学界 | 美图云联合中科院提出基于交互感知注意力机制神经网络的行为分类技术 | ECCV 2018

2018 年 7 月 21 日 AI科技评论

AI 科技评论按:本文为美图云视觉技术部门的 ECCV 2018 录用论文解读。

以往注意机制模型通过加权所有局部特征计算和提取关键特征,忽略了各局部特征间的强相关性,特征间存在较强的信息冗余。为解决此问题,来自美图云视觉技术部门和中科院自动化所的研发人员借鉴 PCA(主成分分析)思想,提出了一种引入局部特征交互感知的自注意机制模型,并将模型嵌入到 CNN 网络中,提出一个端到端的网络结构。该算法在多个学术数据集和美图公司内部工业界视频数据集上的行为分类表现都非常出色。基于该算法思想的相关论文「Interaction-aware Spatio-temporal Pyramid Attention Networks for Action Classification」已被 ECCV2018 收录,下文将从背景、核心思想、效果和应用前景几个方面进行介绍。

一、背景

深度卷积神经网络中,特征图里相邻空间位置的局部通道特征,往往由于它们的感受野重叠而具有很高的相关性。自注意机制模型通常利用每个局部特征内部元素的加权和(或其他函数)来获得其权重得分,此权重用于加权所有局部特征获取关键特征。尽管局部特征之间具有很高的相关性,但此权重计算并没有考虑到它们之间的相互作用。

PCA 可以提取全局特征主要维度的主成分信息,而这些主成分信息可以看作是提取的局部特征,最后降维后的全局特征即是关键局部特征的集合。注意机制的目的是从局部特征集合中提取关键部分,也就是 PCA 中的局部特征。不同的是注意力机制使用每个局部特征对应的加权得分来计算最终的全局特征。PCA 利用协方差矩阵来获得降维(或加权权重)的基向量,从而减少特征间的信息冗余和噪声。基于以上背景,该团队使用 PCA 来指导提出的注意力模型,并通过将 PCA 算法转换成损失设计实现。此外,由于深度网络中的不同层可以捕获不同尺度的特征图,算法使用这些特征图来构造空间金字塔,利用多尺度信息来计算每个局部通道特征更精确的注意力分数,这些权重得分用于在所有空间位置中对局部特征进行加权。

二、核心思想

 

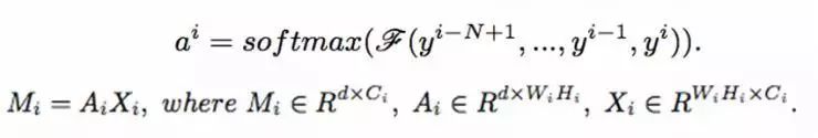
本论文定义了一个新的交互感知时空金字塔注意力层,以此实现输入在深度卷积神经网络中各个层的不同尺度局部特征的交互感知和时空特征融合的功能。它的架构如上图所示,算法首先定义了一个下采样函数 R, 将不同层的特征图统一到一个尺度。接着对不同尺度的特征图的局部通道特征使用注意力机制进行关键特征提取,通过使用融合函数对不同尺度的特征进行融合,并计算每个局部特征的注意力得分,用于加权特征。

 

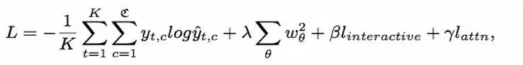
在 PCA 中使用协方差矩阵计算投影向量并依此进行降维,即提取关键的局部特征,本论文将其转化损失函数的设计加入到最终的模型中:

 

再对提出的空间金字塔注意力模型进行约束,使其不同尺度层的特征图尽量关注到不同的信息,加入分类损失得出最终的损失函数:

 

论文提出的模型参数与输入特征图的数目无关,因此,自然地将其拓展到视频级端到端训练的时空网络,最终的网络结构定义如下图:

 

三、效果

研发人员将提出的基于交互感知的时空金字塔注意力机制神经网络算法应用于美图公司的视频相关业务进行人物行为分类,效果表现优异。除此之外在公开数据集 UCF101、HMDB51 和无裁剪行为数据库 Charades 上进行了评测,也取得了领先效果,结果如下图所示 :

 

此外,该论文对视频时空输入进行了评测,评测结果显示出该模型能够同时处理任意数量的视频帧输入,并取得较好的实验结果。

上图给出了该算法在进行行为分类时的可视化输出结果,可以看出该算法能够对视频中关键的行为进行精确定位。

四、展望

实际应用中,业务场景对算法的运行时间要求较严苛。本论文在公开数据集上的结果均通过截取视频中的多帧得到,时间复杂度较高,后续会以降低算法时间复杂度为目标对核心模块进行优化。值得注意的是,本论文提出的空间金字塔注意力模型不受其输入特征图数量的限制,因此它很容易扩展到一个可以兼容任意数量的输入帧的时空版本,在应用中可以在分类准确率几乎不受影响的前提下,通过减少截帧数提升处理速度。

点击文末阅读原文查看 AI影响因子。

┏(^0^)┛欢迎分享,明天见!

登录查看更多
0

相关内容

【CVPR2020】时序分组注意力视频超分
专知会员服务
31+阅读 · 2020年7月1日
【CVPR 2020-商汤】8比特数值也能训练卷积神经网络模型
专知会员服务
26+阅读 · 2020年5月7日
CVPR2020 | 商汤-港中文等提出PV-RCNN:3D目标检测新网络
专知会员服务
45+阅读 · 2020年4月17日
【CVPR2020】图神经网络中的几何原理连接
专知会员服务
57+阅读 · 2020年4月8日
注意力图神经网络的多标签文本分类
专知会员服务
112+阅读 · 2020年3月28日
专知会员服务
100+阅读 · 2020年2月20日
【论文笔记】自注意力图池化
专知
82+阅读 · 2019年11月18日
专栏 | 深入理解图注意力机制
机器之心
25+阅读 · 2019年2月19日
自注意力机制在计算机视觉中的应用
GAN生成式对抗网络
19+阅读 · 2018年12月20日
《pyramid Attention Network for Semantic Segmentation》
统计学习与视觉计算组
44+阅读 · 2018年8月30日
【团队新作】连续情感识别,精准捕捉你的小情绪!
中国科学院自动化研究所
16+阅读 · 2018年4月17日
Arxiv
6+阅读 · 2018年3月28日
Arxiv
7+阅读 · 2018年1月24日
VIP会员
相关资讯
【论文笔记】自注意力图池化
专知
82+阅读 · 2019年11月18日
专栏 | 深入理解图注意力机制
机器之心
25+阅读 · 2019年2月19日
自注意力机制在计算机视觉中的应用
GAN生成式对抗网络
19+阅读 · 2018年12月20日
《pyramid Attention Network for Semantic Segmentation》
统计学习与视觉计算组
44+阅读 · 2018年8月30日
【团队新作】连续情感识别,精准捕捉你的小情绪!
中国科学院自动化研究所
16+阅读 · 2018年4月17日
Top
微信扫码咨询专知VIP会员