【干货】AutoML自动机器学习:最新进展综述

2019 年 8 月 9 日 专知

【导读】自动机器学习(Automated Machine Learning)现在已经成为了学术界和工业界的热点。本文为大家带来是香港浸会大学计算机科学系Xin He等学者关于自动机器学习的最新进展综述,文章着重介绍了两个方面:一是自动机器学习的pipeline过程总结,主要包括数据准备(Data Preparation)、特征工程(Feature Engineering)、模型生成(Model Generation)和模型评估(Model Evaluation);二是细致地总结和比较各种主流的神经架构搜索算法(Neural Architecture Search algorithm, NAS),现有主流的NAS算法有四种类型:随机搜索(Random Search, RS)、强化学习(Reinforcement Learning, RL)、进化算法(Evolutionary Algorithm, EA)和基于梯度下降(Gradient Descent, GD)的算法。


AutoML Pipeline 框架图


主流NAS算法性能和效果比较


主流NAS算法在CIFAR10数据集上性能和效果比较


原文链接:

https://arxiv.org/pdf/1908.00709.pdf

请关注专知公众号(点击上方蓝色专知关注

  • 后台回复“AutoML最新进展综述” 就可以获取AutoML论文载链接~


 自动机器学习:最新进展综述

随着深度学习在AI方面的广泛应用,如分类与目标检测、语言建模和推荐系统等,深度学习渗透到我们生活的方方面面,为我们带来了极大的便利。然而,为特定任务建立高质量深度学习系统的过程不仅耗时,而且需要大量资源并依赖于人类专业知识,这阻碍了工业界和学术界的深度学习的发展。


为了解决时间和资源成本的问题,使机器学习的整个流水线过程能够自动化的新想法应运而生,即自动机器学习(AutoML)。AutoML有各种定义。例如,根据维基百科,“AutoML是自动化端到端流程的过程,应用适当的数据预处理,特征工程,模型选择和模型评估来解决特定任务”。又比如,AutoML被定义为自动化和机器学习的结合。换句话说,AutoML可以自动构建具有有限计算预算的机器学习Pipline。


越来越多关于AutoML的研究在逐渐展开,其中大部分的研究主要关注神经架构搜索算法(Neural Architecture Search algorithm, NAS)。NAS算法旨在通过从预定义的搜索空间中选择和组合不同的基本组件来生成健壮且性能良好的神经架构。本文将从两个方面介绍ANS算法,一是模型结构,二是超参优化(Hyperparameter Optimization, HPO)。


1. 数据准备(Data Preparation
众所周知,机器学习Pipline的第一步是准备数据,但对于许多任务来说,如医学图像识别,很难获得足够的数据或数据质量不够好。因此,健壮的AutoML系统应该能够处理这个问题。 所以数据准备我们将其分为两个步骤:数据收集(Data Collection)和数据清理(Data Cleaning)。

  • 数据收集(Data Collection 对于深度学习任务,我们一般首选公开的大型数据集,如CIFAR10 & CIFAR100等等,但是对于一些特定的任务,很难找到合适的数据集,这里我们有两类方法解决这个问题。 一是数据合成(Data Synthesis); 二是数据搜索( Data Searching )。这些都可以让你收集到合适的数据集。
  • 数据清理(Data Cleaning) 在进入特征生成之前,必须预处理原始数据,因为存在许多类型的数据错误(例如,冗余,不完整或不正确的数据)。 被广泛使用的数据清理操作包括标准化,缩放,定量特征二值化,one-hot编码定性特征,用平均值填充缺失值等等。

2. 特征工程(Feature Engineering)
特征工程的目的是从原始数据中最大化提取特征以供算法和模型使用。特征工程有三个组成部分:特征选择(Feature Selection),特征构造(Feature Construction)和特提取(Feature Extraction

A.特征选择(Feature Selection)


特征选择是通过减少不相关或冗余特征,基于原始特征集构建特征子集的过程,这有助于简化模型,从而避免过度拟合并提高模型性能。下图是特征选择的基本流程。

特征选择基本流程

B.特征构造(Feature Construction)


特征构造是从基本特征空间或原始数据构造新特征的过程,以帮助提高模型的预测准确性和泛化性,因此其本质是增加原始特征的代表能力。  传统上,这个过程高度依赖于人类的专业知识,常见的方法是预处理转换,这些转换也应用于数据预处理,例如标准化、规范化和特征离散化等等


C.提取(Feature Extraction


特征提取是通过一些映射函数的降维过程,其根据一些特定度量提取信息和非冗余特征。 与特征选择不同,特征提取将改变原始特征。 特征提取的核心是映射函数,可以以多种方式实现,如PCA和LDA等等。



3. 模型生成(Model Generation)
特征工程之后,我们需要选择模型并设置其相应的超参数。 模型选择有两种方法: 传统模型选择和NAS。 前者是从许多传统的机器学习算法中选择性能最佳的模型,例如: 支持向量机(SVM),K最近邻(KNN),决策树,KMeans等。而NAS方法的目标是不借助人力选择模型。本文的重点是NAS方法,主要包括两个方面:模型结构和模型参数自动优化。

