动态RCNN | 动态训练实现高质量目标检测(附源码)

2020 年 7 月 15 日 计算机视觉战队

计算机视觉研究院专栏

作者:Edison_G

今天突然看到这篇有一小段时间的文章了,技术还是很喜欢的,就拿来和大家一起分享。

深入分享之前,我先带大家回顾下之前又一个动态CNN(DCNN(dynamic CNN))的,我们就从这个技术开始,有兴趣的一起来学习!然后我们正式开始一起学习动态RCNN技术及其动态训练。

1、DCNN回顾
论文地址:https://arxiv.org/abs/1404.2188 

模型采用动态K-max pooling取出得分top-k的特征值,能处理不同长度的句子,并在句子中归纳出一个特征图,可以捕捉短和长期的关系。并且该模型不依赖解析树,适用于任何语言基。

宽卷积

一维卷积一般都用于对文本进行卷积操作,它分为宽卷积(wide convolution)和窄卷积(narrow convolution),宽卷积的输出使feature map 的宽度更宽,类似n-gram,如下图所示:

与Narrow卷积相比较,wide convolution指的是用 filter 对句子中的所有可能组合进行卷积,句子左右可以补零,从而得到比原句子长度更长的feature map,能够获得句子中词语尽可能多的不同组合。
宽卷积比窄卷积有一些优势:
  • 宽卷积可以确保过滤器中的所有权重达到整个句子,包括边缘的单词。
  • 宽卷积保证了滤波器应用到输入语句上,总会产生一个有效的非空结果c,独立于滤波器宽度m和句子长度s。
k-max pooling
k-max pooling选择了序列p中的前k个最大值,这些最大值保留原来序列的次序(实际上是原序列的一个子序列)。k-max pooling的好处在于,既提取除了句子中的较重要信息(不止一个),同时保留了它们的次序信息(相对位置)。同时,由于应用在最后的卷积层上只需要提取出k个值,所以这种方法允许不同长度的输入(输入的长度应该要大于k)。然而,对于中间的卷积层而言,池化的参数k不是固定的,而是动态选择的,以便能够平滑地提取更高阶和更长的特性。
动态k-max池化操作跟k-max pooling操作一样,只不过k值是变化的,其中k值的大小是由句子长度和网络深度两个参数决定的。具体的计算公式如下:

动态k-max池化的意义在于,从不同长度的句子中提取出相应数量的语义特征信息,以保证后续的卷积层的统一性。

DRCNN

简要:

尽管两阶段目标检测算法的模型精度持续占据着金字塔顶,但这类模型的训练过程可以得到改善。首先,动态训练的方法与模型的固定设置之间存在着不一致。如在训练过程中正负样本的分配策略以及回归损失函数形式不能随着样本总体特征的变化而变化。针对以上两点,论文提出的Dynamic R-CNN用于缓解上述问题。

背景:

不同于图像分类里的分类概念,目标检测中的分类是基于标注框进行的。即与图像分类中每幅图像都有明确的类别标签不一样,在目标检测中不存在绝对的准则判断该候选框属于正类还是负类。而在目标检测中常用的用于确定正负样本的方法是设定交并比阈值,如果先验框框与标注框的交并比在某个范围内,则认定其为正样本,否则为负样本。但在训练过程中设定固定的阈值往往不能获得最佳的结果,Cascade R-CNN的解决办法是不断加大阈值,从而不断提高候选框的质量,但这其实是一个级联的检测过程,会引入大量的计算。同时,在边界框的回归过程也存在以上问题。

不同IOU阈值的结果

Dynamic Quality in the Training Procedure:

在目标检测中正负样本的区分策略一直是人们研究的热点,直观上我们认为如果预测框与任何标注框均不相交则视为负样本,如果与某个标注框完全重叠则视为正样本,但如果其和标注框的IoU为0.5时则没有绝对的界定方法。Faster R-CNN中区分正负样本的策略如下:

Faster R-CNN中主要通过人为设定的正负样本阈值来区分,这也是现在常用的分配方案。由于分类器的目的是产生正负样本,所以不同的交并比阈值也会产生不同的分类效果。

由上表可知,不同指标的最佳结果并没有在同一设定的IoU阈值处,我们理想的结果就是通过某种方法可以在不同检测标准下均得到最佳结果。Cascade R-CNN中通过级联的方式不断增大IoU阈值,从而得到了最佳的效果,但这种方法同时也引入大量额外的计算。直观上,在训练的初始阶段,模型并不能产生大量的高质量样本,这时应设置较低的IoU阈值以获得足够数量的正样本;随着训练过程的推移,这时应该适当增加IoU阈值以获得高质量的样本来训练模型。

