小白都能看懂的神经网络教程:从原理到优化如此简单

2019 年 3 月 15 日 量子位
晓查 发自 凹非寺 
量子位 报道 | 公众号 QbitAI

“我在网上看到过很多神经网络的实现方法,但这一篇是最简单、最清晰的。”

一位来自普林斯顿的华人小哥Victor Zhou,写了篇神经网络入门教程,在线代码网站Repl.it联合创始人Amjad Masad看完以后,给予如是评价。

这篇教程发布仅天时间,就在Hacker News论坛上收获了574赞。程序员们纷纷夸赞这篇文章的代码写得很好,变量名很规范,让人一目了然。

下面就让我们一起从零开始学习神经网络吧。

实现方法

搭建基本模块——神经元

在说神经网络之前,我们讨论一下神经元(Neurons),它是神经网络的基本单元。神经元先获得输入,然后执行某些数学运算后,再产生一个输出。比如一个2输入神经元的例子:

在这个神经元中,输入总共经历了3步数学运算,

先将两个输入乘以权重(weight):

x1x1 × w1
x2→x2 × w2

把两个结果想加,再加上一个偏置(bias):

x1 × w1)+(x2 × w2)+ b

最后将它们经过激活函数(activation function)处理得到输出:

y = f(x1 × wx2 × w+ b)

激活函数的作用是将无限制的输入转换为可预测形式的输出。一种常用的激活函数是sigmoid函数:

sigmoid函数的输出介于0和1,我们可以理解为它把 (−∞,+∞) 范围内的数压缩到 (0, 1)以内。正值越大输出越接近1,负向数值越大输出越接近0。

举个例子,上面神经元里的权重和偏置取如下数值:

w=[0,1]
b = 4

w=[0,1]是w1=0、w2=1的向量形式写法。给神经元一个输入x=[2,3],可以用向量点积的形式把神经元的输出计算出来:

w·x+b =x1 × w1)+(x2 × w2)+ b = 0×2+1×3+4=7
y=f(w⋅X+b)=f(7)=0.999

以上步骤的Python代码是:

import numpy as np

def sigmoid(x):
  # Our activation function: f(x) = 1 / (1 + e^(-x))
  return 1 / (1 + np.exp(-x))

class Neuron:
  def __init__(self, weights, bias):
    self.weights = weights
    self.bias = bias

  def feedforward(self, inputs):
    # Weight inputs, add bias, then use the activation function
    total = np.dot(self.weights, inputs) + self.bias
    return sigmoid(total)

weights = np.array([01]) # w1 = 0, w2 = 1
bias = 4                   # b = 4
n = Neuron(weights, bias)

x = np.array([23])       # x1 = 2, x2 = 3
print(n.feedforward(x))    # 0.9990889488055994

我们在代码中调用了一个强大的Python数学函数库NumPy

搭建神经网络

神经网络就是把一堆神经元连接在一起,下面是一个神经网络的简单举例:

这个网络有2个输入、一个包含2个神经元的隐藏层(h1h2)、包含1个神经元的输出层o1

隐藏层是夹在输入输入层和输出层之间的部分,一个神经网络可以有多个隐藏层。

把神经元的输入向前传递获得输出的过程称为前馈(feedforward)。

我们假设上面的网络里所有神经元都具有相同的权重w=[0,1]和偏置b=0,激活函数都是sigmoid,那么我们会得到什么输出呢?

h1=h2=f(w⋅x+b)=f((0×2)+(1×3)+0)
=f(3)
=0.9526

o1=f(w⋅[h1,h2]+b)=f((0∗h1)+(1∗h2)+0)
=f(0.9526)
=0.7216

以下是实现代码:

import numpy as np

# ... code from previous section here

class OurNeuralNetwork:
  '''
  A neural network with:
    - 2 inputs
    - a hidden layer with 2 neurons (h1, h2)
    - an output layer with 1 neuron (o1)
  Each neuron has the same weights and bias:
    - w = [0, 1]
    - b = 0
  '''

  def __init__(self):
    weights = np.array([01])
    bias = 0

    # The Neuron class here is from the previous section
    self.h1 = Neuron(weights, bias)
    self.h2 = Neuron(weights, bias)
    self.o1 = Neuron(weights, bias)

  def feedforward(self, x):
    out_h1 = self.h1.feedforward(x)
    out_h2 = self.h2.feedforward(x)

    # The inputs for o1 are the outputs from h1 and h2
    out_o1 = self.o1.feedforward(np.array([out_h1, out_h2]))

    return out_o1

network = OurNeuralNetwork()
x = np.array([23])
print(network.feedforward(x)) # 0.7216325609518421