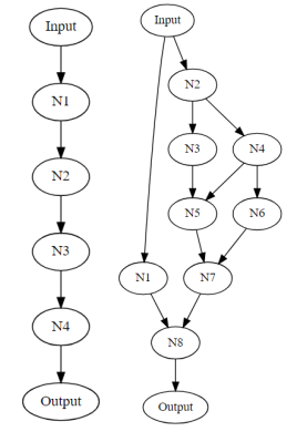
A.模型结构(Model Structure)


NAS相关的模型结构如下总结:

  • 整体结构(Entire structure):第一种直观的方法是生成一个完整的链结构神经网络,类似于传统的神经网络结构。但是这类模型的缺点也是明显的,耗时耗力,参数搜索空间等等。

  • 基于单元的结构(Cell-based structure):为了解决Entire structure的缺点,出现了Cell-based structure,该首先构建单元格结构然后堆叠预定义数量的已发现单元格,以类似于链式结构的方式生成整个架构。

  • 层次结构(Hierarchical structure):层次结构类似于基于单元的结构,但主要区别在于生成单元的方式。对于分层结构,模型存在很多级别,每个级别具有固定数量的单元格。通过迭代地合并较低级别的单元来生成较高级别的单元。

    

整体结构(Entire structure

基于单元的结构(Cell-based structure




层次结构(Hierarchical structure


B.参数优化(HyperParameter Optimization)


在确定网络结构的表示之后,我们需要从大型搜索空间中找到性能最佳的架构。这样的过程可以被认为是模型中节点的操作和连接的优化过程。因此,在本文中,我们将网络体系结构的搜索过程视为超参数优化(HPO),如优learning rate和batch size等等。HPO可以被分为如下几类:

  • 网格和随机搜索(Grid & Random Search):网格搜索将可能的超参数空间划分为规则的间隔(网格),然后为网格上的所有值训练模型,并选择性能最佳的一个,而随机搜索,顾名思义,随机选择一组超参数。

  • 强化学习(Reinforcement Learning):基于RL的算法由两部分组成。一是控制器,它是一个RNN,用于在不同的时期生成不同的子网络;二是奖励网络,用于训练和评估生成的子网络并使用 更新RNN控制器的奖励(例如准确性)。

  • 进化算法(Evolutionary Algorithm):进化算法(EA)是一种基于人口的通用元启发式优化算法,它从生物进化中获取灵感。与传统的优化算法(如基于微积分的方法和穷举方法)相比,进化算法是一种成熟的全局优化方法,具有很高的鲁棒性和广泛的适用性。进化算法主要由四个部分组成选择,交叉,变异和更新。

  • 贝叶斯优化(Bayesian Optimization):贝叶斯优化(BO)是一种建立目标函数概率模型的算法,然后使用该模型选择最有希望的超参数,最后在真实目标函数上评估所选择的超参数。因此,贝叶斯优化可以通过跟踪过去的评估结果来迭代地更新概率模型。

  • 梯度下降(Gradient Descent):上面介绍的搜索算法都可以自动生成模型体系结构,同时以离散的方式搜索超参数,但是HPO的过程被视为黑盒优化问题,这就导致模型需要迭代更新许多参数,因此也就需要大量的时间和计算资源。基于梯度下降(GD)的方法可以减少搜索超参数所花费的时间。

网格搜索和随机搜索


4. 模型评估(Model Evaluation
模型生成后,我们必须评估模型的性能和效果。一种直观的方法是在训练模型收敛后,根据最终模型的输出结果评估模型好坏,但是这样的方法耗时耗力。为了解决这个问题,出现了以下几种方法: 成新网络后,我们必须评估此网络的性能。一种直观的方法是训练网络收敛,然后根据最终结果判断它是好还是坏


A.Low fidelity


Low fidelity类方法从训练数据集和模型大小的角度加速模型评估。如对于图像分类任务,我们可以减少图像数量或图像分辨率,或者是通过减少模型每层使用过滤器数量进行模型训练等等。


B.迁移学习(Transfer learning)


C.代理(Surrogate


基于代理的方法(The surrogate-based methods)是另一种强大的工具,近似于黑盒功能。通常,一旦学习获得良好的近似,找到模型的最佳配置会比直接优化模型原始昂贵目标要容易得多。

D.Early stopping


Early stopping最初用于防止经典机器学习中的过度拟合,现在用于通过停止预测在验证集上表现不佳的评估来加速模型评估

5.NAS算法
最近,NAS已经成为一个非常热门的研究课题,并且已经提出了各种类型的算法,因此有必要对不同类型的算法进行总结和比较,以帮助读者更好,更全面地理解NAS方法。我们选择总结几种流行的NAS算法类型,包括随机搜索(RS),强化学习(RL),进化算法(EA)和基于梯度下降(GD)的算法。此外,每种算法都有几种模型变体,每种变体可能对应不同的数据集或模型大小。 
为了通过明确的方式测量这些方法的性能,我们考虑了几个因素:结果(如准确性),搜索的时间和资源以及生成的模型的大小。结果如首页图表所示。



