EM算法是炼金术吗?

2017 年 12 月 22 日 新智元





  新智元专栏  

作者:鲁晨光


【新智元导读】本文作者解释了EM算法的基本思想和收敛证明存在的问题。作者认为,EM算法虽然在理论上有问题,但是确实炼出金子了。可以说,EM算法正在从“炼金术”向“冶金术”过渡,正视已有问题,寻找更简洁更有说服力理论,可以使“炼金术”成为可靠的“冶金”工具。



人工智能很火,人工智能大神很火。大神们的神器是什么?有人说找到了,就是EM算法。 请看这篇:


EM算法的九层境界:Hinton和Jordan理解的EM算法


但是最近网上引人关注的另一传闻是,一位人工智能论文获奖者在获奖感言中说深度学习方法是炼金术,从而引起大神家族成员反驳。报道见:NIPS机器学习炼金术之争


看到上面两篇,使我想到:EM算法是炼金术吗?


我近两年碰巧在研究用以改进EM算法的新算法:http://survivor99.com/lcg/CM/Recent.html,对EM算法存在的问题比较清楚。我的初步结论是:EM算法虽然在理论上有问题,但是确实炼出金子了。反过来也可以说,虽然EM算法练出金子了,但是收敛很不可靠,流行的解释EM算法的收敛理由更是似是而非。有人使之神秘化,使得它是有炼金术之嫌。论据何在?下面我首先以混合模型为例,简单介绍EM算法,并证明流行的EM算法收敛证明是错的(没说算法是错的)。


假设n个高斯分布函数是:

P(X|θj)=Kexp[-(X-cj)2/(2dj2)],j=1,2,…,n


其中K是系数,cj是中心,dj是标准差。假设一个数据分布P(X)是两个高斯分布的混合

P(X)=P*(y1)P(X|θ*1)+P(y2)P(X|θ*2)


其中P*(y1)P*(y2)是真的混合比例,θ*1θ*2表示真的模型参数。我们只知道模型是高斯分布且n=2。现在我们猜测5个参数P(y1),c1c2d1d2。不是6个参数,是因为p(y2)=1-P(y1)。根据猜测得到的分布是

Q(X)=P(y1)P(X|θ1)+P(y2)P(X|θ2)


如果Q(X)非常接近P(X),相对熵或 Kullback-leibler 距离

H(Q||P)=∑iP(xi)log[P(xi)/P(xi)]


就接近0,比如小于0.001比特,那么就算我们猜对了。参看下图:

 


 

混合模型问题之所以重要,是因为它是限制分布类型而不是分布范围的模糊聚类,是无监督学习的一个典型。


EM算法起源于这篇文章:Dempster, A.P., Laird,  N.M., Rubin,D. B.: Maximum Likelihood from Incomplete Datavia the EM Algorithm. Journal of the Royal Statistical Society, Series B39, 1–38(1977)。通过这个网站http://www.sciencedirect.com/搜索可见,光是标题有EM算法的英文文章就有6.8万篇(有似然度的文章将近76万篇),可见研究和应用EM算法的人何其多。


Wiki百科上的EM算法介绍见这里:

https://en.wikipedia.org/wiki/Expectation%E2%80%93maximization_algorithm


一篇中文介绍见这里:

http://www.cnblogs.com/mindpuzzle/archive/2013/04/05/2998746.html


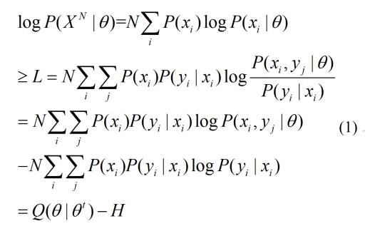
EM算法的基本思想是:


目的是改变预测模型参数求似然度logP(XN)或logP(X)达最大(N表示有N个样本点,黑体X表示矢量),样本和θ之间的似然度就是负的预测熵(或交叉熵,广义熵的一种):

Hθ’(X)=∑iP(xi)logP(xi)


