元”问题,也就是输入持续为负的神经元激活值总是为零。


本回答基于Daniel Godoy授权论智翻译的《可视化超参数作用机制:一、动画化激活函数》改编。



方便交流学习,备注: 昵称-学校(公司)-方向,进入DL&NLP交流群。
方向有很多: 机器学习、深度学习,python,情感分析、意见挖掘、句法分析、机器翻译、人机对话、知识图谱、语音识别等
记得备注呦


推荐阅读:
【ACL 2019】腾讯AI Lab解读三大前沿方向及20篇入选论文
【一分钟论文】IJCAI2019 | Self-attentive Biaffine Dependency  Parsing
【一分钟论文】 NAACL2019-使用感知句法词表示的句法增强神经机器翻译
【一分钟论文】Semi-supervised Sequence Learning半监督序列学习
【一分钟论文】Deep Biaffine Attention for Neural Dependency Parsing
详解Transition-based Dependency parser基于转移的依存句法解析器
经验 | 初入NLP领域的一些小建议
学术 | 如何写一篇合格的NLP论文
干货 | 那些高产的学者都是怎样工作的?
一个简单有效的联合模型
近年来NLP在法律领域的相关研究工作




让更多的人知道你“在看”
登录查看更多
0

相关内容

在人工神经网络中,给定一个输入或一组输入,节点的激活函数定义该节点的输出。一个标准集成电路可以看作是一个由激活函数组成的数字网络,根据输入的不同,激活函数可以是开(1)或关(0)。这类似于神经网络中的线性感知器的行为。然而,只有非线性激活函数允许这样的网络只使用少量的节点来计算重要问题,并且这样的激活函数被称为非线性。
【CVPR2020】L2 ^GCN:图卷积网络的分层学习高效训练
专知会员服务
40+阅读 · 2020年3月31日
麻省理工学院MIT-ICLR2020《神经网络能推断出什么?》
专知会员服务
51+阅读 · 2020年2月19日
资源 | 李航老师《统计学习方法》(第2版)课件下载
专知会员服务
254+阅读 · 2019年11月10日
激活函数还是有一点意思的!
计算机视觉战队
12+阅读 · 2019年6月28日
深度学习入门必须理解这25个概念
AI100
7+阅读 · 2018年6月6日
【机器学习数学基础】动图解释泰勒级数(一)
机器学习研究会
6+阅读 · 2018年2月25日
入门 | 一文看懂卷积神经网络
算法与数学之美
7+阅读 · 2018年2月22日
通俗理解卷积神经网络(小学生都能看懂)
七月在线实验室
9+阅读 · 2018年1月25日
理解神经网络的激活函数
论智
7+阅读 · 2018年1月8日
如何简单形象又有趣地讲解神经网络是什么?
算法与数据结构
5+阅读 · 2018年1月5日
干货|浅谈神经网络中激活函数的设计
机器学习研究会
5+阅读 · 2017年10月28日
人工神经网络
平均机器
15+阅读 · 2017年7月17日
Adaptive Neural Trees
Arxiv
4+阅读 · 2018年12月10日
Relational recurrent neural networks
Arxiv
8+阅读 · 2018年6月28日
Arxiv
22+阅读 · 2018年2月14日
Arxiv
5+阅读 · 2018年1月30日
Arxiv
7+阅读 · 2018年1月10日
VIP会员
相关资讯
激活函数还是有一点意思的!
计算机视觉战队
12+阅读 · 2019年6月28日
深度学习入门必须理解这25个概念
AI100
7+阅读 · 2018年6月6日
【机器学习数学基础】动图解释泰勒级数(一)
机器学习研究会
6+阅读 · 2018年2月25日
入门 | 一文看懂卷积神经网络
算法与数学之美
7+阅读 · 2018年2月22日
通俗理解卷积神经网络(小学生都能看懂)
七月在线实验室
9+阅读 · 2018年1月25日
理解神经网络的激活函数
论智
7+阅读 · 2018年1月8日
如何简单形象又有趣地讲解神经网络是什么?
算法与数据结构
5+阅读 · 2018年1月5日
干货|浅谈神经网络中激活函数的设计
机器学习研究会
5+阅读 · 2017年10月28日
人工神经网络
平均机器
15+阅读 · 2017年7月17日
相关论文
Top
微信扫码咨询专知VIP会员