训练神经网络

现在我们已经学会了如何搭建神经网络,现在我们来学习如何训练它,其实这就是一个优化的过程。

假设有一个数据集,包含4个人的身高、体重和性别:

现在我们的目标是训练一个网络,根据体重和身高来推测某人的性别。

为了简便起见,我们将每个人的身高、体重减去一个固定数值,把性别男定义为1、性别女定义为0。

在训练神经网络之前,我们需要有一个标准定义它到底好不好,以便我们进行改进,这就是损失(loss)。

比如用均方误差(MSE)来定义损失:

n是样本的数量,在上面的数据集中是4;
y代表人的性别,男性是1,女性是0;
ytrue是变量的真实值,ypred是变量的预测值。

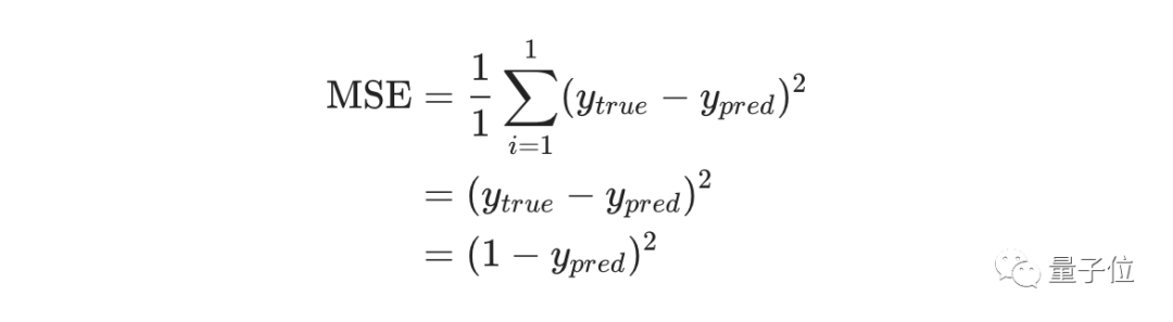
顾名思义,均方误差就是所有数据方差的平均值,我们不妨就把它定义为损失函数。预测结果越好,损失就越低,训练神经网络就是将损失最小化。

如果上面网络的输出一直是0,也就是预测所有人都是男性,那么损失是:

MSE= 1/4 (1+0+0+1)= 0.5

计算损失函数的代码如下:

import numpy as np

def mse_loss(y_true, y_pred):
  # y_true and y_pred are numpy arrays of the same length.
  return ((y_true - y_pred) ** 2).mean()

y_true = np.array([1001])
y_pred = np.array([0000])

print(mse_loss(y_true, y_pred)) # 0.5

减少神经网络损失

这个神经网络不够好,还要不断优化,尽量减少损失。我们知道,改变网络的权重和偏置可以影响预测值,但我们应该怎么做呢?

为了简单起见,我们把数据集缩减到只包含Alice一个人的数据。于是损失函数就剩下Alice一个人的方差:

预测值是由一系列网络权重和偏置计算出来的:

所以损失函数实际上是包含多个权重、偏置的多元函数:

(注意!前方高能!需要你有一些基本的多元函数微分知识,比如偏导数、链式求导法则。)

如果调整一下w1,损失函数是会变大还是变小?我们需要知道偏导数∂L/∂w1是正是负才能回答这个问题。

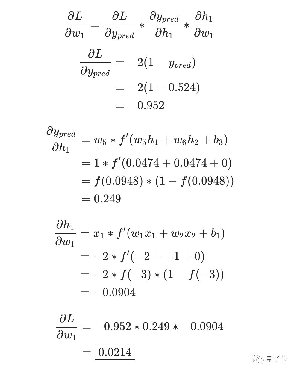
根据链式求导法则:

而L=(1-ypred)2,可以求得第一项偏导数:

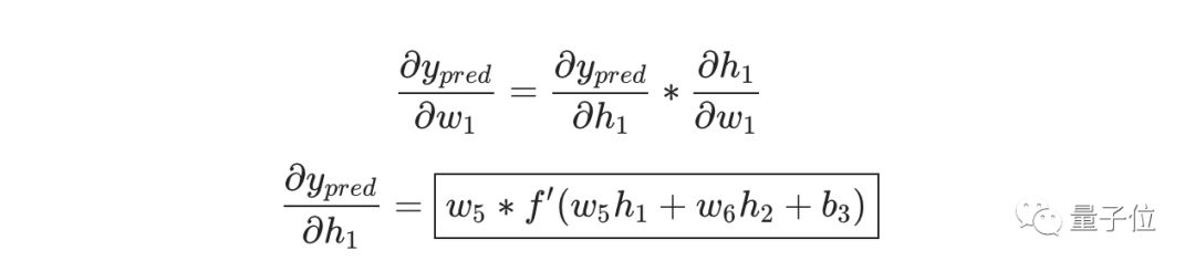
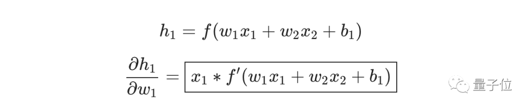
接下来我们要想办法获得ypred和w1的关系,我们已经知道神经元h1h2o1的数学运算规则:

实际上只有神经元h1中包含权重w1,所以我们再次运用链式求导法则:

然后求∂h1/∂w1

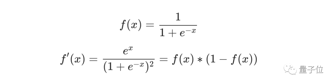
我们在上面的计算中遇到了2次激活函数sigmoid的导数f′(x),sigmoid函数的导数很容易求得:

总的链式求导公式:

这种向后计算偏导数的系统称为反向传播(backpropagation)。

上面的数学符号太多,下面我们带入实际数值来计算一下。h1h2o1

h1=f(x1w1+x2w2+b1)=0.0474

h2=f(w3⋅x3+w4x4+b2)=0.0474

o1=f(w5h1+w6h2+b3)=f(0.0474+0.0474+0)=f(0.0948)=0.524

神经网络的输出y=0.524,没有显示出强烈的是男(1)是女(0)的证据。现在的预测效果还很不好。

我们再计算一下当前网络的偏导数∂L/∂w1

这个结果告诉我们:如果增大w1,损失函数L会有一个非常小的增长。

随机梯度下降

下面将使用一种称为随机梯度下降(SGD)的优化算法,来训练网络。

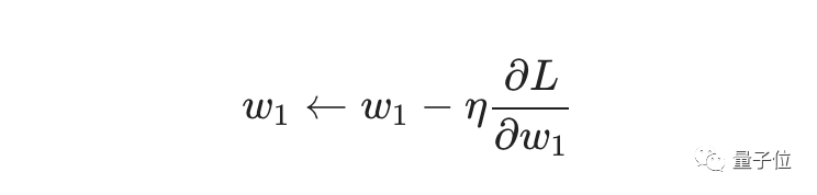
经过前面的运算,我们已经有了训练神经网络所有数据。但是该如何操作?SGD定义了改变权重和偏置的方法:

η是一个常数,称为学习率(learning rate),它决定了我们训练网络速率的快慢。将w1减去η·∂L/∂w1,就等到了新的权重w1

当∂L/∂w1是正数时,w1会变小;当∂L/∂w1是负数 时,w1会变大。

如果我们用这种方法去逐步改变网络的权重w和偏置b,损失函数会缓慢地降低,从而改进我们的神经网络。

训练流程如下:

1、从数据集中选择一个样本;
2、计算损失函数对所有权重和偏置的偏导数;
3、使用更新公式更新每个权重和偏置;
4、回到第1步。

我们用Python代码实现这个过程:

import numpy as np

def sigmoid(x):
  # Sigmoid activation function: f(x) = 1 / (1 + e^(-x))
  return 1 / (1 + np.exp(-x))

def deriv_sigmoid(x):
  # Derivative of sigmoid: f'(x) = f(x) * (1 - f(x))
  fx = sigmoid(x)
  return fx * (1 - fx)

def mse_loss(y_true, y_pred):
  # y_true and y_pred are numpy arrays of the same length.
  return ((y_true - y_pred) ** 2).mean()

class OurNeuralNetwork:
  '''
  A neural network with:
    - 2 inputs
    - a hidden layer with 2 neurons (h1, h2)
    - an output layer with 1 neuron (o1)

  *** DISCLAIMER ***:
  The code below is intended to be simple and educational, NOT optimal.
  Real neural net code looks nothing like this. DO NOT use this code.
  Instead, read/run it to understand how this specific network works.
  '''

  def __init__(self):
    # Weights
    self.w1 = np.random.normal()
    self.w2 = np.random.normal()
    self.w3 = np.random.normal()
    self.w4 = np.random.normal()
    self.w5 = np.random.normal()
    self.w6 = np.random.normal()