其中P(xi)就是上面的曲线Q(X)上的一个点(X是变量,xi是常量),即P(xi)=Q(xi)。我们用X的概率分布P(X)取代X序列。则EM算法的基本公式如下(下面y就是wiki百科中的z):

其中θt表示M步优化前的θ。这里的Q和上面的Q(X)中的Q含义不同,下面我们用Q(.)表示这里的Q(θ|θt)


从语义信息论(http://survivor99.com/lcg/books/GIT/)看,我们可以得到

[Q(θ|θt)-H]/N=Hθ’(XY)-Hθ’(Y|X)=-Hθ(XY)+Hθ(Y|X)


右边是两个负的广义熵或负的交叉熵,和参数有关。为了讨论方便,后面忽略左边的N。

EM算法分两步:


E-step:写出预测的yj的条件概率


M-step:最大化Q(θ|θt),也就是最大化负的联合熵Hθ’(XY),或最小化联合交叉熵Hθ(XY)。


为什么这样能收敛呢?wiki百科这样说:

  1. Expectation-maximization works to improve Q(θ|θt) rather than directly improving log(X|θ). Here is shown that improvements to the former imply improvements to the latter.[13]


这就是说,只要Q(.)达最大,log(X|θ)就达到最大。


2)M-step可以增大Q(.),E-step也不减少Q(.),所以反复迭代就能收敛。

这篇证明文章比较出名:Wu, C.F.J.: On the Convergence Properties of the EM Algorithm. Annals of Statistics11, 95–10(1983)。


这等于说,真模型在山顶上,爬山人每一步只上不下就能到达山顶。M步只上,E步不下,所以能到达山顶。


但是,使用EM算法时,往往在预测分布P(X|θ)和实际分布P(X)不重合就停下来了。流行的解释是:那叫局部收敛(其实就是收错了地方);因为大山周围有一些小山,出发点不对就上到小山顶上了。所以起始点很重要。于是有人专门研究如何通过测试找到较好的出发点,比如随机选多点测试看哪个好。

EM有时虽然能收敛,但是常常收敛很慢。为了提高速度,于是又有很多人提出很多改进办法。其中比较出名的一个就是上面《九层境界》中提到的VBEM算法(详见Neal, R.,Hinton, G.: A view of the EM algorithm that justifies incremental, sparse, and other variants. in: Michael I. Jordan(ed.) Learning in Graphical Models,pp355–368. MITPress,Cambridge,MA(1999)),就是用

F(θq)=Q(θ|θt)+H(Y)


取代Q(θ|θt)(上面忽略了系数N),不断最大化F(θq)(q=P(Y))。在M步最大化F(.),在E步也最大化F(.)。据说这样收敛更快。但是VBEM的收敛证明是不是一样有问题呢?我的结论是:算法好一些,但是收敛证明问题还是存在。


首先我们看EM算法(包括VBEM算法)的收敛证明错在哪里。


在Shannon信息论中有公式:

H(XY)=H(X)+H(Y|X)


由于引进似然函数,Shannon熵变成预测熵或交叉熵,但是基本关系还是成立

Hθ(XY)=Hθ(X)+Hθ(Y|X)=-logP(X)+Hθ(Y|X)


写成负熵的形式是:

H’θ(XY)=logP(X|θ)+H’θ(Y|X)


后面这一项Hθ(Y|X)和Y的熵有关,P(y1)=P(y2)=0.5的时候H(Y)最大,负熵就最小,H’θ(Y|X)也比较小。如果真的比例P*(Y)是接近等概率的,起步时P(y1)=0.1,P(y2)=0.9,Y的负熵较大,我们不断最大化H’θ(XY),就会阻止P(Y)向真比例P*(Y)靠近。这是EM算法收敛慢甚至不收敛的一个原因。这也是为什么VBEM方法要用F(.)取代Q(.)。上式两边加上H(Y)以后就有

H’θ(XY)+H(Y)=logP(X|θ)+H’θ(Y|X)+H(Y)