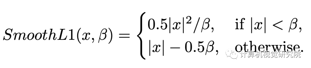
Bounding Box Regression:

其中δ是预测框相对于标注框的偏移大小,通常会将其归一化以稳定训练过程。但作者通过实验发现,随着训练的进行,回归目标的分布(即均值和和方差)在不断变化,如下图:

由上图的第一列和第二列可知,两组实验是设定的相同IoU阈值。随着训练过程的进行,模型产生更多高质量的样本,造成回归目标的均值和方差均减小。根据SmoothL1损失函数的形式,这会降低正样本在训练模型时的贡献(由于均值和方差均减小,预测的偏移也会减小即损失值减小,而此时正样本的比例是在不断变大的。即相对减小了高质量的正样本在训练过程中的贡献),从而限制了模型的整体性能。因此,有必要根据样本的分布对损失函数的形式动态地进行调整。

Dynamic R-CNN

下图展示了Cascade R-CNN的整体流程,其核心思想是基于样本的分布动态地调整分类器和回归器。首先,输入图像经由RPN产生候选区域,由于随着训练过程的迭代而产生越来越多的高质量样本,这时增大IoU阈值。如下图(a)中右边的绿色框表示正样本,随着阈值的增加正样本的数量而不断增加。文中将这个过程称之为动态样本分配,DLA。下图(b)中展示了不同β的SmoothL1损失函数的变化情况,设置不同β的即为文中提到的DSL方法。

Dynamic Label Assignment:

上面的公式就是DLA的形式,由经典Faster R-CNN中的形式得到,其中Tnow表示当前的IoU阈值。IoU的动态变化过程如下:首先计算候选框与其匹配的标注框的交并比I,然后选择第KI大的值作为当前的IoU阈值Tnow。随着训练的过程,Tnow会随着I的增大而增大。在具体实践中,首先计算批次样本中的第KI大的IoU值,然后每C个迭代使用前者的平均值更新Tnow(由于一次迭代会产生很多批次)。DLA的思路同Cascade R-CNN一致,只是选取阈值的方法有所不同。

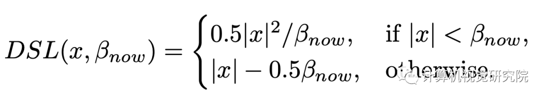
Dynamic SmoothL1 Loss:

不同参数设置下损失和梯度的变化情况

上图展示了SmoothL1损失函数的不同参数设置得到的损失和梯度变化情况。随着β值的减小,梯度更快趋于饱和,从而使较小的误差对模型的训练有更大的贡献。(这里没有理解具体为什么会采取如下措施,结合后面损失函数的形式,可以理解为随着迭代训练的进行,增大回归部分的损失而适当加快模型训练)则回归损失函数的形式如下:

具体的做法是,首先候选框与其匹配的标注框的回归损失E,然后选择第Kβ小的值作为当前β值。在具体实践中,首先计算每批次样本中的第Kβ小的损失值,然后每C个迭代使用前者的中间值更新β。最后,给出Dynamic R-CNN的总体检测流程,其中第八行和第九行分别是DLA和DSA的关键步骤。

实验

不同的基线在COCO测试集上的结果

DLA和DSL的消融实验

超参数KI的选择

总结:

论文以实验结果引入,得出在训练目标检测模型的过程中应随着样本的分布变化而动态设置分类器和回归器的结论。借鉴Cascade R-CNN中动态训练的设置,论文提出DLA在训练过程中动态改变交并比阈值以提高获取样本的质量。接着,借鉴DLA的思路,通过修改SmoothL1的参数动态调整回归器的形式,得到DSL。论文提出的方法在程序实现上并不困难,在定义分类器和回归器时分别引入一个变量即可。但是本文并没有理解文中的几个配图,是结合后续内容理解的。纵观全文,其创新性其实并不强,在ATSS中分析有框检测算法和无框就算法的异同后提出一种自适应的样本采样方法。本文可以借鉴的思路是,在训练目标检测器时应随着数据的变化而动态地改变训练的策略,文中给出了分类器和回归器两个方面。

✄-----------------------------------

如果想加入我们“ 计算机视觉研究院 ”,请扫二维码加入我们。我们会按照你的需求将你拉入对应的学习群!
计算机视觉研究院主要涉及深度学习领域,主要致力于人脸检测、人脸识别,多目标检测、目标跟踪、图像分割等研究方向。研究院接下来会不断分享最新的论文算法新框架,我们这次改革不同点就是,我们要着重” 研究 “。之后我们会针对相应领域分享实践过程,让大家真正体会 摆脱理论 的真实场景,培养爱动手编程爱动脑思考的习惯!






