-欢迎加入AI技术专家社群>>
在应用机器学习算法时,我们通常采用梯度下降法来对采用的算法进行训练。其实,常用的梯度下降法还具体包含有三种不同的形式,它们也各自有着不同的优缺点。
下面我们以线性回归算法来对三种梯度下降法进行比较。
一般线性回归函数的假设函数为:
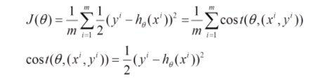
对应的能量函数(损失函数)形式为:
下图为一个二维参数(和 )组对应能量函数的可视化图:
批量梯度下降法(Batch Gradient Descent,简称BGD)是梯度下降法最原始的形式,它的具体思路是在更新每一参数时都使用所有的样本来进行更新,其数学形式如下:
(1) 对上述的能量函数求偏导:
(2) 由于是最小化风险函数,所以按照每个参数的梯度负方向来更新每个θ:
具体的伪代码形式为:
repeat{
(for every j=0, ... , n)
}
从上面公式可以注意到,它得到的是一个全局最优解,但是每迭代一步,都要用到训练集所有的数据,如果样本数目很大,那么可想而知这种方法的迭代速度!所以,这就引入了另外一种方法,随机梯度下降。
优点:全局最优解;易于并行实现;
缺点:当样本数目很多时,训练过程会很慢。
从迭代的次数上来看,BGD迭代的次数相对较少。其迭代的收敛曲线示意图可以表示如下:
由于批量梯度下降法在更新每一个参数时,都需要所有的训练样本,所以训练过程会随着样本数量的加大而变得异常的缓慢。随机梯度下降法(Stochastic Gradient Descent,简称SGD)正是为了解决批量梯度下降法这一弊端而提出的。
将上面的能量函数写为如下形式:
利用每个样本的损失函数对求偏导得到对应的梯度,来更新:
具体的伪代码形式为:
1. Randomly shuffle dataset;
2. repeat{
for i=1, ... ,{
(for j=0, ... ,)
}
}
随机梯度下降是通过每个样本来迭代更新一次,如果样本量很大的情况(例如几十万),那么可能只用其中几万条或者几千条的样本,就已经将theta迭代到最优解了,对比上面的批量梯度下降,迭代一次需要用到十几万训练样本,一次迭代不可能最优,如果迭代10次的话就需要遍历训练样本10次。但是,SGD伴随的一个问题是噪音较BGD要多,使得SGD并不是每次迭代都向着整体最优化方向。
优点:训练速度快;
缺点:准确度下降,并不是全局最优;不易于并行实现。
从迭代的次数上来看,SGD迭代的次数较多,在解空间的搜索过程看起来很盲目。其迭代的收敛曲线示意图可以表示如下:
3. 小批量梯度下降法MBGD
有上述的两种梯度下降法可以看出,其各自均有优缺点,那么能不能在两种方法的性能之间取得一个折衷呢?即,算法的训练过程比较快,而且也要保证最终参数训练的准确率,而这正是小批量梯度下降法(Mini-batch Gradient Descent,简称MBGD)的初衷。
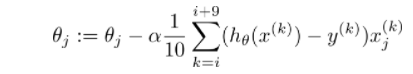
MBGD在每次更新参数时使用b个样本(b一般为10),其具体的伪代码形式为:
Say b=10, m=1000.
Repeat{
for i=1, 11, 21, 31, ... , 991{
(for every j=0, ... , n)
}
}
Batch gradient descent: Use all examples in each iteration;
Stochastic gradient descent: Use 1 example in each iteration;
Mini-batch gradient descent: Use b examples in each iteration.
原文:http://www.cnblogs.com/maybe2030/p/5089753.html
↓ 点击阅读原文,进入学院