CosFace: Large Margin Cosine Loss for Deep Face Recognition论文笔记

2018 年 4 月 25 日 统计学习与视觉计算组 刘珊兵

一、背景

在传统意义上的深度卷积神经网络的 softmax 代价函数的监督下,所学习的模型通常缺乏足够的判别性。为了解决这一问题,近期一系列损失函数被提出来,如 Center Loss、L-Softmax、A-Softmax。所有这些改进算法都基于一个核心思想: 增强类间差异并且减小类内差异。本文设计了一个新的损失函数,即增强边缘余弦损失函数 (LMCL)。更具体地说,通过对特征向量和权向量的 L2 归一化,把 softmax 损失函数转化为余弦损失函数,这样做消除了半径方向的变化,并在此基础上引入了一个余弦边缘值 m 来进一步最大化所学习的特征在角度空间的决策边界。

二、增强边缘余弦损失函数 (LMCL)

对于二分类问题,后验概率如下:

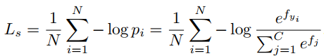
对应的softmax损失函数为:

令b=0,由向量内积公式可知

将w通过L2范数归一化,令||x||=s,即

将上式带入softmax损失函数可得如下公式,论文中称为NSL损失函数

 由上面的损失可知,该损失函数只能用来正确分类,即

由于判别性不强,引入了余弦间隔m(m>=0),即

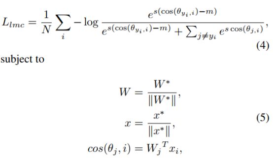
带入NSL中,可得LMCL如下:

三、与不同损失函数的比较

(1)softmax

 决策边界如下,可以看出决策边界与W和角度都有关系,所以会导致分类间隔margin<0, 如图a所示,

(2)NSL

 先将W进行L2归一化,决策边界如下,此时分类间隔margin=0 ,如图b所示,


(3)A-softmax

将W进行L2归一化的前提下,引入了余弦间隔参数m。决策边界如下,此时分类间隔margin随角度减小而减小到0,如图c所示,

(4)LMCL

将W进行L2归一化的前提下,引入了余弦间隔参数m。决策边界如下,此时分类间隔恒等于 √2m,如图d所示。

四、对 LMCL 的理论分析

对于LMCL中的参数s和m,论文给了详细的推导,其中C为类别数,K为特征维度,如下:

五、实验

(1)在 LFW 和 YTF 上,具有不同边缘参数值 m 的 CosFace 的表现(%)

(2)论文提出的LMCL 与人脸识别社区当前最佳的损失函数的比较实验

(3)在 LFW 和 YTF 数据集上的人脸验证表现(%)。#Models 表示评估方法中所使用的模型的数量。

(4)在 Megaface Challenge 2 (MF2) 上的人脸辨识和人脸验证评估。




登录查看更多
44

相关内容

CVPR 19系列2 | 强判别能力的深度人脸识别(文末附有源码)
再谈人脸识别损失函数综述
人工智能前沿讲习班
14+阅读 · 2019年5月7日
【论文笔记】ICLR 2018 Wasserstein自编码器
专知
32+阅读 · 2018年6月29日
笔记 | Deep active learning for named entity recognition
黑龙江大学自然语言处理实验室
24+阅读 · 2018年5月27日
读论文Discriminative Deep Metric Learning for Face and KV
统计学习与视觉计算组
12+阅读 · 2018年4月6日
中国团以98%精度夺得MegaFace人脸识别冠军(开源)
全球人工智能
5+阅读 · 2018年3月12日
Sparsifying Neural Network Connections for Face Recognition
统计学习与视觉计算组
7+阅读 · 2017年6月10日
Arxiv
5+阅读 · 2019年2月28日
Arxiv
5+阅读 · 2018年12月18日
Arxiv
11+阅读 · 2018年7月8日
Arxiv
11+阅读 · 2018年1月18日
VIP会员
相关VIP内容
相关资讯
CVPR 19系列2 | 强判别能力的深度人脸识别(文末附有源码)
再谈人脸识别损失函数综述
人工智能前沿讲习班
14+阅读 · 2019年5月7日
【论文笔记】ICLR 2018 Wasserstein自编码器
专知
32+阅读 · 2018年6月29日
笔记 | Deep active learning for named entity recognition
黑龙江大学自然语言处理实验室
24+阅读 · 2018年5月27日
读论文Discriminative Deep Metric Learning for Face and KV
统计学习与视觉计算组
12+阅读 · 2018年4月6日
中国团以98%精度夺得MegaFace人脸识别冠军(开源)
全球人工智能
5+阅读 · 2018年3月12日
Sparsifying Neural Network Connections for Face Recognition
统计学习与视觉计算组
7+阅读 · 2017年6月10日
Top
微信扫码咨询专知VIP会员