扫码关注我们

公众号 : 计算机视觉研究院

关注回复“DRCNN”获取源码

登录查看更多
1

相关内容

基于改进卷积神经网络的短文本分类模型
专知会员服务
26+阅读 · 2020年7月22日
【CVPR2020-港中文】 图像识别中的自注意力探索
专知会员服务
56+阅读 · 2020年4月29日
3D目标检测进展综述
专知会员服务
193+阅读 · 2020年4月24日
CVPR2020 | 商汤-港中文等提出PV-RCNN:3D目标检测新网络
专知会员服务
45+阅读 · 2020年4月17日
Transformer文本分类代码
专知会员服务
118+阅读 · 2020年2月3日
深度神经网络模型压缩与加速综述
专知会员服务
130+阅读 · 2019年10月12日
综述 | 语义分割经典网络及轻量化模型盘点
计算机视觉life
51+阅读 · 2019年7月23日
基于手机系统的实时目标检测
计算机视觉战队
8+阅读 · 2018年12月5日
【干货】使用Pytorch实现卷积神经网络
专知
13+阅读 · 2018年5月12日
Faster R-CNN
数据挖掘入门与实战
4+阅读 · 2018年4月20日
讲透RCNN, Fast-RCNN, Faster-RCNN,将CNN用于目标检测
数据挖掘入门与实战
18+阅读 · 2018年4月20日
深度学习CTPN算法的解读与tensorflow实现
北京思腾合力科技有限公司
9+阅读 · 2017年12月1日
干货 | 深度学习之卷积神经网络(CNN)的模型结构
机器学习算法与Python学习
12+阅读 · 2017年11月1日
Arxiv
6+阅读 · 2019年4月8日
Few-shot Adaptive Faster R-CNN
Arxiv
3+阅读 · 2019年3月22日
Arxiv
6+阅读 · 2018年7月9日
Arxiv
11+阅读 · 2018年4月8日
Arxiv
6+阅读 · 2018年2月6日
Arxiv
7+阅读 · 2018年1月24日
VIP会员
相关VIP内容
基于改进卷积神经网络的短文本分类模型
专知会员服务
26+阅读 · 2020年7月22日
【CVPR2020-港中文】 图像识别中的自注意力探索
专知会员服务
56+阅读 · 2020年4月29日
3D目标检测进展综述
专知会员服务
193+阅读 · 2020年4月24日
CVPR2020 | 商汤-港中文等提出PV-RCNN:3D目标检测新网络
专知会员服务
45+阅读 · 2020年4月17日
Transformer文本分类代码
专知会员服务
118+阅读 · 2020年2月3日
深度神经网络模型压缩与加速综述
专知会员服务
130+阅读 · 2019年10月12日
相关资讯
综述 | 语义分割经典网络及轻量化模型盘点
计算机视觉life
51+阅读 · 2019年7月23日
基于手机系统的实时目标检测
计算机视觉战队
8+阅读 · 2018年12月5日
【干货】使用Pytorch实现卷积神经网络
专知
13+阅读 · 2018年5月12日
Faster R-CNN
数据挖掘入门与实战
4+阅读 · 2018年4月20日
讲透RCNN, Fast-RCNN, Faster-RCNN,将CNN用于目标检测
数据挖掘入门与实战
18+阅读 · 2018年4月20日
深度学习CTPN算法的解读与tensorflow实现
北京思腾合力科技有限公司
9+阅读 · 2017年12月1日
干货 | 深度学习之卷积神经网络(CNN)的模型结构
机器学习算法与Python学习
12+阅读 · 2017年11月1日
相关论文
Arxiv
6+阅读 · 2019年4月8日
Few-shot Adaptive Faster R-CNN
Arxiv
3+阅读 · 2019年3月22日
Arxiv
6+阅读 · 2018年7月9日
Arxiv
11+阅读 · 2018年4月8日
Arxiv
6+阅读 · 2018年2月6日
Arxiv
7+阅读 · 2018年1月24日
Top
微信扫码咨询专知VIP会员