AI 研习社喊你来打比赛了!200 种鸟类识别到中文对话情感分析

2019 年 9 月 5 日 AI科技评论


AI 发展至今在落地上面临诸多障碍,一个重要原因便是缺乏真实场景的验证,由于无法直接利用现实世界进行实验,数据竞赛便成为了一些前沿 AI 技术的“试验场”。


对 AI 学术青年与开发者群体而言,数据竞赛还是连接企业与开发者的一座桥梁,是人才、数据、算法的聚合地,也是提升AI开发能力最直接的途径。


为此,我们耗费时日精心打造了AI研习社【数据竞赛】平台,以便能在实战层面更好地赋能我们的社员。


网址:https://ai.yanxishe.com/page/competition

(提示:扫码或点击阅读原文均可访问)  



Q:

来这里可以收获什么?

A:

● 如果你是一个新手,可以在这里快速提高自己能实践开发能力,了解不同需求场景业务,学习高排名选手代码,了解最新算法和框架;


● 如果你是准备求职的学生,我们还可以通过比赛了解你的水平,大量企业内推机会在等着你;


● 如果你是一名高手,你可以在这里展示自己的才华,熟悉不同领域业务,系统学习该领域。


表现足够出色的话,你还可以收获丰厚的奖励:我们会奉上丰富的奖励,包括现金、笔记本电脑、显卡、GPU资源等。

重要的是,我们为了鼓励“全民AI”,设置的奖励门槛非常低!很低!低!一般来说参赛即可获奖。

以目前上线的 2 场比赛为例(中文情感对话分析 & 200种鸟类识别分类),我们共设置了 3 种奖项:


1

参与奖(Participation Award)

金额:占总奖金的30%;

获奖人数:所有人(每人仅能获得一次参与奖);

获奖条件:提交结果大于标准分;

R为得分区间系数,R1(0.45)、R2(0.2)、R3(0.15)、R4(0.12)、R5(0.08);

money为已经发放的参与奖奖金。

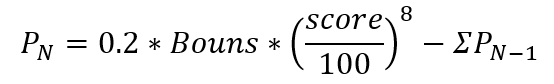
2

突破奖(Prizes)

金额:占总奖金20%;

获奖人数:所有人;

score为参数选手得分,N表示第N次更新排行榜;Prizes_N-1表示:排行榜更新后已发放的突破奖金。

3

排名奖(Ranking Award)

金额:占总奖金50%;

获奖人数:得分前5名

T为奖金时间系数,比赛上线第一周、一个月,T(周)=0.5,T(月)=0.5;

K为排名奖金分配系数,前5名分配系数分别为0.45、0.2、0.15、0.12、0.08.



换句话说,只要你的表现足够优秀,三个奖金都拿下并非不可能的事情!

是不是看了有点心动呢?


请开始你的表演!

我们将保持一周一场赛事的更新频率,赛题覆盖多个领域,同时还会与企业合作出题,探讨更多 AI 落地应用的场景。

我们会提供数据集和相关说明,比赛过程中你需要做的只是在自己的本地进行训练,然后提交模型和CSV文件。

       


我们欢迎所有的AI爱好者、学生、开发工程师前来参赛,并给我们提出有建设性的意见。

如果你的目标是成为AI科学家和工程师,别再犹豫了,赶紧来这里开启你 AI 职业生涯的第一站吧!

传送门:https://ai.yanxishe.com/page/competition

(提示:扫码或点击阅读原文均可访问)  


注:AI研习社的云平台正在开发中,后续大家将可以使用云平台进行AI开发的学习和实践,敬请期待!

封面图来源:https://pixabay.com/images/id-3382507/


加慕慕微信
找队友、加群交流

如无法扫描二维码,请复制微信号添加慕慕:AIMOOC-XM


点击
阅读原文
进入AI研习社比赛专区
登录查看更多
4

相关内容

狭义的情感分析(sentiment analysis)是指利用计算机实现对文本数据的观点、情感、态度、情绪等的分析挖掘。广义的情感分析则包括对图像视频、语音、文本等多模态信息的情感计算。简单地讲,情感分析研究的目标是建立一个有效的分析方法、模型和系统,对输入信息中某个对象分析其持有的情感信息,例如观点倾向、态度、主观观点或喜怒哀乐等情绪表达。

知识荟萃

精品入门和进阶教程、论文和代码整理等

更多

查看相关VIP内容、论文、资讯等
【Google-CMU】元伪标签的元学习,Meta Pseudo Labels
专知会员服务
32+阅读 · 2020年3月30日
报告 | 2020中国5G经济报告,100页pdf
专知会员服务
98+阅读 · 2019年12月29日
计算机视觉最佳实践、代码示例和相关文档
专知会员服务
20+阅读 · 2019年10月9日
FlyAI算法竞赛:百万现金奖励实时瓜分
AINLP
5+阅读 · 2019年4月1日
AI Challenger 2018 机器翻译参赛总结
PaperWeekly
5+阅读 · 2019年1月7日
AI Challenger 2018 机器翻译冠军参赛总结
AINLP
6+阅读 · 2019年1月4日
AI Challenger_2018英中文本机器翻译_参赛小结
Arxiv
14+阅读 · 2020年1月27日
Multi-Grained Named Entity Recognition
Arxiv
6+阅读 · 2019年6月20日
Arxiv
12+阅读 · 2019年2月26日
CoQA: A Conversational Question Answering Challenge
Arxiv
7+阅读 · 2018年8月21日
Arxiv
5+阅读 · 2018年5月28日
VIP会员
Top
微信扫码咨询专知VIP会员