    # Biases
    self.b1 = np.random.normal()
    self.b2 = np.random.normal()
    self.b3 = np.random.normal()

  def feedforward(self, x):
    # x is a numpy array with 2 elements.
    h1 = sigmoid(self.w1 * x[0] + self.w2 * x[1] + self.b1)
    h2 = sigmoid(self.w3 * x[0] + self.w4 * x[1] + self.b2)
    o1 = sigmoid(self.w5 * h1 + self.w6 * h2 + self.b3)
    return o1

  def train(self, data, all_y_trues):
    '''
    - data is a (n x 2) numpy array, n = # of samples in the dataset.
    - all_y_trues is a numpy array with n elements.
      Elements in all_y_trues correspond to those in data.
    '''

    learn_rate = 0.1
    epochs = 1000 # number of times to loop through the entire dataset

    for epoch in range(epochs):
      for x, y_true in zip(data, all_y_trues):
        # --- Do a feedforward (we'll need these values later)
        sum_h1 = self.w1 * x[0] + self.w2 * x[1] + self.b1
        h1 = sigmoid(sum_h1)

        sum_h2 = self.w3 * x[0] + self.w4 * x[1] + self.b2
        h2 = sigmoid(sum_h2)

        sum_o1 = self.w5 * h1 + self.w6 * h2 + self.b3
        o1 = sigmoid(sum_o1)
        y_pred = o1

        # --- Calculate partial derivatives.
        # --- Naming: d_L_d_w1 represents "partial L / partial w1"
        d_L_d_ypred = -2 * (y_true - y_pred)

        # Neuron o1
        d_ypred_d_w5 = h1 * deriv_sigmoid(sum_o1)
        d_ypred_d_w6 = h2 * deriv_sigmoid(sum_o1)
        d_ypred_d_b3 = deriv_sigmoid(sum_o1)

        d_ypred_d_h1 = self.w5 * deriv_sigmoid(sum_o1)
        d_ypred_d_h2 = self.w6 * deriv_sigmoid(sum_o1)

        # Neuron h1
        d_h1_d_w1 = x[0] * deriv_sigmoid(sum_h1)
        d_h1_d_w2 = x[1] * deriv_sigmoid(sum_h1)
        d_h1_d_b1 = deriv_sigmoid(sum_h1)

        # Neuron h2
        d_h2_d_w3 = x[0] * deriv_sigmoid(sum_h2)
        d_h2_d_w4 = x[1] * deriv_sigmoid(sum_h2)
        d_h2_d_b2 = deriv_sigmoid(sum_h2)

        # --- Update weights and biases
        # Neuron h1
        self.w1 -= learn_rate * d_L_d_ypred * d_ypred_d_h1 * d_h1_d_w1
        self.w2 -= learn_rate * d_L_d_ypred * d_ypred_d_h1 * d_h1_d_w2
        self.b1 -= learn_rate * d_L_d_ypred * d_ypred_d_h1 * d_h1_d_b1

        # Neuron h2
        self.w3 -= learn_rate * d_L_d_ypred * d_ypred_d_h2 * d_h2_d_w3
        self.w4 -= learn_rate * d_L_d_ypred * d_ypred_d_h2 * d_h2_d_w4
        self.b2 -= learn_rate * d_L_d_ypred * d_ypred_d_h2 * d_h2_d_b2

        # Neuron o1
        self.w5 -= learn_rate * d_L_d_ypred * d_ypred_d_w5
        self.w6 -= learn_rate * d_L_d_ypred * d_ypred_d_w6
        self.b3 -= learn_rate * d_L_d_ypred * d_ypred_d_b3

      # --- Calculate total loss at the end of each epoch
      if epoch % 10 == 0:
        y_preds = np.apply_along_axis(self.feedforward, 1, data)
        loss = mse_loss(all_y_trues, y_preds)
        print("Epoch %d loss: %.3f" % (epoch, loss))

# Define dataset
data = np.array([
  [-2-1],  # Alice
  [256],   # Bob
  [174],   # Charlie
  [-15-6], # Diana
])
all_y_trues = np.array([
  1# Alice
  0# Bob
  0# Charlie
  1# Diana
])

# Train our neural network!
network = OurNeuralNetwork()
network.train(data, all_y_trues)

随着学习过程的进行,损失函数逐渐减小。

现在我们可以用它来推测出每个人的性别了:

# Make some predictions
emily = np.array([-7-3]) # 128 pounds, 63 inches
frank = np.array([202])  # 155 pounds, 68 inches
print("Emily: %.3f" % network.feedforward(emily)) # 0.951 - F
print("Frank: %.3f" % network.feedforward(frank)) # 0.039 - M

更多

这篇教程只是万里长征第一步,后面还有很多知识需要学习:

1、用更大更好的机器学习库搭建神经网络,如Tensorflow、Keras、PyTorch
2、在浏览器中的直观理解神经网络:https://playground.tensorflow.org/
3、学习sigmoid以外的其他激活函数:https://keras.io/activations/
4、学习SGD以外的其他优化器:https://keras.io/optimizers/
5、学习卷积神经网络(CNN)
6、学习递归神经网络(RNN)

这些都是Victor给自己挖的“坑”。他表示自己未来“可能”会写这些主题内容,希望他能陆续把这些坑填完。如果你想入门神经网络,不妨去订阅他的博客。

关于这位小哥

Victor Zhou是普林斯顿2019级CS毕业生,已经拿到Facebook软件工程师的offer,今年8月入职。他曾经做过JS编译器,还做过两款页游,一个仇恨攻击言论的识别库。

最后附上小哥的博客链接:
https://victorzhou.com/



订阅AI内参,获取行业资讯

诚挚招聘

量子位正在招募编辑/记者,工作地点在北京中关村。期待有才气、有热情的同学加入我们!相关细节,请在量子位公众号(QbitAI)对话界面,回复“招聘”两个字。

量子位 QbitAI · 头条号签约作者

վ'ᴗ' ի 追踪AI技术和产品新动态

喜欢就点「好看」吧 !



登录查看更多
7

相关内容

一份简明有趣的Python学习教程,42页pdf
专知会员服务
77+阅读 · 2020年6月22日
最新《自动微分手册》77页pdf
专知会员服务
103+阅读 · 2020年6月6日
一份循环神经网络RNNs简明教程,37页ppt
专知会员服务
173+阅读 · 2020年5月6日
【干货书】机器学习Python实战教程,366页pdf
专知会员服务
346+阅读 · 2020年3月17日
深度强化学习策略梯度教程,53页ppt
专知会员服务
184+阅读 · 2020年2月1日
【新书】Python编程基础,669页pdf
专知会员服务
197+阅读 · 2019年10月10日
100行Python代码,轻松搞定神经网络
大数据文摘
4+阅读 · 2019年5月2日
深度学习入门必须理解这25个概念
AI100
7+阅读 · 2018年6月6日
基于Numpy实现神经网络:反向传播
论智
5+阅读 · 2018年3月21日
入门 | 一文看懂卷积神经网络
机器之心
5+阅读 · 2018年2月20日
如何简单形象又有趣地讲解神经网络是什么?
算法与数据结构
5+阅读 · 2018年1月5日
小白都能看懂的神经网络入门,快收下吧~
码农翻身
3+阅读 · 2018年1月4日
算法优化|梯度下降和随机梯度下降 — 从0开始
全球人工智能
8+阅读 · 2017年12月25日
Meta-Learning to Cluster
Arxiv
17+阅读 · 2019年10月30日
Seeing What a GAN Cannot Generate
Arxiv
8+阅读 · 2019年10月24日
Arxiv
3+阅读 · 2018年4月18日
Arxiv
27+阅读 · 2017年12月6日
VIP会员
相关VIP内容
一份简明有趣的Python学习教程,42页pdf
专知会员服务
77+阅读 · 2020年6月22日
最新《自动微分手册》77页pdf
专知会员服务
103+阅读 · 2020年6月6日
一份循环神经网络RNNs简明教程,37页ppt
专知会员服务
173+阅读 · 2020年5月6日
【干货书】机器学习Python实战教程,366页pdf
专知会员服务
346+阅读 · 2020年3月17日
深度强化学习策略梯度教程,53页ppt
专知会员服务
184+阅读 · 2020年2月1日
【新书】Python编程基础,669页pdf
专知会员服务
197+阅读 · 2019年10月10日
相关资讯
100行Python代码,轻松搞定神经网络
大数据文摘
4+阅读 · 2019年5月2日
深度学习入门必须理解这25个概念
AI100
7+阅读 · 2018年6月6日
基于Numpy实现神经网络:反向传播
论智
5+阅读 · 2018年3月21日
入门 | 一文看懂卷积神经网络
机器之心
5+阅读 · 2018年2月20日
如何简单形象又有趣地讲解神经网络是什么?
算法与数据结构
5+阅读 · 2018年1月5日
小白都能看懂的神经网络入门,快收下吧~
码农翻身
3+阅读 · 2018年1月4日
算法优化|梯度下降和随机梯度下降 — 从0开始
全球人工智能
8+阅读 · 2017年12月25日
Top
微信扫码咨询专知VIP会员