CVPR2019 | 斯坦福学者提出GIoU,目标检测任务的新Loss

2019 年 3 月 10 日 AI100


作者 | Slumbers,毕业于中山大学,深度学习工程师,主要方向是目标检测,语义分割,GAN

责编 | Jane


本文是对 CVPR2019 论文《Generalized Intersection over Union: A Metric and A Loss for Bounding Box Regression》的解读,通过对 Loss 的修改提升检测任务的效果,觉得思路很棒。




该文作者来自斯坦福大学与澳大利亚阿德莱德大学。


IoU是检测任务中最常用的指标,由于IoU是比值的概念,对目标物体的scale是不敏感的。然而检测任务中的BBox的回归损失(MSE loss, l1-smooth loss等)优化和IoU优化不是完全等价的(见下图)。


而且 Ln 范数对物体的scale也比较敏感。这篇论文提出可以直接把IoU设为回归的loss。然而有个问题是IoU无法直接优化没有重叠的部分。为了解决这个问题这篇paper提出了GIoU的思想~



IoU与L2范数的优化不是等效的。要将IoU设计为损失,主要需要解决两个问题:


  1. 预测值和Ground truth没有重叠的话,IoU始终为0且无法优化

  2. IoU无法辨别不同方式的对齐,比如方向不一致等。


IoU 无法代表 overlap 的方式


GIoU

所以论文中提出的新 GIoU 是怎么设计的呢:


假如现在有两个任意性质 A,B,我们找到一个最小的封闭形状C,让C可以把A,B包含在内,然后我们计算C中没有覆盖A和B的面积占C总面积的比值,然后用A与B的IoU减去这个比值:


GIoU有如下性质:

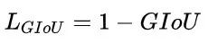
  • 与IoU类似,GIoU也可以作为一个距离,loss可以用 (下面的公式)来计算



同原始 IoU 类似,GIoU 对物体的大小不敏感。GIoU 总是小于等于 IoU,对于 IoU,有



 GIoU 则是



 在两个形状完全重合时,有



由于 GIoU 引入了包含 A,B 两个形状的 C,所以当 A,B 不重合时,依然可以进行优化。


总之就是保留了IoU的原始性质同时弱化了它的缺点。于是论文认为可以将其作为IoU的替代。

 

GIoU 作为 BBox 回归的损失


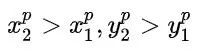
具体一点,如何计算损失呢?我们以 2D detecation 为例:

假设我们现在有预测的 Bbox 和 groud truth 的 Bbox 的坐标,分别记为:



注意我们规定对于预测的 BBox 来说,有



 主要是为了方便之后点的对应关系。



作者做了一系列的实验(针对分割任务和分类任务有一定 loss 的调整设计,不过论文中没有详细给出)结果是 IoU loss 可以轻微提升使用 MSE 作为 loss 的表现,而 GIoU 的提升幅度更大,这个结论在 YOLO 算法和 faster R-CNN 系列上都是成立的:


PASCAL VOC 2007上的提升with Yolo


MS COCO的提升with Yolo


PASCAL VOC 2007 with faster-RCNN


更多内容大家可以参考项目主页:

https://giou.stanford.edu/

代码实现:

https://github.com/generalized-iou

原文链接:

https://zhuanlan.zhihu.com/p/57992040


--【本文完】--


近期 CVPR 2019 论文解读推荐:

首发 | 旷视14篇CVPR 2019论文,都有哪些亮点?

腾讯58篇论文入选CVPR 2019,两年增长超200%

CVPR 2019审稿满分论文:中国博士提出融合CV与NLP的视觉语言导航新方法

CVPR 2019 | 惊艳的SiamMask:开源快速同时进行目标跟踪与分割算法

CVPR2019 | 微软、中科大开源基于深度高分辨表示学习的姿态估计算法


如果你也想分享自己的论文,欢迎投稿,可扫描下方二维码与营长联系:


(本文为AI科技大本营转载文章,转载请微信作者)


推荐阅读:

                         

点击“阅读原文”,查看历史精彩文章。

登录查看更多
12

相关内容

【CVPR2020-北京大学】自适应间隔损失的提升小样本学习
专知会员服务
85+阅读 · 2020年6月9日
斯坦福2020硬课《分布式算法与优化》
专知会员服务
123+阅读 · 2020年5月6日
CVPR2020 | 商汤-港中文等提出PV-RCNN:3D目标检测新网络
专知会员服务
45+阅读 · 2020年4月17日
【CVPR2020-旷视】DPGN:分布传播图网络的小样本学习
专知会员服务
28+阅读 · 2020年4月1日
FoveaBox,超越Anchor-Based的检测器
极市平台
10+阅读 · 2019年4月22日
综述 | CVPR2019目标检测方法进展
计算机视觉life
15+阅读 · 2019年4月3日
CVPR2019目标检测方法进展综述
极市平台
45+阅读 · 2019年3月20日
CVPR2019 | FSAF:来自CMU的Single-Shot目标检测算法
极市平台
41+阅读 · 2019年3月8日
Faster R-CNN
数据挖掘入门与实战
4+阅读 · 2018年4月20日
Fast R-CNN
数据挖掘入门与实战
3+阅读 · 2018年4月20日
Arxiv
5+阅读 · 2019年4月8日
Arxiv
5+阅读 · 2018年5月16日
Arxiv
8+阅读 · 2018年1月12日
VIP会员
相关资讯
FoveaBox,超越Anchor-Based的检测器
极市平台
10+阅读 · 2019年4月22日
综述 | CVPR2019目标检测方法进展
计算机视觉life
15+阅读 · 2019年4月3日
CVPR2019目标检测方法进展综述
极市平台
45+阅读 · 2019年3月20日
CVPR2019 | FSAF:来自CMU的Single-Shot目标检测算法
极市平台
41+阅读 · 2019年3月8日
Faster R-CNN
数据挖掘入门与实战
4+阅读 · 2018年4月20日
Fast R-CNN
数据挖掘入门与实战
3+阅读 · 2018年4月20日
Top
微信扫码咨询专知VIP会员