6.开放性问题和未来工作
最近,越来越多的研究人员正在关注AutoML,并提出了许多优秀的算法模型来解决不同的问题。 但在理论和实践方面仍有许多问题需要解决。主要可以总结为以下几个方面:
  • 完善AutoML Pipeline

  • 可解释性(Interpretability)

  • 可复现性(Reproducibility)

  • 灵活的配置方案(Flexible Encoding Scheme)

  • 扩展领域(More Area)

  • Lifelong Learning

-END-


专 · 知

专知,专业可信的人工智能知识分发,让认知协作更快更好!欢迎登录www.zhuanzhi.ai,注册登录专知,获取更多AI知识资料!

欢迎微信扫一扫加入专知人工智能知识星球群,获取最新AI专业干货知识教程视频资料和与专家交流咨询

请加专知小助手微信(扫一扫如下二维码添加),加入专知人工智能主题群,咨询技术商务合作~

专知《深度学习:算法到实战》课程全部完成!550+位同学在学习,现在报名,限时优惠!网易云课堂人工智能畅销榜首位!

点击“阅读原文”,了解报名专知《深度学习:算法到实战》课程

登录查看更多
27

相关内容

自动机器学习(AutoML)是将机器学习应用于实际问题的过程的自动化过程。AutoML涵盖了从原始数据集到可部署的机器学习模型的完整管道。提出将AutoML作为基于人工智能的解决方案来应对不断增长的应用机器学习的挑战。 AutoML的高度自动化允许非专家使用机器学习模型和技术,而无需首先成为该领域的专家。 从机器学习角度讲,AutoML 可以看作是一个在给定数据和任务上学习和泛化能力非常强大的系统。但是它强调必须非常容易使用;从自动化角度讲,AutoML 则可以看作是设计一系列高级的控制系统去操作机器学习模型,使得模型可以自动化地学习到合适的参数和配置而无需人工干预。
最新《多任务学习》综述,39页pdf
专知会员服务
266+阅读 · 2020年7月10日
专知会员服务
201+阅读 · 2020年3月6日
最新《分布式机器学习》论文综述最新DML进展,33页pdf
专知会员服务
121+阅读 · 2019年12月26日
零样本图像分类综述 : 十年进展
专知会员服务
128+阅读 · 2019年11月16日
深度学习算法与架构回顾
专知会员服务
84+阅读 · 2019年10月20日
自动机器学习:最新进展综述
专知会员服务
123+阅读 · 2019年10月13日
概述自动机器学习(AutoML)
人工智能学家
19+阅读 · 2019年8月11日
干货 | 让算法解放算法工程师——NAS 综述
极市平台
16+阅读 · 2019年6月20日
AutoML研究综述:让AI学习设计AI
机器之心
15+阅读 · 2019年5月7日
自动机器学习(AutoML)最新综述
PaperWeekly
34+阅读 · 2018年11月7日
神经网络架构搜索(NAS)综述 | 附AutoML资料推荐
A Survey on Edge Intelligence
Arxiv
52+阅读 · 2020年3月26日
AutoML: A Survey of the State-of-the-Art
Arxiv
74+阅读 · 2019年8月14日
Arxiv
136+阅读 · 2018年10月8日
Arxiv
5+阅读 · 2018年9月11日
Arxiv
12+阅读 · 2018年9月5日
Arxiv
3+阅读 · 2018年6月24日
Arxiv
7+阅读 · 2018年3月21日
VIP会员
相关VIP内容
最新《多任务学习》综述,39页pdf
专知会员服务
266+阅读 · 2020年7月10日
专知会员服务
201+阅读 · 2020年3月6日
最新《分布式机器学习》论文综述最新DML进展,33页pdf
专知会员服务
121+阅读 · 2019年12月26日
零样本图像分类综述 : 十年进展
专知会员服务
128+阅读 · 2019年11月16日
深度学习算法与架构回顾
专知会员服务
84+阅读 · 2019年10月20日
自动机器学习:最新进展综述
专知会员服务
123+阅读 · 2019年10月13日
相关资讯
相关论文
A Survey on Edge Intelligence
Arxiv
52+阅读 · 2020年3月26日
AutoML: A Survey of the State-of-the-Art
Arxiv
74+阅读 · 2019年8月14日
Arxiv
136+阅读 · 2018年10月8日
Arxiv
5+阅读 · 2018年9月11日
Arxiv
12+阅读 · 2018年9月5日
Arxiv
3+阅读 · 2018年6月24日
Arxiv
7+阅读 · 2018年3月21日
Top
微信扫码咨询专知VIP会员