H(Y)-Hθ(XY)=-Hθ(X)+H(Y)-Hθ(Y|X)


近似得到(后面解释近似):

-Hθ(X|Y)=-Hθ(X)+Iθ(X;Y)


也就是

F(θq)=-Hθ(X|Y)=-Hθ(X)+Iθ(X;Y)(3)


可见,F(θ,q)就是负的后验熵。两边加上P(X),左边就是预测互信息或语义互信息(我早在1993年的《广义信息论》一书中就提出):

F(θq)+H(X)=H(X)-Hθ(X|Y)=I(X;ϴ)(4)


从上面两个公式可以得到

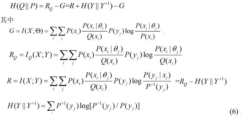
H(Q||P)=H(X|θ)-H(X)=Iθ(X;Y)-I(X;ϴ)(5)


我们可以粗略理解,相对熵=Shannon互信息-预测互信息。后面我们将介绍这个公式的更加严格形式。


因为H(X)和模型无关,最大化F(.)就是最大化预测互信息,避免误改P(Y)。这样就好理解为什么VBEM比EM好。


但是,F(θ,q)最大化和logP(X|θ)最大化是否总是一致的?结论是否定的。证明很简单:


假设有一个真模型θ*和子模型比例P*(Y),它们产生P(X)。同时相应的Shannon联合熵是H*(X,Y),X的后验熵是H*(X|Y),互信息是I*(X;Y)。那么改变X和Y的概率分布,上面三个量都会变。


我们猜测的时候,如果联合概率分布P(Y,X|θ)P*(X,Y)更加集中,负熵log(XY|θ)=Hθ(XY)就会大于真模型的负熵-H*(X,Y),继续增大H’θ(XY)就会南辕北辙。


比如,下图例子中,第一轮优化参数前就可能有H’θ(XY)>-H*(XY)。它对于EM算法收敛证明来说就是反例。图中R=I(X;Y),R*=I*(X;Y)。其中真实的Q*(.)和互信息I*(X;Y)比较小。

 


这个例子中迭代用的是信道匹配算法,和VBEM算法比,主要差别是,在E步把继续增大F(.)改为调整P(Y)。其中红线就是EM算法中Q(θ|θt)的变化轨迹,第一个E步之后,Q(.)就大于真模型的Q*(.)。如果起始参数是随机的,那么它可能导致Q(.)出现在红线的任何位置,从而大于Q*(.)。


F(.)有类似情况,它和预测互信息(图示是G)走势完全一致,在每个E步是下降的。原来影响交叉熵有三个因素:

1)预测的分布和样本的分布是否符合,如果更符合,负熵Q(.)和F(.)就更大;

2)X和Y的分布是否集中,如果更集中负熵就更大;

3)X和Y是否相关,如果更相关负熵就更大。


流行的收敛证明只考虑了第一条。


到此有人会问,如果终点不在山顶上,起点很可能高于终点,那么为什么EM算法在大多数情况下是收敛的?


回答是:EM算法收敛证明中第二条,Q(.)只增不减也错了!原来在E步,Q(.)和F(.)是可能减小的!一般情况下都会使Q(.)向真模型的Q*=-H*(X,Y)靠拢,使F(.)向-H*(X|Y)靠拢。如果调整P(Y),收敛就更加可靠,EM算法就变为CM算法。


下面提供CM算法的粗略数学证明。


先看为什么需要调整P(Y)。在E步的公式(2)(计算Shannon信道的公式)中,P(yj|X)和P(X)及四个参数可能不匹配,导致

 


那样,上面计算出的Shannon信道就是一个不称职的Shannon信道。调整方法很简单,就是不断用左边的P+1(yj)代替右边的P(yj),直到两者相等。


下面介绍用信道匹配算法(CM算法)用到的公式:



上面第一行公式就是公式(5)的更加严格形式。其中用到子模型θjP(X|θj) 就等于前面方法中的P(X|yjθ)。RQ就近似于前面方法中Iθ(X;Y)。为什么说近似呢,因为这里用到Y的广义熵或交叉熵 H(Y+1)=-∑jP+1(yj)logP(yj) 和相对熵H(Y+1||Y)。联合熵减去这个熵才是预测后验熵。而在VBEM方法中,增加的H(Y)是Shannon熵。


有了上面公式(6),我们就可以采用下面三步减小相对熵H(Q||P)——保证每一步都是减小的:

I:写出Shannon信道表达式,等于EM算法中的E步;

II:调整P(Y),使得P(Y+1)=P(Y);如果H(Q||P)<0.001,结束。

III:改变参数最大化语义互信息G。转到I。


详细讨论见这里:http://survivor99.com/lcg/CM.html


如果EM算法在M步先调整P(Y),固定P(Y)再优化参数,EM算法就和CM算法相同。如果在VBEM算法中添加的H(Y)改为交叉熵,E步调整P(Y)而不是最大化F(.),VBEM算法就和CM算法相同。


从语义互信息公式看


迭代就是轮流改变log左边(I和II)和右边(III)。改变右边是语义信道匹配Shannon信道,改变左边是Shannon信道匹配语义信道。所以该算法叫信道匹配(Channels’Matching)算法或CM算法(保留EM中的M)。我们也可以说CM算法是EM算法的改进版本。但是基本思想是不同的。CM算法也没用到Jensen不等式。


为什么CM算法会使Q(X)会收敛到P(X)呢?相对熵会不会表现为很多山洼,有高有低,我们不巧,落到一个较高的山洼里呢?


这要从Shannon的信息率失真理论谈起。Shannon在1948年发表经典文章《通信的数学理论之》,11年之后,他提出信息率失真函数R(D)——就是给定平均损失上限D求互信息I(X;Y)最小值R(D)。我在1993年的《广义信息论》中把它改造为R(G)函数。G是广义互信息或语义互信息(也就是平均log标准似然度)的下限。R(G)是给定G时的Shannon互信息I(X;Y)的最小值。可以证明,所有R(G)函数都是碗状的。R(D)函数像是半个碗,也是凹的。证明G是碗状的很简单,因为R(D)函数处处是凹的(已有结论),R(G)函数是它的自然扩展,也是处处是凹的。



进一步结论:R(G)-G也是处处是凹的。所以山洼只有一个。求相对熵最小,就是求R(G)-G最小,就是找R=G的点,也就是上图中45度斜线和碗状曲线相切的点。


像E步那样,用公式(2)求Shannon信道,并调整P(Y),就能得到R(G)。原来求信息率失真函数也用到迭代算法,也用到和公式(2)类似的公式。EM和VBEM算法之所以慢,除了因为没有调整P(Y),还和指导思想有关。因为认为增大负熵就能达到目的,所以设置初始参数时就想把负熵弄得小一点,比如把两个标准差d1和d2设得大一点,防止漏掉真模型。但是在计算试验中我发现,有时候选择较小的偏差,收敛反而更快。从文献数字和我的计算实验看,CM算法迭代5次收敛比较常见,而EM算法(包括改进的)达到收敛的迭代次数大多超过10次。


诚然,CM算法也不是完美无缺的。在少数极端情况下(比如两个分布重叠较多,两个分量比例相差较大时),初始值选择不当收敛也很慢。结合已有的EM算法研究中关于初始参数的研究成果,应该还能改进。


我上面只是证明了流行的EM算法收敛证明是错的,是否还有其他对的证明?我不能肯定。北大的马尽文教授是EM算法专家,做过很多推广和应用。他说有,我很期待。我以为如果有,可能和我的证明异途同归。我和VBEM的第一作者Neal教授通过信,他说要是E步减小Q(.)或F(.),那就太震动了。看来他一直相信流行的负熵只增不减证明。


现在回到“炼金术”话题。


实际上,把深度学习和炼金术联系起来的AliRahimi教授演讲标题是:

《从“炼金术”到“电力”的机器学习》,他并没有否定深度学习,只是说要加强理论研究,也不排除先有实践再有理论。


根据上面分析,可以说EM算法正在从“炼金术”向“冶金术”过渡。如过它在理论上停滞不前,如果我们把它神话,它就真像是炼金术了。反之,正视已有问题,寻找更简洁更有说服力理论,才能使“炼金术”成为可靠“冶金”工具。


作者简介:

鲁晨光,男,南京航空航天大学毕业(77级). 当过长沙市青年学术带头人,赴加拿访问学者,北师大数学系访问学者(汪培庄教授指导)…研究兴趣是:语义信息论,统计学习,色觉的数学和哲学, 美学和进化论,投资组合。专著有:《广义信息论》,《投资组合的熵理论和信息价值》,《色觉奥妙和哲学基本问题》,《美感奥妙和需求进化》。于《光学学报》,《机器人》,《通信学报》,《现代哲学》,《Int. J. of General System》等杂志上发表论文多篇。最近主要工作是把语义信息论用到统计学习,用以解决最大似然估计,贝叶斯推理, 多标签分类, 混合模型等问题。个人网站:http://survivor99.com/lcg/ 信箱:lcguang@foxmail.com。





登录查看更多
6

相关内容

em算法指的是最大期望算法(Expectation Maximization Algorithm,又译期望最大化算法),是一种迭代算法,用于含有隐变量(latent variable)的概率参数模型的最大似然估计或极大后验概率估计。
非凸优化与统计学,89页ppt,普林斯顿Yuxin Chen博士
专知会员服务
104+阅读 · 2020年6月28日
【高能所】如何做好⼀份学术报告& 简单介绍LaTeX 的使用
机器学习速查手册,135页pdf
专知会员服务
345+阅读 · 2020年3月15日
【新书】Python中的经典计算机科学问题,224页pdf
专知会员服务
149+阅读 · 2019年12月28日
腊月廿八 | 强化学习-TRPO和PPO背后的数学
AI研习社
18+阅读 · 2019年2月2日
不用数学讲清马尔可夫链蒙特卡洛方法?
算法与数学之美
16+阅读 · 2018年8月8日
EM算法的九层境界:​Hinton和Jordan理解的EM算法
算法与数学之美
5+阅读 · 2018年7月31日
从最大似然到EM算法:一致的理解方式
PaperWeekly
19+阅读 · 2018年3月19日
干货|EM算法原理总结
全球人工智能
17+阅读 · 2018年1月10日
概率论之概念解析:引言篇
专知
6+阅读 · 2018年1月8日
干货|通俗易懂地解释EM算法并举例说明?
机器学习研究会
12+阅读 · 2017年11月17日
[有意思的数学] 参数估计
机器学习和数学
15+阅读 · 2017年6月4日
Implicit Maximum Likelihood Estimation
Arxiv
7+阅读 · 2018年9月24日
Arxiv
3+阅读 · 2018年3月28日
Arxiv
3+阅读 · 2015年5月16日
VIP会员
相关资讯
腊月廿八 | 强化学习-TRPO和PPO背后的数学
AI研习社
18+阅读 · 2019年2月2日
不用数学讲清马尔可夫链蒙特卡洛方法?
算法与数学之美
16+阅读 · 2018年8月8日
EM算法的九层境界:​Hinton和Jordan理解的EM算法
算法与数学之美
5+阅读 · 2018年7月31日
从最大似然到EM算法:一致的理解方式
PaperWeekly
19+阅读 · 2018年3月19日
干货|EM算法原理总结
全球人工智能
17+阅读 · 2018年1月10日
概率论之概念解析:引言篇
专知
6+阅读 · 2018年1月8日
干货|通俗易懂地解释EM算法并举例说明?
机器学习研究会
12+阅读 · 2017年11月17日
[有意思的数学] 参数估计
机器学习和数学
15+阅读 · 2017年6月4日
Top
微信扫码咨询专知VIP会员